Bonjour, comme promis j’ai attendu pour poster cette solution mais si certains veulent quand même l’avoir pour ce week-end, la voici :
Auteur : romainbondil
Le document référence pour les MCOT
Au cas où vous n’auriez pas eu la force de le trouver sur Scei (c’est dur c’est vrai, trouver l’onglet TIPE hum)… le voici ici :
Poster du DM 8 Pb 1
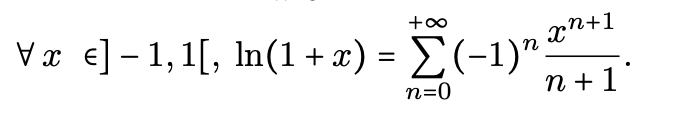
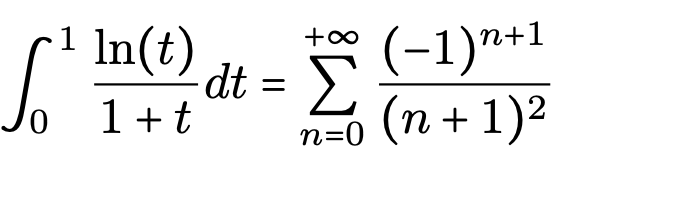
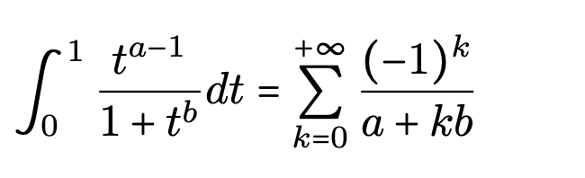
Une fois n’est pas coutume, un poster avant même la date de remise du DM... pour donner d’autres idées sur ce problème 1, les produits infinis et leur développement.
Du coup SPOIL ALERT : vous pouvez ne pas lire la preuve du théorème orange qui est la question bonus de ce pb 1 et qui est aussi essentiellement la preuve demandée au début du DM…
Là où le poster bifurque par rapport au sujet est la formule de distributivité d’Euler dans l’encadré rose. Cette formule trouve une motivation toute naturelle dans sa résolution du problème de trouver la valeur de zeta(2)=pi^2/6.. voici donc un bonus de bonus.. comment il a fait :
Poster du DM 6…
Pour vos révisions…. n’hésitez pas à me signaler des bêtises..
Colles de maths pour la rentrée et après…
Ce qui suit est pour la semaine de la rentrée, mais bien noter que pour la semaine 14 du 15 janvier qui suivra le programme sera : REVISIONS sur Séries et Intégrales : séries numériques, séries de fonctions, séries entières, et tout sur les intégrales, avec un exercice obligatoire de la banque CCINP Exercices 1 à 12, 14 à 32, 46, 47, 49 à 51 et 53. Cela fait 38 exercices, et cela ne s’improvise pas! Donc trois par jour pendant ces vacances !
Semaine 13 du lundi 8 janvier : intégrales à paramètres.
Pour ce qui est des trois théorèmes du cours :
- version à variable continue du théorème de convergence dominée,
- théorème de continuité pour les intégrales à paramètres
- théorème sur le caractère C^k des intégrales à paramètres
je cite le programme officiel :
« Pour l’application pratique des énoncés de ce paragraphe, on vérifie les hypothèses de régularité par rapport à x et de domination, sans expliciter celles relatives à la continuité par morceaux par rapport à t »
Autrement dit sachant qu’en fait à chaque fois on commence par vérifier l’intégrabilité de l’intégrande dans la question sur la bonne définition de l’intégrale, et qu’on est donc dans le cadre de la théorie de Lebesgue (ces intégrales n’ont d’ailleurs rien « d’impropre » ce sont des intégrales tout à fait « propres » en théorie de Lebesgue… les seules impropres étant les intégrales semi-convergentes), bref, donc quand on en arrive à utiliser ces théorèmes il y a essentiellement deux hypothèses à vérifier comme indiqué ci-dessus (H1 : la régularité C^0, C^k, C^infinie, ou la convergence simple pour le TCD, H2 la domination).
Le cours est fait autour de trois fils rouges : transformée de Laplace, transformée de Fourier et fonction Gamma. Les exemples faits qui sont tous des exercices à savoir refaire (et pas des résultats du programme) sont les suivants :
- Continuité de la TF (transformée de Fourier) d’une fonction intégrable
- Continuité sur ]0,+oo[ de la TL (transformée de Laplace) d’une fonction c.p.m. bornée, extension à la variable complexe.
- Théorème de la valeur initiale pour la transformée de Laplace dans le cas facile d’une fonction bornée : L(f)(x)=f(0)/x+ o(1/x) quand x–>+oo.
- Lemme de Riemann-Lebesgue dans le cas facile où f est de classe C^1 et f et f’ sont intégrables : F(f)(x) –>0 pour x–>+oo
- Caractère C^1 et dérivation de la TL du sinus cardinal sur l’ouvert ]0,+oo[ : application au calcul de cette Transformée.
- Calcul de la dérivée p-ième de la TF d’une fonction f telle que pour tout k=0,1,..p, la fonction t-> t^k f(t) doit intégrable. (Si ceci est vrai pour tout p, on dit que la fonction est « à décroissance rapide »).
- Etude complète de la fonction Gamma : notamment justification soigneuse du caractère C^k et justifications pour le tracé du graphe.
- REVOIR les techniques de calculs d’intégrales et de primitives (1ère année, planche I1).
- Bien savoir aussi dériver si x est dans les bornes des intégrales (1ère année… et pas que..)
Planche-I3-2023 (seulement commencée ex 1,2 faits mais il est très conseillé d’avancer la planche pour les vacances, nous reparlerons de ces exercices le jour de la rentrée).
Colles, semaine du lundi 18 décembre : Séries entières
On pourra commencer les colles, outre les questions de cours, par une question de détermination de rayon de convergence.
Dans le cours :
- Lemme d’Abel, dém. et (prop.-)-définition du rayon de convergence.
- Lemme de d’Alembert pour les séries entières : dém. avec le lemme pour les séries numériques.
- Prop. ;
ont même rayon de convergence (au programme officiel pour alpha=1, démontrée, pour pas plus cher pour alpha qcq donc je pense qu’on peut s’en servir pour alpha quelconque). - Rayon de convergence d’une somme et produit de Cauchy.
- Continuité de la fonction somme dans le disque ouvert de convergence (variable même complexe).
- Pour ce qui la variable est réelle :
- Théorème de continuité radiale d’Abel : énoncé seulement, mais savoir l’appliquer sur des exemples (série harmonique alternée…)
- Dérivation terme à terme automatique pour les sommes de séries entières
- unicité des coefficients du D.S.E., série de Taylor, rigidité des fonctions D.S.E.
- DSE des fonctions usuelles : preuve de la formule du binôme (1+x)^a pour a réel avec la méthode de l’E.D. ou avec une formule de Taylor au moins pour x>0.
- Banque CCINP cf haut de la planche.Planche-S3-2023
Pour comprendre le fonctionnement des états du golfe…
En ce moment la COP 28 a lieu à Dubaï… et voilà que les états du golfe veulent donner des leçons d’écologie… que certains même s’enthousiasment de leur bonne volonté .. hum.. une petite leçon sur le mode de vie là-bas, via un tweet que m’a transmis un ami :
La vice-présidente du GIEC, actuellement dans un hôtel à Dubaï pour la COP28, a demandé à faire baisser la clim dans sa chambre parce qu’elle a trop froid. C’est impossible. La seule solution que l’hôtel lui a apportée est : un radiateur.
Bref, vous comprendrez qu’il est toujours aussi dangereux pour vous de rentrer dans ma salle de colle avec un Tshirt Fly Emirates (il y a deux problèmes dans ces deux mots : Fly et Emirates).

Colles de maths semaine 11 :lundi 11/12
Suites d’intégrales : convergence dominée et série d’intégrales : intégration terme à terme.
D’abord révision du programme précédent, notamment toujours soigner les justifications d’intégrabilité ou de convergence de l’intégrale, ainsi que les formules sur les primitives.
« Questions de cours » possibles :
- Citer très précisément les deux théorèmes d’intégration d’une limite (celui avec la CVU sur un segment vs le T.C.D. de Lebesgue) : lesquel sait-on démontrer 🙂 ?
- Donner un exemple d’une suite de fonctions (f_n) qui CVU sur un intervalle I (non borné) vers une fonction f et telle que l’intégrale sur I des f_n ne converge PAS vers l’intégrale sur I de f.
- Application du T.C.D. avec des « bornes variables »:

- Etude des intégrales de Wallis : détermination d’un équivalent. Toutes les étapes (relation de récurrence, invariant, encadrement) doivent être mémorisées.
- Méthode l’I.P.P fait sortir le terme prépondérant pour un équivalent
avec hyp. f de classe C^1.
- Méthode l’I.P.P fait sortir le terme prépondérant pour un équivalent
- Le même équivalent par la méthode de changement de variable.
- Intégration terme à terme d’une CVU sur un segment :
-
- application aux séries entières : (on admet la CvN sur les segments inclus dans ]-R,R[) montrer que :

- applications aux séries trigonométriques (très important car H.P. mais dans tellement de sujets d’écrits de maths et dans le cours de physique) :
- application aux séries entières : (on admet la CvN sur les segments inclus dans ]-R,R[) montrer que :
-
- Théorème d’intégration terme à terme de Lebesgue en deux théorèmes : cas positif et cas signe quelconque. Donner des énoncés précis !
- Exemple du second cas :

- Ce qu’on fait quand le théorème ne s’applique pas. Exemple :

- Planche I2 : les exercices 1 à 5 ont été déjà faits en classe. Planche-I2-2023
Colles de maths semaine 10 : lundi 4 décembre
Notion d’intégrale généralisée convergente/divergente sur un intervalle quelconque.
Notion d’intégrale absolument convergente et notion associée de fonction intégrable.
On commencera la colle par une étude d’intégrabilité de fonction à l’aide des théorèmes de comparaison : o, O, équivalents, majorations de l’intégrande.
Pour les étudiants : majoration toujours de la valeur absolue de l’intégrande !
Exemple d’intégrale semi-convergente : cas de sin(t)/t^a avec a dans ]0,1], expliquer.
Théorème d’intégration des relations de comparaison, et méthode d’I.P.P. pour trouver des équivalents.
On attend un travail personnel de révision des méthodes de CALCUL d’intégrales vues en 1ère année, tableau de primitive à bien connaître, méthodes pour les fonctions rationnelles, ou trigonométriques … on pourra se tester aussi sur le verso de la planche I1 qui ne sera pas corrigé en classe.
Colles de maths semaine 9 : lundi 27 novembre
Suites et séries de fonctions :
Convergence simple, uniforme, uniforme sur tout segment, normale pour les séries de fonctions et théorème de régularités des limites C^0,C^1, C^p (avec valeur des dérivées..) , intégration sur un segment, interversion des limites, déclinés en version suites et séries.
Connaissance précise des théorèmes et application efficace des méthodes !
- On pourra demander un énoncé précis de théorème en début de colle.
- Démonstration du théorème de continuité d’une limite uniforme d’une suite de fonction continue.
- Démonstration du théorème d’intégration d’une limite uniforme sur un segment.
- Le théorème d’interversion des limites a été admis.
- Exemple de la fonction zeta réelle : caractère C infini, variations, convexité, limite à l’infini
- Pour les plus à l’aise : limite de zeta en 1.
- Exemple de la suite de fonctions x-> n sin(x/n) méthode pour la CVU sur les segments et pourquoi on n’ a pas CVU sur R
- Méthode d’encadrement par des intégrales pour un équivalent quand x->0 de la somme des exp(-x sqrt(n)).
Exercice de la Planche-S2-2023 les ex 1 à 5 ont déjà été traités en classe, donnent déjà un petit échantillon de méthodes variées.
Pour les élèves : penser à bien remuscler la technique sur les séries numériques et les manipulations de limites avec équivalents, o, O, DL !
Banque CCINP aucun exercice n’est exigible cette semaine pour ne pas surcharger les élèves mais elles et ils trouveront de quoi s’entraîner avec les exercices suivants de la banque :Ex. 9,10,11,12,14, 15, 16, 17,18.