Année 2025-2026:
Semaine 23 du lundi 30 mars : tout le cours de calcul différentiel.
Le cours contient les notions suivantes :
- dérivée partielles
- dérivée selon un vecteur (lien avec les dérivées partielles) notation D_v f(a)
- D.L 1 et différentiabilité : notation df(a).(v) ou df(a).v
- Une fonction différentiable en a est continue en a et admet en a une dérivée suivant tout vecteur (démo)
- Beaucoup d’exemples de calculs de différentielle par D.L. 1 : cf planche Ex 4, 5.
- Fonction de classe C^1 : déf abstraite avec la continuité de df, équivalence admise de cette déf avec le fait que les dérivées partielles existent et sont continues.
- Beaucoup d’exercices où on montre ce caractère C^1 y compris pour prouver la différentiabilité (sans DL1 du coup) (cf ex 2 ,3 planche)
- Calculs de la différentielle d’un produit exercice sur les quotient
- exercice sur la différentielle de M->M^{-1} sur GL_n(R). (deux méthodes)
- Différentielle d’une composée : formule générale
- Cas particulier important de (f o c)'(t)=df(c(t)).(c'(t)) pour une courbe. Application à de nombreux exercices où on se ramène ainsi à une variable cf planche ex 6,7 et
- Version en coordonnées ; produit des jacobiennes et règle de la chaîne
- théorème caractérisant les fonctions constantes sur un ouvert connexe par arcs
- Calcul à l’ordre 2 : déf du caractère C^2 avec les dérivées partielles et thme de Schwarz
- Déf de la matrice Hessienne et Taylor Young à l’ordre 2 (énoncé sans dém)
- C.N. de min local en un point d’un ouvert ; pt critique où la hessienne est sym. positive (démo !)
- C.S. de min local en un point d’un ouvert ; pt critique où la hessienne est sym. déf positive (démo !)
- Exemples d’équations aux dérivées partielles et de changement de variables (et de fonctions inconnues)
- Vecteurs tangents à une partie d’un evn : l’ensemble T_a X des vecteurs tangents à a à X est un cône vectoriel
- Théorème admis : en un point régulier a d’une hypersurface d’équation g=0, l’ensemble T_a X est l’hyperplan noyau de dg(a), autrement dit l’orthogonal du gradient en a (Savoir démontrer l’inclusion facile)
- Théorème d’optimisation sous contrainte : avec les mêmes hypothèse que dans l’énoncé précédente si f : X -> R admet un extremum en a alors le gradient de f en a est proportionnel au gradient de g en a.
Nous avons fait beaucoup d’exercices : toute la planche D3 Planche-D3-2025-2026 sauf ex 9, 16, 17,18, 20 (certains seront repris en début de semaine). Outre l’importance de vérifier les calculs de différentielles, on s’attachera à l’étude des extremum aussi bien sur les ouverts que sur les ensembles à bords (ex 19 banque CCINP ex 56) ou sur les hypersurfaces (CCINP ex 41) qui a fait l’objet d’une attention toute particulière.
Semaine 21 du lundi 16 mars : tout le cours de probabilités !
Tout le programme de MP de probabilité; donc par rapport aux semaines précédentes, on rajoute, espace L^2, variances, covariances, fonctions génératrices, inégalités de Cauchy-Schwarz, Markov, Bienaymé Tchebychev, et loi faible des grands nombres ce qui fait autant de questions de cours possibles.
Toute la banque CCINP de proba est encore exigible.
Nous avons fait beaucoup d’exercices : les exercices 1 à 10 (sauf 6c et 6d mais on a dénombré les dérangements) et sauf les questions de Python sur la Planche-P3-2025-2026
IMPORTANT : il n’y aura pas de colles de maths en sem 22 suivante mais on aura une dernière colle la sem 23 (calcul diff.)
.
Semaine 20 du lundi 9 mars : variables aléatoires discrètes (v.a.d).
Cours traité :
-Définition d’une v.a.d. savoir démontrer qu’une fonction est bien une v.a.d. par exemple à l’occasion d’un temps d’attente de premier succès (loi géométrique), ou cf ex 4 pl P2. Ou encore savoir montrer que si X est une v.a.d. alors f(X) aussi pour toute fonction f.
– Les cinq lois du programmes B(p), B(n,p), Uniforme sur un ensemble fini, G(p), P(lambda).
-Fonction de répartition : lien avec la loi (théorème de Meriam), calcul pour la loi géométrique. (fonction d’antirépartition).
-Loi de Poisson ; Cv en Loi des B(n,lambda/n) vers P(lambda)
-Révisions sur les lois des couples, lois marginales, lois conditionnelles
-Déf. équivalents de l’indépendances de v.a.d. (sans dém) citer une version du lemme des coalitions
Notion de v.a.d. intégrable, définition de l’espérance.
Théorème de transfert (deux cas) (dém non exigible) mais savoir l’appliquer pour montrer qu’une v.a.d. est intégrable ssi E(|X|) est finie
Linéarité de l’espérance (dém non exigible) : penser à l’appliquer en décomposant en sommes d’indicatrices
Formule de calcul de l’espérance pour les v.a.d à valeurs dans N avec l’antirépartition (savoir dém.)
Travail de vacances pour les élèves : travailler tous les exercices de proba de la banque CCINP ex 95 à 112 à l’exception du 99 en laissant de côté les questions sur la variance des v.a.d. non finies (p.ex Ex 100 Q4) mais en revoyant le cours de première année sur la variance des v.a. finie (ex. 98). Notez que les ex. 96 et 110 introduisent la notion de fonction génératrice qu’on reprendra en cours à la rentrée mais ainsi vous aurez déjà travaillé cela pendant les vacances !
Nous avons par ailleurs traité presque toute la planche P2 ci-jointe Planche-P2-2025-2026, sauf les ex 8, 14,15.
Format de la colle à la rentrée : d’abord une question connue qui pourra être un exercice de la banque CCINP ci-dessus ou un exercice de la planche P2 ou une question sur le cours.
Semaine 19 du lundi 16 février : espaces probabilisés et révisions de 1ère année.
Sur la théorie nouvelle en seconde année :
- Définir ce qu’est une tribu et exercice 10 de la planche sur la notion de tribu engendrée. Exemple du tirage à pile ou face infini : choix de la tribu engendrée par les « faces au n-ième tour »… pourquoi cette cette tribu contient les singletons…
- Qu’est-ce qu’une probabilité ? Démontrer la propriété de continuité croissante : on n’a pas détaillé en cours les preuves des égalités ensemblistes lorsqu’on réécrit nos unions comme union disjointe, elle peuvent être demandées en exercice.
- Démontrer la sous-additivité dénombrable des probabilités.
- Dans l’exemple précédent du tirage pile ou face infini, donner un exemple de système quasi-complet d’événements (qui n’est pas « complet »).
- Exercice 15 planche P1 sur le premier lemme de Borel-Cantelli.
Voici la planche en question : Planche-P1-2025-2026
Sur la pratique : on révisera les notions correspondantes de 1ère année dans les univers finis Nous avons fait tous les exercices de révision de la page 1 de la planche ci-jointe (ex 1 à 8, le 9 sera traité lundi matin). Nous n’avons pas eu l’occasion de parler de variable aléatoires dans ces exercices, mais bien sûr les élèves pourront se servir de leurs connaissances de 1ère années sur les variables aléatoires finies si cela les aide pour un exercice.
Semaine 18 du lundi 9 Février: compacité, connexité et toujours les endomorphismes d’un espace euclidien
Sur la topologie, surtout des questions de cours ou proches du cours :
Questions de cours possibles :
- Montrer le théorème de Bolzano-Weierstrass (B.W.) dans C en admettant le résultat dans R.
- Montrer qu’un compact de E est fermé borné dans E.
- Montrer qu’un fermé dans un compact est compact.
- Donner un exemple de fermé borné non compact (aussi exercice 13 banque CCINP sur ce sujet mais penser au cadre préhilbertien aussi).
- Montrer que l’image continue d’un compact est compacte.
- Théorème des bornes atteintes pour les fonctions d’un compact dans R.
- B.W. en dim. finie : les compact d’un e.v.n. de dim. finie sont les fermés bornés.
- Parties connexes par arc (c.p.a.) de R?
- Image continue d’un c.p.a.
- Exercice 16 de la pl T4 : démonstration du théorème de Darboux via la connexité par arcs.
Sur la planche de topo : Planche-T4-2025-2026 nous avons traité les ex 1 à 5 et 13 à 16 pour l’instant.
Ensuite si possible s’il reste du temps un exercice sur les endomorphismes d’un espace euclidien.
- Semaine 17 du lundi 2 Février : endomorphismes d’un espace euclidien
Un cours très riche qui demande un travail en profondeur :
- Définition de l’adjoint, écriture matricielle en b.o.n.
- Si F est un s.e.v. stable par u alors son orthogonal est stable par u*.
- Donner le plus de caractérisations possibles des isométries vectorielles avec dém de l’une d’elles au choix des colleurs..
- Donner le plus de caractérisations possibles des matrices orthogonales : attention déterminant =+- 1 n’est PAS une caractérisation de ces matrices !
- Montrer qu’une matrice orthogonale symétrique est une matrice de symétrie orthogonale et montrer que vous avez compris ce que chaque terme de cette phrase veut dire….
- Théorème spectral sur les endomorphismes auto adjoints : preuve par récurrence sur la dimension (sans prouver tous les lemmes utilisés ou démo au choix parmi ces lemmes).
- Pour f dans L(E), forme bilinéaire associée (x,y)-> (x|f(y)). Par définition f est auto adjoint ssi cette forme bilinéaire est symétrique f et forme quadratique associée x-> (x|f(x)). Ecriture de ces deux objets en coordonnée dans une b.o.n. quelconque.
- Ecriture de la forme quadratique x-> (f(x)|x) dans une b.o.n. de dz. de f auto adjoint , application à une caractérisation de la plus grande et de la plus petite v.p. de f.
- Définition des autoadjoints positifs (resp. matrices symétriques positives) et caractérisation par le spectre.
- Démonstration matricielle de la forme de matrices de O_2(R)
- Théorème de réduction des isométries vectorielles en dimension n : idées de la preuve en admettant les lemmes clefs (tous assez simples à montrer par ailleursn pas besoin de formaliser la récurrence pour les blocs de rotation)
Sur la Planche-R4-2025-2026 nous avons travaillé les exercices 1 à 13 sauf le 2 et le 12.
Semaine 16 du lundi 26 janvier 2026: équations différentielles linéaires.
Sur la théorie :
- Justifier que pour X'(t)=A.X(t) avec A matrice indép. de t, les solutions sont les fonctions t->e^{tA} C.
- Généralisation du point précédent. Forme des solutions pour X'(t)=A.X(t)+B(t) avec une intégrale.
- Enoncé précis du théorème de Cauchy Lipschitz linéaire pour les systèmes X'(t)=A(t)X(t)+B(t), conséquences pour la structure de l’ensemble des solutions dans les cas homogène et non homogène.
- Traduction du théorème dans le cas des EDL scalaires d’ordre n (vectorialisation).
- Définition du Wronskien de deux solutions d’une EDL scalaire d’ordre 2, et E.D. vérifiée par celui-ci
- Méthode de variations des constantes seulement dans le cas d’ordre au plus 2.
Pour les exercices, le premier objectif à notre niveau est la maîtrise des techniques de calculs. Il serait donc souhaitable de traiter une question « calculatoire » d’un des type suivant :
- Résolution d’un système linéaire X'(t)=A.X(t) avec A matrice constante 2×2 ou 3×3:
- Cas où A est diagonalisable dans R
- Cas où A est diagonalisable dans C et qu’on veut des solutions réelles
- Cas où A est seulement trigonalisable : on a donné deux méthodes
- la méthode d’une simple trigonalisation suivie d’une résolution « de bas en haut » par substitution,
- le calcul de exp(tT) dans le cas simple où T=lambda I+ N autrement dit T n’a qu’une seule v.p. (ceci se généralise par bloc avec les sev caractéristiques mais on n’a pas traité d’autres exemples).
- Résolution d’équations différentielles linéaires scalaires d’ordre deux :
- Méthodes de première année : déjà révisées la semaine dernière, toujours d’actualité !
- Méthode de la variation Des constantes pour les ED d’ordre deux : à bien maîtriser.
- Quand on ne connaît pas de solutions de l’équation homogène : exemple de recherche des solutions D.S.E. (pratique à bien maîtriser !)
- Quand on connaît une solution de l’équation homogène et qu’on en vu une autre indépendante, technique de la réduction de l’ordre par variation de la constante.
Sur la Planche-D2-2025-2026, on a traité en classe les exercices calculatoire de 1 à 6. Pour toutes ces techniques les élèves trouveront à s’exercer aussi avec les exercices de la banque CCINP marqués en haut de planche.
En début de semaine, on traitera aussi de méthodes qualitatives, donc pour les colles de mercredi et jeudi les élèves seront plus à même de traiter aussi des exercices un peu plus qualitatifs.
Semaine 15, lundi 19 janvier 2026 : dérivation et intégration des fonctions d’une variable réelle, à valeurs vectorielles ET révisions sur les équations différentielles.
Nous avons traités les exercices 1 à 5 et 8 à 15 sauf les 10 et 14 de la Planche-D1-2025-2026 jointe, ce qui donne une idée assez précise du programme de la semaine
Dans l’idéal on pourra essayer d’aborder les deux thématiques avec deux exercices (dont l’un forcément plus court, qui peut être une Question de Cours !), les voici détaillées :
- la dérivation et l’intégration des fonctions d’une variable réelle à valeurs vectorielles,questions de cours possibles
-
-
-
- Trois définitions équivalentes de la dérivabilité pour f : I -> E (dém. non demandée)
- Dérivée de L o f si f est dérivable de I dans E et L est linéaire de E dans F (dém.)
- Dérivée de B(f,g) si f (resp. g) sont dérivables de I dans E (resp. dans F) et B : E x F-> G est bilinéaire (dém.)
- Extension du point précédent aux applications n-linéaires (typiquement déterminant) (pas de dém. juste la formule)
- T.A.F. généralisé à deux fonctions » f'(c) (g(b)-g(a))=g'(c)(f(b)-f(a)) » démonstration vectorielle
- Dérivation de t-> exp(tA) par théorème de dérivation terme à terme à valeurs vectorielles (dém non détaillée mais à travailler !).
- Inégalité triangulaire pour les intégrales de fonctions vectorielles (démonstration avec les sommes de Riemann) et application à l’I.A.F. dans l’hypothèse C^1.
- Pourquoi le théorème de Rolle (et donc l’égalité des A.F.) sont ils faux dans le cas des fonctions à valeurs vectorielles non scalaires?
- Formules de Taylor à savoir parfaitement : DU SOIN POUR l’énoncé des théorèmes ! Pas juste la formule mais hypothèses de régularités précises.
-
-
-
- Les révisions sur les équations différentielles de première année :
-
-
- résolution concrète d’E.D.linéaires du premier ordre avec la méthode de variation de la constante : les exercices 8,9,10 abordent les problèmes de raccords pour les équations différentielles singulières, c’est l’occasion aussi de révision sur les développement limités pour les raccords et bien sûr des calculs de primitives !
- des exercices plus théoriques sur le 1er ordre où l’on voit que la M.V.C. permet une écriture plus abstraite des solutions, qui aboutit à des propriétés précises de ces solutions.
- enfin des EDL du second ordre à coefficient constant avec second membres gentils : polynôme x exponentielle x cos ou sin. On a révisé les cas de résonance où la solution particulière n’est pas de la même forme que le second membre car celui ci correspond déjà au régime libre.
-
-
Semaine 14, lundi 12 janvier 2026 : intégrales à paramètres
Pour ce qui est des trois théorèmes du cours :
- version à variable continue du théorème de convergence dominée,
- théorème de continuité pour les intégrales à paramètres
- théorème sur le caractère C^k des intégrales à paramètres
je cite le programme officiel :
« Pour l’application pratique des énoncés de ce paragraphe, on vérifie les hypothèses de régularité par rapport à x et de domination, sans expliciter celles relatives à la continuité par morceaux par rapport à t »
On a choisi pourtant des les expliciter par prudence par rapport aux personnes examinatrices… en hypothèse (H0) un peu triviale.
Le cours est fait autour de trois fils rouges : transformée de Laplace, transformée de Fourier et fonction Gamma. Les exemples faits qui sont tous des exercice à savoir refaire (pas des résultats du programme) sont les suivants :
- Continuité de la TF (transformée de Fourier) d’une fonction intégrable
- Continuité sur ]0,+oo[ de la TL (transformée de Laplace) d’une fonction c.p.m. bornée, extension à la variable complexe.
- Théorème de la valeur initiale pour la transformée de Laplace dans le cas facile d’une fonction bornée : L(f)(x)=f(0)/x+ o(1/x) quand x–>+oo.
- Lemme de Riemann-Lebesgue dans le cas facile où f est de classe C^1 et f et f’ sont intégrables : F(f)(x) –>0 pour x–>+oo
- Caractère C^1 et dérivation de la TL du sinus cardinal sur l’ouvert ]0,+oo[ : application au calcul de cette Transformée.
- En bonus pour les plus à l’aise, continuité de cette TL en 0 (intégrale semi-convergente, I.P.P pour se ramener au cadre de Lebesgue) et calcul de l’intégrale du sinus cardinal sur R¨^+.
- Calcul de la dérivée p-ième de la TF d’une fonction f telle que pour tout k=0,1,..p, la fonction t-> t^k f(t) doit intégrable. (Si ceci est vrai pour tout p, on dit que la fonction est « à décroissance rapide »).
- Etude complète de la fonction Gamma : notamment justification soigneuse du caractère C^k et justifications pour le tracé du graphe.
- REVOIR les techniques de calculs d’intégrales et de primitives (1ère année, planche I1).
- Bien savoir aussi dériver si x est dans les bornes des intégrales (1ère année… et pas que..)
Sur la Planche-I3-2025-2026, on a traité les exercices 1,2,3, 5. Ne pas négliger les trois exercices de la banque CCINP.
Semaine 12 : du lundi 16 décembre :
On pourra commencer les colles, outre les questions de cours, par une question de détermination de rayon de convergence.
Dans le cours :
- Lemme d’Abel, dém. et (prop.-)-définition du rayon de convergence.
- Test de d’Alembert pour les séries entières : dém. avec le lemme pour les séries numériques laissée en exercice en cours, mais faite sur les exemples des séries lacunaires ensuite en exercices !
- Prop. :

ont même rayon de convergence (au programme officiel pour alpha=1, démontrée, pour pas plus cher pour alpha qcq donc je pense qu’on peut s’en servir pour alpha quelconque).
- Rayon de convergence d’une somme et produit de Cauchy.
- Continuité de la fonction somme dans le disque ouvert de convergence.
- Pour ce qui la variable est réelle :
- Théorème de continuité radiale d’Abel : énoncé seulement, mais savoir l’appliquer sur des exemples (série harmonique alternée…)
- Dérivation terme à terme automatique pour les sommes de séries entières
- unicité des coefficients du D.S.E., série de Taylor, rigidité des fonctions D.S.E.
- DSE des fonctions usuelles : preuve de la formule du binôme (1+x)^a pour a réel avec la méthode de l’E.D. ou avec une formule de Taylor au moins pour x>0.
- Banque CCINP cf haut de la planche. Planche-S3-2024-2025 Nous avons traités les exercices 1 à 9 et 11, 12, nous traiterons au moins jusqu’au 14.
Semaine 13 du lundi 5 janvier :révisions et compléments sur les espaces préhilbertiens et un peu d’approximation dans les espaces de fonctions.
L’essentiel est déjà de bien réviser le cours de 1ère année sur les espaces préhilbertiens et euclidien. Prenez le temps de reprendre ces cours et les planches de 1ère année pendant ces vacances.
- Définir le produit scalaire canonique de R^n, dans M_{m,n}(R) (deux expressions montrer qu’elles coïncident)
- Produit scalaire dans L^2,continue(I,R) (justifier la convergence des l’intégrale)
- Produit scalaire dans l^2(N,R) (justifier la convergence de la série… non détaillée en classe).
- Expliquer pourquoi le p.s. est une application bilinéaire CONTINUE (savoir la caractérisation des appli. bilinéaires continues).
- Montrer que l’orthogonal d’une partie dense est réduit à {0}. Application au ‘lemme des moments’ (Banque CCINP 48 même si le corrigé de la banque est formulé sans produit scalaire, voir la rédaction faite en classe !).
- Lemme de représentation de Riesz pour les formes linéaires d’un espace euclidien.
- Montrer que l’orthogonal d’une partie A de E est un s.e.v. fermé de E.
- Existence d’un supplémentaire orthogonal pour un s.e.v. de dim. finie d’un espace préhilbertien.
- Formule de calcul de la projection orthogonale quand on connait une base orthogonale de ce s.e.v. : application à l’exemple très important des sommes partielles de la série de Fourier de f.
- Le projeté orthogonal d’un vecteur v sur un sev F est l’unique vecteur de F qui minimise la distance entre v et les vecteurs de F.
- Mise en oeuvre de l’orthogonalisation de Gram-Schmidt sur des exemples.
On insistera beaucoup sur les calculs de projections orthogonales qui doivent être bien compris.
Pour les étudiantes et étudiants les plus à l’aise on peut aussi donner en second exercice un exercice sur l’approximation en norme infinie (théorème de Weierstrass) : seul exemple d’application traité en classe le théorème de Riemann Lebesgue.
Sur la Planche-T3-2025-2026 nous n’avons traité en classe que les exercices 6 à 10 et 15 et 16. (Les 5/2 ont traité le début de la planche, vous pouvez les embêter avec Weierstrass).
Semaine 12 du lundi 15 décembre Suites d’intégrales : convergence dominée et série d’intégrales et intégration terme à terme.
D’abord révision du chapitre I1 sur l’intégralibilité , notamment toujours soigner les justifications d’intégrabilité ou de convergence de l’intégrale.
Des questions possibles (favoriser notamment les énoncés précis des théorèmes !)
- Citer très précisément les deux théorèmes d’intégration d’une limite (celui avec la CVU sur un segment vs le T.C.D. de Lebesgue) : lesquels sait-on démontrer 🙂 ?
- Donner un exemple d’une suite de fonctions (f_n) qui Converge Uniformément sur un intervalle I (non borné) vers une fonction f et telle que l’intégrale sur I des f_n ne converge PAS vers l’intégrale sur I de f (étalement de la bosse : un dessin peut suffire, une fois transformé en fonction affine par morceau).
- Application du T.C.D. avec des « bornes variables » exemple de la limite de

- Etude des intégrales de Wallis : détermination d’un équivalent. Toutes les étapes (relation de récurrence, invariant, encadrement) doivent être mémorisées.
- Méthode l’I.P.P fait sortir le terme prépondérant pour un équivalent, si f(1) non nul, de :

- Méthode l’I.P.P fait sortir le terme prépondérant pour un équivalent, si f(1) non nul, de :
- Le même équivalent par la méthode de changement de variable.
- Savoir qu’il y a dans le programme 3 théorèmes d’intégration terme à terme et savoir les citer !
- Intégration terme à terme d’une CVU sur un segment :
-
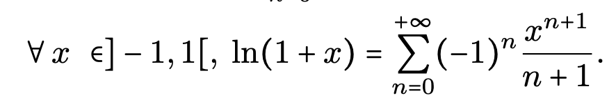
- application aux séries entières, comment obtenir le D.S.E. de ln(1+x) à partir de celui de 1/(1+x) sur ]-1,1[.
- application à la formule donnant les coefficients a_n et b_n d’une série trigonométrique comme des intégrales sur sa somme (formule des coeff. de Fourier).
- application au calcul de l’intégrale de e^{it}/(a-e^{e^{it}} pour a dans C privé du cercle (indice de a par rapport au cercle)
-
- Théorème d’intégration terme à terme de Lebesgue en deux théorèmes : cas positif et cas signe quelconque. Donner des énoncés précis !
- Ce qu’on fait quand le théorème ne s’applique pas (notamment en cas de Cv par théorème des séries alternées spéciales).
- Planche I2 : Planche-I2-2025-2026, nous avons traités les exercices 1 à 5 (sauf le cas a>1 de l’ex 4 plus difficile) sur la convergence dominée et seulement 8 et 9 sur l’intégration terme à terme mais nous poursuivons en début de semaine sur l’intégration terme à terme.
Semaine 11 du lundi 8 décembre Série entières :
Dans le cours :
- Lemme d’Abel, dém. et (prop.-)-définition du rayon de convergence.
- Lemme de d’Alembert pour les séries entières : dém. avec le lemme pour les séries numériques.
- Prop. ;

ont même rayon de convergence (au programme officiel pour alpha=1, démontrée, pour pas plus cher pour alpha réel quelconque, démo « bonus » : ne pas pénaliser les étudiants que ne l’aurait pas bien maîtrisée en première semaine)
- Rayon de convergence d’une somme
- Produit de deux sommes de séries entières , produit de Cauchy des coefficients.
- Continuité de la fonction somme dans le disque ouvert de convergence (dém).
- Pour ce qui la variable est réelle :
- Dérivation terme à terme automatique à l’intérieur de l’intervalle de convergence pour les sommes de séries entières (dém !)
- unicité des coefficients du D.S.E., série de Taylor, rigidité des fonctions D.S.E. (dém.)
- application au caractère C^infini automatique de fonctions comme le sinus cardinal en 0.
- intégration et primitivation terme à terme automatique à l’intérieur de l’intervalle de Cv : application au D.S.E. de ln(1+x)
- théorème d’Abel radial (admis) ; savoir l’application pour montrer que la somme de la série harmonique alternée vaut ln(2).
- DSE des fonctions usuelles : preuve de la formule du binôme (1+x)^a pour a réel avec la méthode de l’E.D.
Sur la Planche-S3-2025-2026 : ont été travaillés les exercices 1,2, 3 a) (rayon de Cv), ex 9, 10 (calculs de sommes) et 11, 12, 13 (calculs de D.S.E.). On approfondira les autres exercices la semaine prochaine.
Sur la banque CCINP : les élèves doivent travailler au moins 4 exercices, leur demander lesquels ont été travaillés.
Semaine 10 : du lundi 1 er décembre : suites et séries de fonctions.
Convergence simple, uniforme, uniforme sur tout segment, normale et théorème de régularités des limites C^0,C^1, C^p (avec valeur des dérivées..) , intégration d’une limite uniforme sur un segment, interversion des limites, déclinés en version suites et séries.
Connaissance précise des théorèmes et application efficace des méthodes !
- On pourra demander un énoncé précis de théorème en début de colle.
- Démonstration du théorème de continuité d’une limite uniforme d’une suite de fonctions continues (idée importante « couper en trois » et attention à l’ordre des choix).
- Démonstration du théorème d’intégration d’une limite uniforme sur un segment.
- Le théorème d’interversion des limites a été admis : l’énoncé doit être bien restitué en version suite et en version séries (« sommation des limites »).
- Exemple de la fonction zeta réelle : plusieurs questions possibles : continuité, caractère C infini, limite à l’infini
- Cas où le théorème d’interversion des limites ne s’applique pas : comment montrer que zeta(x) tend vers l’infini quand x tend vers 1 avec la déf de la limite (question plus difficile bonus ci-dessous méthode plus simple avec l’équivalent).
- Exemple de la suite des fonctions x-> n sin(x/n) méthode pour la CVU sur les segments et pourquoi on n’ a pas CVU sur R
- Recherche d’équivalent de la somme d’une série de fonction :
- Méthode d’encadrement par des intégrales pour un équivalent quand x->1 de la fonction zeta (encore elle !)
- Méthode qui ramène à l’application du théorème d’interversion des limites en divisant par le candidat équivalent faite sur la somme des x/(n^a (1+nx^2))
- Exercice de la Planche-S2-2025-2026 : les ex 1 à 6 et 9 et 10 ont été traités et donnent déjà pas mal d’exemples de méthodes. On traitera sûrement 11 et 12 en début de semaine.
- Exercice de la banque CCINP ; il y en a beaucoup (cf. haut de la pl S2) : les élèves doivent en travailler au moins 4 pour cette semaine, leur demander ceux qu’ils ont travaillés.
Semaine 9 : du lundi 24 novembre : intégrales généralisées et (si possible) compléments sur les applications linéaires continues.
- On commencera la colle par une étude d’intégrabilité de fonction à l’aide des théorèmes de comparaison : o, O, équivalents, majorations de l’intégrande .
2. Thème d’Exercices possibles :
–Notion d’intégrale généralisée convergente/divergente sur un intervalle I.
-Notion d’intégrale absolument convergente et notion associée de fonction intégrable.
Pour les étudiants : majoration toujours de la valeur absolue de l’intégrande !
-Exemple d’intégrale semi-convergente : cas de sin(t)/t^a avec a dans ]0,1], expliquer. Savoir justifier que l’intégrale du sinus cardinal sur [1,+infini[ est convergente et non absolument convergente.
-Pratique des IPP et changement de variables.
-Théorème d’intégration des relations de comparaison, et méthode d’I.P.P. pour trouver des équivalents.
On attend un travail personnel de révision des méthodes de CALCUL d’intégrales vues en 1ère année, tableau de primitive à bien connaître, méthodes pour les fonctions rationnelles, ou trigonométriques … on pourra se tester aussi sur le verso de la planche I1 qui ne sera pas corrigé en classe.
Planche I1 : Planche-I1-2025-2026 on aura traité les exercices 1, 2, 3 et 5. Voir aussi les exercices de la banque cités en haut de planche.
3) Pour les élèves les plus rapides : on peut interroger, en restant très proche du cours, sur les applications linéaires continues et les normes subordonnées.
Question de cours :
-définitions équivalentes de la continuité d’une application linéiare
-définition équivalentes des normes subordonnées
-les normes subordonnées sont des normes d’algèbre
-si l’espace de départ est de dim. finie les applications linéaires sont toujours continues.
Exemples sur la banque CCINP ex 1, 36, 38, 39.
Semaine 8 : du lundi 17 novembre : ouverts, fermés, continuité
Topologie des e.v. normés, avec comme QdC possibles :
- définitions et caractérisations de (au choix des colleurs) ouvert, fermé, adhérences, intérieurs…
- Montrer qu’une boule ouverte est ouverte.
- Montrer que l’adhérence d’une boule ouverte est la boule fermée
- Exercice : Montrer qu’un s.e.v. strict est d’intérieur vide.
- Caractérisation séquentielle des points adhérents.
- Lien complémentaire de l’adhérence/intérieur du complémentaire..
- Ouverts et fermés relatifs, déf. et caractérisation admise.
- déf. de la continuité en un point et caractérisation avec les voisinages avec démonstration.
- caractérisation globale de la continuité : une seule implication est au programme officiel: f est continue de A dans F alors la préimage d’un ouvert de F est un ouvert de A (resp. d’un fermé) : démo. non exigible, par contre : savoir bien la mettre en oeuvre pour montrer que tel ensemble est ouvert ou fermé.
- Savoir justifier qu’une application donnée est continue : théorème d’opération, continuité des formes coordonnées, et donc des fonctions polynomiales ou rationnelles.
- Définir ce qu’est un homéomorphisme et pourquoi l’image d’un ouvert par un homéo est un ouvert. Donner. un exemple de fonction continue bijective qui n’est pas un homéo.
- Sur la planche T2 : les exercices 1 à 14 sauf 7. Planche-T2-2025-2026.
Le paragraphe sur les applications linéaires continues et normes d’opérateurs n’a pas encore été vu.
Semaine 7 : du lundi 10 novembre
Thème : espaces vectoriels normés : normes et suites, séries avec révisions sur les séries numériques.
- La colle commencera par un exercice de révision sur les séries numériques, assez élémentaire avec une série de terme général u_n explicite dont on détermine la nature avec les outils des développements asymptotiques et autres majorations. Pour les élèves : ce calcul ne doit pas occuper plus de 15 minutes, si possible moins (Les DL les DL les DL les DL, et potiron et O(1/n^2) nos amis).
2. Sur le cours nouveau : normes et suites/séries dans un e.v.n. voici quelques questions de cours possibles :
- Montrer que la norme infinie sur l’espace des fonctions bornées sur un ensemble quelconque valeurs dans K, à est bien une norme (on sera très précis pour les arguments sur les sup.) (attention pour les étudiants le sup n’est pas supposé être un max.)
- Comparer N_1,N_2,N_infini dans R^n (inégalités).
- Montrer que N_1 et N_infini ne sont pas équivalentes dans C([0,1],R).
- Théorème pour les produits de limites de suites dans une algèbre normée (c’est à dire munie d’une norme d’algèbre, avec démonstration)
- Justifier que dans un evn de dim. finie, la convergence d’une suite se vérifie « coordonnée par coordonnée ».
- Justifier que dans un evn de dim. finie, une série absolument convergente est convergente.
- Justification de l’existence de l’exp. matricielle
- Calcul de l’exponentielle d’une matrice diagonalisable, justifier.
- Pour ce qui est de la planche T1 : tous les exercices ont été traités sauf le 9, le 11 f), le 14, le 15 c) et le 17. Planche-T1-2025-2026
3. Un exercice inconnu sur la demi heure restante (pour la Colle idéale !)
Semaine 6 du lundi 3 novembre 2025 :
Toute la réduction des endomorphismes (trigonalisation comprise, à tous les sens du terme), et révisions ses programmes d’algèbre linéaire et d’algèbre générale précédents (en fait programmes 2 à 5).
- Trigonalisation : démonstration par récurrence du théorème qui dit qu’un endomorphisme ayant polynôme annulateur scindé est tz.
- Caractérisations des nilpotents en termes de v.p. dans C et autre (des équivalences très simples !)
- Théorème de décomposition sur les s.e.v. caractéristiques : il donne une tz précisée : énoncé et démonstration.
- Les élèves doivent savoir conduire la trigonalisation concrète d’une matrice 2x 2, et d’une matrice 3 x 3 donnée (exemples en cours et mieux trigonalisation sous forme de Jordan vue en exercice pour ces tailles 2×2 et 3×3)..
Format de cette colle de révision :
1) Un exercice connu qui peut être :
-
- OU BIEN une question de cours des chapitres R1,R2,R3 (trois derniers programmes de colle sem 4,5,6).
- OU BIEN un exercice d’algèbre de la banque CCINP : 59, 60, 62, 64, 65, 67 à 75 (sauf les deux systèmes différentiels au 74, 75), 83 à 91, 93, 94 (ne pas négliger les exercices sur l’arithmétique dans Z et sur les polynômes).
- banque finale sans corr session 2026
- banque finale avec corr session 2026
-
- OU BIEN un exercice des planches A1, A2 R1, R2, R3 :
2) Un exercice inconnu
Bonnes vacances (avec deux exos ccinp par jours !).
Semaine 5, du lundi 13 octobre :
-
- Cette semaine, tout sur la diagonalisation, les polynômes caractéristiques, Cayley-Hamilton et bien sûr tout le programme précédent. Pas de trigonalisation encore cette semaine, merci.
Nous avons fait beaucoup d’exercices : tous ceux de la Planche-R2-2025-2026
ont été travaillés et corrigés en classe sauf les 7,8,9, et peuvent être reposés en colle.
Penser aussi aux exercices de la banque CCINP marqués en début de planche R2 et questions suivantes :
- Cette semaine, tout sur la diagonalisation, les polynômes caractéristiques, Cayley-Hamilton et bien sûr tout le programme précédent. Pas de trigonalisation encore cette semaine, merci.
-
- Calcul du polynôme caractéristique d’une matrice compagnon
-
- Comparaison entre le polynôme caractéristique d’un endomorphisme et celui de sa restriction à un s.e.v. stable
-
- Justifier que la multiplicité géométrique d’une v.p. est inférieure ou égale à sa multiplicité algébrique.
Pour les élèves : pour les exercices de la banque CCINP, on y rencontre le théorème qui dit qu’une matrice symétrique réelle est toujours dz dans M_n(R), que nous n’avons pas encore fait dans ce cours et qui sera traité au moment de la réduction des endomorphismes d’un e.v. euclidien.
Semaine 4, du lundi 6 octobre :
Début de l’étude de la réduction des endomorphismes et de la diagonalisation.
-
- Révisions sur les formules de changement de base, pour les vecteurs et les applications linéaires.
-
- valeurs propres, vecteurs propres : recherche à l’aide de l’équation aux valeurs propres sur des exemples en dim. finie ou infinie.
-
- caractérisation : lambda v.p. d’une matrice A ssi det(A-lambda I)=0, application aux v.p. des matrices de petites tailles et des matrices triangulaires
-
- Démonstration du fait que des s.e.v. propres associés à des v.p. distinctes sont en somme directe
-
- Si lambda est v.p. d’un endomorphisme L et si P est un polynôme alors P(lambda) est v.p. de P(L). Conséquence si P est annulateur de L, Sp(L) est inclus dans Z(P).
-
- Les v.p. de L sont exactement les racines du polynôme minimal de L.
-
- Théorème de décomposition des noyaux : démonstration pour un produit de deux polynômes. On sera spécialement attentif à la bonne compréhension des objets manipulés (P(L)(x) et pas P(L(x)) et (PQ)(L)=P(L)o Q(L) etc…)
-
- Savoir donner le maximum de caractérisations d’une matrice diagonalisable et la C.S. « n v.p. distinctes en dim. n » mais en fait retenir surtout et pour chaque exercice qu’il y a d’un côté le point de vue géométrique (avec les vecteurs propres et les sev propres) et de l’autre côté le point de vue algébrique (avec les polynômes annulateurs, le minimal) .
-
- Montrer que si f est dz, alors l’endomorphisme f_F induit par f sur un s.e.v. stable F est encore dz.
Pour les colleurs : ON NE PRONONCE PAS LE MOT « POLYNÔME CARACTERISTIQUE » CETTE SEMAINE ni de condition de diagonalisabilité avec celui-ci. Planche-R1-2025-2026 Ex 1 à 9 (sauf 3) et 13 à 16
Semaine 3, du lundi 29 septembre :
révisions et compléments d’algèbre commutative.
La motivation principale de cette semaine est d’introduire les idéaux des anneaux de polynômes pour la définition du polynôme annulateur d’une matrice ou d’un endomorphisme. Mais cela étant, c’est aussi l’occasion de voir et revoir un certain nombres de notions sur l’algèbre commutative, l’arithmétique et les polynômes. Il est important de vérifier que les différentes structures (groupes, anneaux, corps, algèbres et donc idéaux) sont bien connues. On pourra donc commencer la colle par un exercice rapide de vérification de ces définitions.
Pas de résultat sur le groupes cette semaine, le cadre est celui de l’algèbre commutative.
Pour le cours :
-
- Qu’est-ce qu’un anneau, qu’est-ce corps ? Montrer que Z/nZ est un corps ssi Z/nZ est intègre ssi n est un nombre premier.
-
- Plus généralement : pour a dans Z, montrer que la classe de a est inversible dans l’anneau Z/nZ ssi a et n sont premiers entre eux
-
- savoir définir ce qu’est un idéal et savoir la forme des idéaux de K[X] et de Z (démonstration faite dans K[X] à connaître).
-
- Définir le polynôme minimal d’un matrice (resp. d’un endomorphisme d’un e.v. de dim. finie) et savoir pourquoi tout polynôme annulateur est un multiple du polynôme minimal.
-
- Expliciter le polynôme minimal d’une matrice diagonale.
-
- Montrer que dim K[A]=deg(mu_A).
-
- Montrer que si A est une matrice inversible alors A^{-1} est dans K[A].
-
- Montrer que si A est une matrice et P est un polynôme alors P(A) est une matrice inversible ssi P est premier avec le polynôme minimal de A.
Pour les exercices supplémentaires surtout des révisions de première année notamment sur les polynômes, les nombres complexes, ou très élémentaires d’arithmétique.
Les exercices de la banque CCINP proposés en haut de la planche couvrent une partie de ce programme de révision (racines de l’unité, polynômes de Lagrange, formule de Taylor pour les polynômes).
Semaine 2, lundi 22 septembre : révisions d’algèbre linéaire
Le cours de 2ème année d’algèbre linéaire (hors réduction à venir) n’apporte que très peu de compléments. Les voici comme question de cours :
-
- Somme directe de plusieurs s.e.v.: définition par l’unicité de l’écriture, différentes caractérisation, notamment avec l’isomorphisme avec le produit direct, la caractérisation par les sommes nulles, et en dimension finie, avec les bases et la dimension.
-
- Matrices par blocs : produits, opérations élémentaires sur les blocs, formule du déterminant d’une matrice triangulaire par bloc (deux démonstrations faites, en donner une au choix). Les exercices consiste souvent à se ramener à cette forme triangulaire par bloc par opération ou multiplication par des matrices codant les opérations qu’on veut faire….
-
- Une question de révision (non faite en classe) : calcul du déterminant de Vandermonde. D’une manière générale, bien réviser le cours de 1ère année sur les déterminants : un calcul de déterminant inconnu (par bloc ou pas) sera aussi bienvenu.
La semaine a donc été consacrée a de très nombreux exercices sur la Planche-A1-2025-2026
Cette planche a été faite à peu près entièrement, on pourra donc aussi interroger sur ces exercices comme « Question de cours« . (L’ex. 5 plus difficile a fait un peu peur; donc non exigible). Exercices non traités en classe : 6, 9, 14 et à partir du 26.
Semaine 1, lundi 15 septembre : série numériques et familles sommables
On testera d’abord systématiquement que les élèves sont bien à l’aise avec les manipulations d’équivalents et D.L. aussi bien pour les séries à termes positifs (variantes d’ex. 3,4,5 ) que de D.L. encore pour les séries de signe variable (variantes de l’ex. 9).
Planche S1 : Planche-S1-2025-2026
On peut aussi poser en question de cours
-
- Définition de la divergence grossière, et savoir démontrer que si la série de terme général (u_n) converge alors (u_n) tend vers zéro.
-
- Test de d’Alembert avec démonstration.
-
- Citer précisément le théorème de sommation des relations de comparaison et démontrer un cas.
-
- Citer le Théorème sur les séries alternées spéciales avec comme conclusion aussi le signe du reste et la majoration du reste.
-
- Savoir mettre en oeuvre le lien suites/séries : exemple du développement asymptotique de H_n à la précision o(1/n).
-
- Définition de la sommabilité et de la somme d’une famille sommable : cas positif, cas signe quelconque.
-
- Exemple concret de manipulation de familles sommables avec le théorème de sommation par paquet : en deux temps pour le cas des familles de signe variable sur l’exemple des (-1)^p/q^p
On peut aussi poser des exercices de la banque CCINP comme marqué en haut de planche.
Année 2024-2025
Semaine 23 dernière semaine, lundi 31 mars : calcul différentiel.
La connaissance du cours est essentielle mais pour rassurer les élèves, on peut dire qu’ici les exercices seront de trois ou quatre types (cf. la planche, Planche-D3, faite presque entièrement sauf ex 15)
– calculs de différentielles par D.L. ou autre (type ex. 5,6,7 pl)
– étude du C^1 au voisinage d’un point à problème (type ex 1 à 4 pl).
– étude des extrema locaux avec le calcul diff à l’ordre deux (type ex 12 à 14 pl).
– pour les plus à l’aise, exercice plus théoriques utilisant souvent la dérivation le long d’une courbe (un segment) (type ex 8,9, 10,..) mais la formule de dérivation le long d’un courbe non connue donnera lieu à un zéro en colle !
Pas de vecteurs tangents, d’extrema sous contrainte ou d’E.D.P. cette semaine (et donc choisir parmi les exercices de la banque CCINP cités sur la planche ceux qui n’utilisent pas ces notions à savoir 33, 52, 56 sauf la fin (même si…), 57, 58 et pas le 41).
Merci aux examinateurs de bien respecter les notations du programme sur le sujet.
-
- Calcul différentiel d’ordre 1 :
-
- Définition de la dérivée D_v f(a) de la fonction f selon le vecteur v au point a et lien avec les dérivées partielles, cas où f est une norme N et a=0 ?
-
- Savoir qu’il existe des fonctions f telles que D_v f(a) existe pour tout v et qui ne sont pourtant pas continue en a (exemple sur la planche ou en cours).
-
- Définition de la différentiabilité : existence d’un D.L. 1, notation df(a).h
-
- définition du gradient pour les fonctions à valeurs scalaires.
-
- Faire BEAUCOUP de calculs de différentielle (de gradient) avec des D.L. 1 comme ceux de la planche ex 5,6,7.
-
- Déf. des fonctions de classe C^1 : l’application x-> df(x) est continue, mais surtout caractérisation miraculeuse avec les dérivées partielles
-
- Exercices concrets où l’on utilise le point précédent (cf. planche et banque CCINP).
-
- Formule sur la différentielle d’une composée d(f o g)=, deux cas particuliers très utiles si l’espace intermédiaire est R et surtout si l’espace de départ est R (dérivée selon une courbe à savoir par coeur !)
-
- Formule d’intégration le long d’un chemin. Application si df=0 sur un ouvert c.p.a. alors f est constante.
-
- C.N. d’extremum local en un point d’un ouvert : point critique.
-
- Calcul différentiel d’ordre 1 :
-
- Calcul différentiel d’ordre 2 :
-
- fonctions C^2, C^k, théorème de Schwarz (admis)
-
- Calcul de la dérivée seconde de t->f(a+tx)
-
- Définition de la Hessienne d’une fonction f : U -> R, expliquer pourquoi c’est aussi la jacobienne du gradient de f.
-
- Savoir citer le théorème de Taylor-Young à l’ordre 2 (admis)
-
- C.N. de min. local : point critique a tel que Hf(a) soit symétrique positive (savoir dém).
-
- C.S. de min. local : point critique a tel que Hf(a) soit définie positive. (dém non exigée mais faite).
-
- Pratique en dim. 2 avec det(Hf(a)) et Tr(Hf(a)).
-
- Exemple où Hf(a) est dégénérée (0 v.p.) en exercice.
-
- Calcul différentiel d’ordre 2 :
Semaine 22 : lundi 24 mars
Thème : compacité, connexité par arcs et révisions de topologies des e.v.n.
On restera d’abord proche du cours et des exercices déjà travaillés.
Questions de cours possibles :
-
- Montrer le théorème de Bolzano-Weierstrass (B.W.) dans C en admettant le résultat dans R.
-
- Montrer qu’un compact de E est fermé borné dans E.
-
- Montrer qu’un fermé dans un compact est compact.
-
- Donner un exemple de fermé borné non compact (aussi exercice 13 banque CCINP sur ce sujet mais penser au cadre préhilbertien aussi).
-
- Montrer que l’image continue d’un compact est compacte.
-
- Théorème des bornes atteintes pour les fonctions d’un compact dans R.
-
- Théorème de B.W. en dimension finie (sans dém.) : deux formulations : les boules sont compactes ou les suites bornées admettent une v.a.
-
- Montrer qu’un s.e.v. de dim. finie est toujours fermé dans tout e.v.n.
-
- Parties connexes par arc (c.p.a.) de R?
-
- Image continue d’un c.p.a.
Les exercices de la Planche-T4-2024-2025 ont tous été traités sauf l’ex. 7)b) et l’ex 9.
L’exercice sur les fonctions coercives doit être bien compris et pouvoir être adapté à des situations simples, y compris éventuellement en variable réelle.
Les exercices de la banque CCINP marqués en haut de la planche sont prévus, pour certains, pour faire la transition avec le cours de calcul diff qui sera au programme de la semaine 23.
Semaine 21 : lundi 17 mars
Tout le programme de MP de probabilité; donc par rapport aux semaines précédentes, on rajoute, espace L^2, variances, covariances, fonctions génératrices, inégalités de Cauchy-Schwarz, Markov, Tchebychev, et loi faible des grands nombres.
Toute la banque CCIN¨P de proba est exigible, tout spécialement les exercices sur les thèmes ci-dessus.
La planche P3 aura été traitée intégralement sauf peut-être le dernier exercice.
Semaine 20 : lundi 10 mars
Des v.a.d., des espérances mais pas encore de variance ou de covariance, ni de fonction génératrice ou d’inégalité de Bienaymé T cette semaine.
Chapitre sur les variables aléatoires discrètes: qq QdC possibles, mais garder du temps pour la pratique concrète sur les exercices.
-
- Définition d’une v.a.d. : savoir vérifier les conditions de la déf. d’une v.a.d . Savoir montrer exemple que si X est une v.a.d alors pour toute fonction f, f(X) est un v.a.d.
-
- V.a.d. géométrique : exemple du temps d’attente du premier succès dans une suite de tirages de Bernoulli indépendante (savoir justifier ce que temps d’attente définit bien une v.a.d.)
-
- Loi de Poisson : déf., Convergence en loi de v.a. suivant B(n,lambda/n) vers P(lambda)
-
- Indépendance des v.a.d. : déf. équivalentes (dém. non demandée mais savoir faire des énoncés précis).
-
- Calcul d’Espérance des v.a. binomiales (2 méthodes), géométriques ou de Poisson.
-
- Théorème de transfert dém non exigée mais énoncé précis (deux cas). Pourquoi une v.a.d. est-elle d’espérance finie ssi E(|X|) est finie ?
-
- Calcul de l’espérance d’une v.a.d. à valeur dans N à l’aide des P(X>k) (dém).
Banque CCINP : cette semaine ex 95, 97, 98, 100, 102, 103.
Planche P2 : Planche-P2-2024-2025, tous les exercices ont été faits sauf le 9 et 10 sur Borel Cantelli 2, et la deuxième partie des ex 6 et 7.
Planche P2 :
Semaine 19 : lundi 3 mars. début des probabilités et révision (notamment de probabilités, notamment avec les ex de la banque ccinp).
Sur les probabilités, nous n’avons fait qu’un chapitre théorique sur univers-tribu-probabilités, avec les résultats suivants à bien connaître :
-
- Définir ce qu’est une tribu et exemples simples sur la Planche-P1-2024-2025
-
- Qu’est-ce qu’une probabilité ? Démontrer la propriété de continuité croissante.
-
- Démontrer la sous-additivité dénombrable des probabilités (fait en exercice).
-
- Donner des propriétés de l’espace probabilisé décrivant le jeu à pile ou face infini (où l’existence de la proba est bien sûr admise) : quelle tribu, comment montrer que la probabilité des singletons est nulle.
-
- Dans l’exemple précédent donner un exemple de système quasi-complet d’événements (qui n’est pas « complet »).
-
- Définir ce qu’est une famille d’événements indépendants puis montrer que la formule sur la proba de l’intersection de ces événements se généralise à une famille infinie.
-
- Démontrer une famille pour la probabilité de l’Union de n événements A_i indépendants en fonctions des P(A_i).
-
- Enoncer les formules des proba composées et proba totales.
Donc pas de cours de deuxième année sur les variables aléatoires discrètes cette semaine MAIS on profite des vacances pour revoir tout le cours de 1ère année sur les v.a. définies sur un univers fini (loi, espérance, variance). Cela rendra bien plus facile l’acquisition du cours de 2ème année. Après cette révision de cours, on demande de travailler et on pourra être interrogé sur les exercices correspondants de la banque CCINP :
Ex 95, 98, 101, 104, 105, 107, 109, 112.
Autre révision recommandée : chapitre sur les séries entières.
Semaine 18 : lundi 10 février : équations différentielles linéaires.
Bien connaître l’énoncé du Théorème de Cauchy-Lipschitz linéaire dans le cas vectoriel et son adaptation au cas scalaire.
L’objectif principal de la semaine est la maîtrise des techniques des calculs notamment dans le cas des systèmes linéaires matriciels.
Il serait donc souhaitable que la colle se concentre en premier lieu sur une question « calculatoire » d’un des type suivant :
-
- Résolution d’un système linéaire X'(t)=A.X(t) avec A matrice constante 2×2 ou 3×3:
-
- Cas où A est diagonalisable dans R
-
- Cas où A est diagonalisable dans C et qu’on veut des solutions réelles
-
- Cas où A est seulement trigonalisable : on a comparé la méthode d’une simple trigonalisation ou de la réduction sous les sous-espaces caractéristiques sur des exemples. (Pour les étudiants bien revoir le chapitre R3 de réduction).
-
- IL serait INADMISSIBLE de ne pas savoir trigonaliser une matrice 3×3 cette semaine !! De même le calcul des vecteurs propres doit être efficace !
-
- Résolution d’un système linéaire X'(t)=A.X(t) avec A matrice constante 2×2 ou 3×3:
-
- Nous avons traités tous les exercices correspondants ex5 à 8 de la Planche-D2 en plus de nombreux exemples du cours. S’entraîner aussi avec ex 74, 75 de la banque CCINP.
Ensuite, on peut examiner la Résolution d’équations différentielles linéaires scalaires d’ordre deux : la principale nouveauté, outre le théorème de Cauchy Lipschitz linéaire qu’il faut encore une fois bien énoncer, est:
-
- la méthode de variations des constantes à l’ordre deux. Là encore on pourra vérifier que la méthode est bien apprise sur des exemples concrets (calculs avec aussi révisions des calculs de primitives).
-
- Ne pas oublier aussi la recherche de solutions particulières développables en séries entières, la technique est importante est doit être bien travaillée.
Nous n’avons pas eu le temps de traiter les exercices plus qualitatifs à ce stade, en revanche ,nous avons travaillé des exercices un peu plus théoriques sur l’exponentielle matricielle (début de planche sauf ex 4 )qui pourraient faire des questions pour les élèves plus à l’aise en deuxième partie de colle.
Semaine 17 du lundi 3 février : un programme « mélangé »
Dans l’idéal, la colle pourra comporter :
-
- Une question sur le programme précédent : endomorphismes d’un espace euclidien. La planche R4-bonus-decomp-matricielles suivante aura été traitée en partie.
-
- Une question sur la dénombrabilité OU la dérivation des fonctions d’une variable réelle à valeurs vectorielles, comme illustré par la planche ci-jointe :Planche-P0-D1, avec comme questions de cours possibles pour la partie Dérivation
-
-
-
-
-
-
-
- Trois définitions équivalentes de la dérivabilité pour f : I -> E (dém. non demandée)
-
- Dérivée de L o f si f est dérivable de I dans E et L est linéaire de E dans F (dém.)
-
- Dérivée de B(f,g) si f (resp. g) sont dérivables de I dans E (resp. dans F) et B : E x F-> G est bilinéaire (dém.)
-
- Extension du point précédent aux applications n-linéaires (typiquement déterminant) (pas de dém. juste la formule)
-
- T.A.F. généralisé à deux fonctions » f'(c) (g(b)-g(a))=g'(c)(f(b)-f(a)) » démonstration vectorielle
-
- Dérivation de t-> exp(tA) par théorème de dérivation terme à terme à valeurs vectorielles (dém)
-
- Inégalité triangulaire pour les intégrales de fonctions vectorielles et application à l’I.A.F. dans l’hypothèse C^1.
-
- Formules de Taylor à savoir parfaitement.
-
-
-
-
-
-
-
- Une question sur la dénombrabilité OU la dérivation des fonctions d’une variable réelle à valeurs vectorielles, comme illustré par la planche ci-jointe :Planche-P0-D1, avec comme questions de cours possibles pour la partie Dérivation
Et pour la partie dénombrabilité :
-
-
-
-
-
-
-
-
-
- Cours: Montrer qu’une union finie ou dnb d’ensembles finis ou dnb est finie ou dnb
-
- Exercice (pour les motivé.e.s) : montrer que {0,1}^N (où N est l’ensemble des entiers naturels) n’est pas dénombrable à l’aide de la construction diagonale.
-
- Cours: Définir ce qu’on appelle le développement décimal (resp. dyadique) propre respectivement impropre d’un nombre réel dans [0,1[ (l’impropre n’existant que pour les nombres décimaux, resp. dyadiques).
-
-
-
-
-
-
-
-
Semaine 16 du lundi 27 janvier : (réduction des) endomorphismes d’un espace euclidien.
Un cours très riche qui demande un travail en profondeur :
-
- Définition de l’adjoint, écriture matricielle en b.o.n.
-
- Si F est un s.e.v. stable par u alors son orthogonal est stable par u*.
-
- Donner le plus de caractérisations possibles des isométries vectorielles avec dém de l’une d’elles au choix des colleurs..
-
- Donner le plus de caractérisations possibles des matrices orthogonales : attention déterminant =+- 1 n’est PAS une caractérisation de ces matrices !
-
- Montrer qu’une matrice orthogonale symétrique est une matrice de symétrie orthogonale et montrer que vous avez compris ce que chaque terme de cette phrase veut dire….
-
- Thme de classification de toutes les isométries vectorielles : énoncé, étapes de la preuve (sans prouver tous les lemmes utilisés, démo au choix parmi ces lemmes)
-
- Théorème spectral sur les endomorphismes auto adjoints : étapes de la preuve (sans prouver tous les lemmes utilisés démo au choix parmi ces lemmes).
-
- Pour f dans L(E), justifier que f est entièrement déterminé par sa forme bilinéaire associée (x,y)-> (x|f(y)). Si f est auto adjoint alors cette forme bilinéaire, symétrique, est entièrement connue si on connait la forme quadratique (mot H.P) q_f : x-> (x|f(x)), pourquoi ? (formule de polarisation pour q_f). Ecriture matricielle de ces objets.
-
- Ecriture de la forme quadratique x-> (f(x)|x) dans une b.o.n. de dz. de f auto adjoint , application à une caractérisation de la plus grande et de la plus petite v.p. de f.
-
- Définition des autoadjoints positifs (resp. matrices symétriques positives) et caractérisation par le spectre.
Nous avons pris le temps de faire beaucoup d’exercices, presque toute la planche R4 ci-jointe. Planche-R4-2024-2025
Semaine 15 du 20 janvier : révisions et compléments sur les espaces préhilbertiens et un peu d’approximation dans les espaces de fonctions.
-
- Définir le produit scalaire canonique de R^n, dans M_{m,n}(R) (deux expressions montrer qu’elles coïncident)
-
- Produit scalaire dans l^2(N,R) (justifier la convergence de la série…)
-
- Produit scalaire dans L^2,continue(I,R) (justifier la convergence des l’intégrale)
-
- (Les justifications des exemples précédents n’ont pas tous été détaillés en classe ou bien fait dans d’autres chapitres (I1 pour L^2(I,R), ne pas hésiter à me demander en cas de pb).
-
- Expliquer pourquoi le p.s. est une application bilinéaire CONTINUE (savoir la caractérisation des appli. bilinéaires continues).
-
- Montrer que l’orthogonal d’une partie dense est réduit à {0}. Application au ‘lemme des moments’ (Banque CCINP 48 même si le corrigé de la banque est formulé sans produit scalaire, voir la rédaction faite en classe !).
-
- Lemme de représentation de Riesz pour les formes linéaires d’un espace euclidien.
-
- Montrer que l’orthogonal d’une partie A de E est un s.e.v. fermé de E.
-
- Existence d’un supplémentaire orthogonal pour un s.e.v. de dim. finie d’un espace préhilbertien.
-
- Formule de calcul de la projection orthogonale quand on connait une base orthogonale de ce s.e.v. : applications sur des exemples, cas des sommes partielles de la série de Fourier de f.
-
- Le projeté orthogonal d’un vecteur v sur un sev F est l’unique vecteur de F qui minimise la distance entre v et les vecteurs de F.
-
- Mise en oeuvre de l’orthogonalisation de Gram-Schmidt sur des exemples.
On insistera sur les calculs de projections orthogonales qui doivent être bien compris
Pour les étudiantes et étudiants les plus à l’aise on peut aussi donner en second exercice un exercice sur l’approximation en norme infinie (théorème de Weierstrass) :
sur la Planche-T3-2024-2025 ci-jointe, les exercices 1 à 3 n’ont pas été traités en classe. (La rédaction du 1 est très élémentaire car c’était un énoncé pour les 1ère année…)
Les exercices du type 5 et 6 sont vraiment très basiques et importants pour tout le monde !
Semaine 14 du lundi 13 janvier : révision de toute l’analyse sur les suites, séries de fonctions, et intégrales (chapitres S et I) et un petit peu de topologie.
La colle commencera par un exercice de la banque CCINP
-
- exercices 1 à 30 sauf l’ex 13,
-
- exercices 43 à 54 sauf l’ex 48 et l’ex. 52
Au total cela fait une quarantaine d’exercices c’est beaucoup ! Cela ne s’improvise pas. Cela demande un planning précis à mettre en oeuvre sur les vacances et la semaine de la rentrée (23 jours, cela fait deux exercices par jours, et oui c’est beaucoup, et bien sûr il vaut mieux voir ceux qui sont plus courts pour caler plutôt les jours où vous en faites 3 car il y a bien sûr des jours sans) Faites bien attention aux exercices sur les applications linéaires continues qui porte sur le cours fait récemment (ex. 1, 38, 54).
Une fois cet exercice fait : un exercice inconnu sur suites/séries de fonctions ou intégrales.
Semaine 13 du lundi 6 janvier : intégrales à paramètres.
Pour ce qui est des trois théorèmes du cours :
-
- version à variable continue du théorème de convergence dominée,
-
- théorème de continuité pour les intégrales à paramètres
-
- théorème sur le caractère C^k des intégrales à paramètres
je cite le programme officiel :
« Pour l’application pratique des énoncés de ce paragraphe, on vérifie les hypothèses de régularité par rapport à x et de domination, sans expliciter celles relatives à la continuité par morceaux par rapport à t »
On a choisi néanmoins des les expliciter par prudence par rapport aux personnes examinatrices… en hypothèse (H0) un peu triviale.
Le cours est fait autour de trois fils rouges : transformée de Laplace, transformée de Fourier et fonction Gamma. Les exemples faits qui sont tous des exercice à savoir refaire (pas des résultats du programme) sont les suivants :
-
- Continuité de la TF (transformée de Fourier) d’une fonction intégrable
-
- Continuité sur ]0,+oo[ de la TL (transformée de Laplace) d’une fonction c.p.m. bornée, extension à la variable complexe.
-
- Théorème de la valeur initiale pour la transformée de Laplace dans le cas facile d’une fonction bornée : L(f)(x)=f(0)/x+ o(1/x) quand x–>+oo.
-
- Lemme de Riemann-Lebesgue dans le cas facile où f est de classe C^1 et f et f’ sont intégrables : F(f)(x) –>0 pour x–>+oo
-
- Caractère C^1 et dérivation de la TL du sinus cardinal sur l’ouvert ]0,+oo[ : application au calcul de cette Transformée.
-
- Calcul de la dérivée p-ième de la TF d’une fonction f telle que pour tout k=0,1,..p, la fonction t-> t^k f(t) doit intégrable. (Si ceci est vrai pour tout p, on dit que la fonction est « à décroissance rapide »).
-
- Etude complète de la fonction Gamma : notamment justification soigneuse du caractère C^k et justifications pour le tracé du graphe.
-
- REVOIR les techniques de calculs d’intégrales et de primitives (1ère année, planche I1).
-
- Bien savoir aussi dériver si x est dans les bornes des intégrales (1ère année… et pas que..)
Sur la Planche-I3-2024-2025 ci-jointe, on a traité les exercices de 2 à 9 sauf le 6.
Semaine 12 : du lundi 16 décembre :
On pourra commencer les colles, outre les questions de cours, par une question de détermination de rayon de convergence.
Dans le cours :
-
- Lemme d’Abel, dém. et (prop.-)-définition du rayon de convergence.
-
- Test de d’Alembert pour les séries entières : dém. avec le lemme pour les séries numériques laissée en exercice en cours, mais faite sur les exemples des séries lacunaires ensuite en exercices !
-
- Prop. :

ont même rayon de convergence (au programme officiel pour alpha=1, démontrée, pour pas plus cher pour alpha qcq donc je pense qu’on peut s’en servir pour alpha quelconque).
- Prop. :
-
- Rayon de convergence d’une somme et produit de Cauchy.
-
- Continuité de la fonction somme dans le disque ouvert de convergence.
-
- Pour ce qui la variable est réelle :
-
- Théorème de continuité radiale d’Abel : énoncé seulement, mais savoir l’appliquer sur des exemples (série harmonique alternée…)
-
- Dérivation terme à terme automatique pour les sommes de séries entières
-
- unicité des coefficients du D.S.E., série de Taylor, rigidité des fonctions D.S.E.
-
- Pour ce qui la variable est réelle :
-
- DSE des fonctions usuelles : preuve de la formule du binôme (1+x)^a pour a réel avec la méthode de l’E.D. ou avec une formule de Taylor au moins pour x>0.
-
- Banque CCINP cf haut de la planche. Planche-S3-2024-2025 Nous avons traités les exercices 1 à 9 et 11, 12, nous traiterons au moins jusqu’au 14.
Semaine 11 du lundi 9 décembre :
Suites d’intégrales : convergence dominée et et série d’intégrales et intégration terme à terme.
D’abord révision du programme précédent, notamment toujours soigner les justifications d’intégrabilité ou de convergence de l’intégrale.
Beaucoup de « Questions de cours » possibles :
-
- Citer très précisément les deux théorèmes d’intégration d’une limite (celui avec la CVU sur un segment vs le T.C.D. de Lebesgue) : lesquels sait-on démontrer 🙂 ?
-
- Donner un exemple d’une suite de fonctions (f_n) qui Converge Uniformément sur un intervalle I (non borné) vers une fonction f et telle que l’intégrale sur I des f_n ne converge PAS vers l’intégrale sur I de f (étalement de la bosse : un dessin peut suffire, une fois transformé en fonction affine par morceau).
-
- Citer très précisément les deux théorèmes d’intégration d’une limite (celui avec la CVU sur un segment vs le T.C.D. de Lebesgue) : lesquels sait-on démontrer 🙂 ?
-
- Application du T.C.D. avec des « bornes variables » exemple de la limite de

- Application du T.C.D. avec des « bornes variables » exemple de la limite de
-
- Etude des intégrales de Wallis : détermination d’un équivalent. Toutes les étapes (relation de récurrence, invariant, encadrement) doivent être mémorisées.
-
- Méthode l’I.P.P fait sortir le terme prépondérant pour un équivalent, si f(1) non nul, de :

- Méthode l’I.P.P fait sortir le terme prépondérant pour un équivalent, si f(1) non nul, de :
-
- Etude des intégrales de Wallis : détermination d’un équivalent. Toutes les étapes (relation de récurrence, invariant, encadrement) doivent être mémorisées.
-
- Le même équivalent par la méthode de changement de variable.
-
- Intégration terme à terme d’une CVU sur un segment :
-
-
-
- application aux séries entières, comment obtenir le D.S.E. de ln(1+x) à partir de celui de 1/(1+x) sur ]-1,1[.
-
- application à la formule donnant les coefficients a_n et b_n d’une série trigonométrique comme des intégrales sur sa somme (formule des coeff. de Fourier).
-
-
-
- Intégration terme à terme d’une CVU sur un segment :
-
- Théorème d’intégration terme à terme de Lebesgue en deux théorèmes : cas positif et cas signe quelconque. Donner des énoncés précis !
-
- Ce qu’on fait quand le théorème ne s’applique pas (notamment en cas de Cv par théorème des séries alternées spéciales).
-
- Planche I2 : tous les exercices de la planche auront été traités. Planche-I2-2024-2025
-
- Banque CCINP : pour réviser les séries de fonctions, ex. 14.1,14.2,15, 16,17.
Semaine 10 du lundi 2 décembre :
Notion d’intégrale généralisée convergente/divergente sur un intervalle I.
Notion d’intégrale absolument convergente et notion associée de fonction intégrable.
On commencera la colle par une étude d’intégrabilité de fonction à l’aide des théorèmes de comparaison : o, O, équivalents, majorations de l’intégrande .
Pour les étudiants : majoration toujours de la valeur absolue de l’intégrande !
Exemple d’intégrale semi-convergente : cas de sin(t)/t^a avec a dans ]0,1], expliquer.
Pratique des IPP et changement de variables.
Théorème d’intégration des relations de comparaison, et méthode d’I.P.P. pour trouver des équivalents.
On attend un travail personnel de révision des méthodes de CALCUL d’intégrales vues en 1ère année, tableau de primitive à bien connaître, méthodes pour les fonctions rationnelles, ou trigonométriques … on pourra se tester aussi sur le verso de la planche I1 qui ne sera pas corrigé en classe.
Sur la banque CCINP : en plus des Ex. 25. 1), 28, 29.1 et 29.2) marqués en haut de la planche sur les intégrales , on pourra aussi interroger sur les exercices 8,9, 10, 11 de la banque CCINP sur les suites et séries de fonctions.
Planche traitée (ex 1 à 7 traités) : Planche-I1-2024-2025
Semaine 9 : du lundi 25 novembre :
Suites et séries de fonctions
Convergence simple, uniforme, localement uniforme, uniforme sur tout segment, normale et théorème de régularités des limites C^0,C^1, C^p (avec valeur des dérivées..) , intégration sur un segment, interversion des limites (ou de la double limite), déclinés en version suites et séries.
Connaissance précise des théorèmes et application efficace des méthodes !
-
- On pourra demander un énoncé précis de théorème en début de colle.
-
- Démonstration du théorème de continuité d’une limite uniforme d’une suite de fonction continue.
-
- Démonstration du théorème d’intégration d’une limite uniforme sur un segment.
-
- Le théorème d’interversion des limites a été admis.
-
- Exemple de la fonction zeta réelle : caractère C infini, limite à l’infini
-
- Exemple de la suite de fonctions x-> n sin(x/n) méthode pour la CVU sur les segments et pourquoi on n’ a pas CVU sur R
-
- Méthode d’encadrement par des intégrales pour un équivalent quand x->1 de la fonction zeta
Exercice de la Planche-S2-2024-2025 : on a traité les exercice 1 à 6 sauf le 5) c), le 8 et le 10.
Semaine 8 : du lundi 18 novembre :
Topologie : en plus du programme précédent :
-
- ouverts et fermés relatifs : définition d’un ouvert de A, d’un fermé de A, caractérisations (démo non exigibles mais énoncés à bien connaître).
-
- v
Sur la Planche-T2-2024-2025 : les exercices de 1 à 12 sauf le 4, 5c) et 6 ont été traités. On a particulièrement insisté sur les exemples de topologie dans M_n(K).
Ne pas hésiter à donner des questions reliées à l’algèbre linéaire pour bien ancrer ces notions et bien sûr les exercices de la banque CCINP marqués en haut de planche T2.
PAS de Continuité des applications linéaires et de normes d’opérateurs cette semaine.
Semaine 7 : du mardi 12 novembre
Thème : espaces vectoriels normés : normes, suites d’un e.v.n. (séries en dim. finie) avec aussi des révisions/compléments sur la convexité.
Pour ce qui est du langage topologique : ouvert, fermé, intérieur, adhérence, il pourra faire l’objet de questions de cours dans la liste ci-dessous mais PAS d’exercice inconnu, cela attendra la semaine suivante.
Les questions de cours sont de toutes façons très importantes cette semaine :le cours le cours le cours…..
-
- Montrer que la norme infinie sur l’espace des fonctions bornées est bien une norme (on sera très précis pour les arguments sur les sup.)
-
- Comparer N_1,N_2,N_infini dans R^n (inégalités).
-
- Montrer que N_1 et N_infini ne sont pas équivalentes dans C([0,1],R).
-
- définir ce qu’est une norme d’algèbre, en donner des exemples dans l’algèbre des fonctions bornées, et dans l’algèbre des matrices carrées.
-
- Théorème pour les produits de limites de suites dans une algèbre normée (avec démonstration)
-
- Justifier que dans un evn de dim. finie, la convergence d’une suite se vérifie « coordonnée par coordonnée ».
-
- Justifier que dans un evn de dim. finie, une série absolument convergente est convergente.
-
- Justification de l’existence de l’exp. matricielle.
-
- Montrer qu’une boule ouverte est ouverte, qu’une boule fermée est fermée
-
- Montrer que l’intérieur d’une boule fermée est la boule ouverte
-
- Montrer que l’adhérence d’une boule ouverte est la boule fermée
-
- Exercice : Montrer qu’un s.e.v. strict est d’intérieur vide.
-
- Caractérisation séquentielle des points adhérents.
-
- Lien complémentaire de l’adhérence/intérieur du complémentaire..
L’exercice inconnu portera sur le normes, les suites, et la convexité, (y compris des révisions de sup sur les fonctions convexes) comme sur la planche ci-jointe qui a été faite quasiment en entier (sauf ex 7 et 13, et 14 à finir).
Semaine 6 du lundi 4 novembre 2024 :
Toute la réduction des endomorphismes (trigonalisation comprise, à tous les sens du terme), et révisions ses programmes d’algèbre linéaire et d’algèbre générale précédents (en fait programmes 2 à 5).
-
- Trigonalisation : démonstration par récurrence du théorème qui dit qu’un endomorphisme ayant polynôme annulateur scindé est tz.
-
- Caractérisations des nilpotents en termes de v.p. dans C et autre (des équivalences très simples !)
-
- Les élèves doivent savoir conduire la trigonalisation concrète d’une matrice 2x 2, et d’une matrice 3 x 3 donnée et même la réduction sous forme de Jordan sur ces exemples 2×2 et 3×3.
-
- Théorème de décomposition sur les s.e.v. caractéristiques : il donne une tz précisée : énoncé et démonstration.
Format de la colle :
-
- Un exercice d’algèbre de la banque CCINP : 59, 60, 61 sauf 3), 62, 64, 65, 67 à 75 (sauf les deux systèmes différentiels au 74, 75), 83 à 91, 93, 94 (ne pas négliger les exercices sur l’arithmétique dans Z et sur les polynômes)
Pour les élèves : cela fait en gros 2 exercices de la banque à travailler par jour, l’un au petit déjeuner, l’autre au goûter… essayer de panacher pour par exemple faire un exercice de réduction de la banque par jour…
-
- Une question de réduction qui peut encore être une QdC ou un exercice des planches R1, R2, R3 ou quelque chose de proche mais aussi bien un exercice inconnu.
Semaine 5 du lundi 14 octobre 2024 :
-
- Cette semaine, tout sur la diagonalisation, les polynômes caractéristiques, Cayley-Hamilton et bien sûr tout le programme précédents. Pas de trigonalisation encore cette semaine, merci.
Nous avons fait beaucoup d’exercices : tous ceux de la Planche-R2
ont été travaillés et corrigés en classe sauf l’ex 13 et 14 et peuvent être reposés en colle.
Penser aussi aux exercices de la banque CCINP marqués en début de planche R2 et questions suivantes :
- Cette semaine, tout sur la diagonalisation, les polynômes caractéristiques, Cayley-Hamilton et bien sûr tout le programme précédents. Pas de trigonalisation encore cette semaine, merci.
-
- Calcul du polynôme caractéristique d’une matrice compagnon
-
- Justifier que la multiplicité géométrique d’une v.p. est inférieure ou égale à sa multiplicité algébrique.
-
- Démonstration de Cayley Hamilton dans le cas particulier compagnon avec le calcul du polynôme minimal.
Pour les élèves : pour les exercices de la banque CCINP, on y rencontre le théorème qui dit qu’une matrice symétrique réelle est toujours dz dans M_n(R), que nous n’avons pas encore fait dans ce cours et qui sera traité au moment de la réduction des endomorphismes d’un e.v. euclidien.
Semaine 4 du lundi 7 octobre 2024 :
Début de l’étude de la réduction des endomorphismes et de la diagonalisation.
-
- Révisions sur les formules de changement de base, pour les vecteurs et les applications linéaires.
-
- valeurs propres, vecteurs propres : recherche à l’aide de l’équation aux valeurs propres sur des exemples en dim. finie ou infinie.
-
- caractérisation : lambda v.p. d’une matrice A ssi det(A-lambda I)=0, application aux v.p. des matrices de petites tailles et des matrices triangulaires
-
- Démonstration du fait que des s.e.v. propres associés à des v.p. distinctes sont en somme directe
-
- Si lambda est v.p. d’un endomorphisme L et si P est un polynôme alors P(lambda) est v.p. de P(L). Conséquence si P est annulateur de L, Sp(L) est inclus dans Z(P).
-
- Les v.p. de L sont exactement les racines du polynôme minimal de L.
-
- Théorème de décomposition des noyaux : démonstration pour un produit de deux polynômes. On sera spécialement attentif à la bonne compréhension des objets manipulés (P(L)(x) et pas P(L(x)) et (PQ)(L)=P(L)o Q(L) etc…)
-
- Savoir donner le maximum de caractérisations d’une matrice diagonalisable et la C.S. « n v.p. distinctes en dim. n » mais en fait retenir surtout et pour chaque exercice qu’il y a d’un côté le point de vue géométrique (avec les vecteurs propres et les sev propres) et de l’autre côté le point de vue algébrique (avec les polynômes annulateurs, le minimal) .
-
- Montrer que si f est dz, alors l’endomorphisme f_F induit par f sur un s.e.v. stable F est encore dz.
Pour les colleurs : ON NE PRONONCE PAS LE MOT POLYNÔME CARACTERISTIQUE CETTE SEMAiNE ET de condition de diagonalisabilité avec celui-ci.
Pas d’exercice de la banque CCINP cette semaine. Pour la planche seulement les exercices 1 à 10. Planche-R1-2024-2025
Les exercices sur les matrices semblables sont conceptuellement importants à retravailler : semblable se montre avec l’endomorphisme canoniquement associé.
Pour la recherche des v.p. on a essentiellement travaillé les deux méthodes ‘det(A-lambda I)=0’ ou bien ‘AX=lambda X’ (eq aux v.p). L’utilisation des polynômes annulateurs pour les vp et la dz (exercice 13 et suivants) sera retravaillée plus concrètement en début de semaine, donc sur ce sujet rester très proche du cours.
Semaine 3 du lundi 30/09 : révisions et compléments d’algèbre commutative.
La motivation principale de cette semaine est d’introduire les idéaux des anneaux de polynômes pour la définition du polynôme annulateur d’une matrice ou d’un endomorphisme. Mais cela étant, c’est aussi l’occasion de voir et revoir un certain nombres de notions sur l’algèbre commutative, l’arithmétique et les polynômes. Il est important de vérifier que les différentes structures (groupes, anneaux, corps, algèbres et donc idéaux) sont bien connues. Pas de résultat sur le groupes cette semaine, le cadre est celui de l’algèbre commutative.
Pour le cours :
-
- Qu’est-ce qu’un anneau, qu’est-ce corps ? Montrer que Z/nZ est un corps ssi Z/nZ est intègre ssi n est un nombre premier.
-
- Plus généralement : pour a dans Z, montrer que la classe de a est inversible dans l’anneau Z/nZ ssi a et n sont premiers entre eux
-
- savoir définir ce qu’est un idéal et savoir la forme des idéaux de K[X] et de Z (démonstration faite dans K[X]).
-
- Définir le polynôme minimal d’un matrice (resp. d’un endomorphisme d’un e.v. de dim. finie) et savoir pourquoi tout polynôme annulateur est un multiple du polynôme minimal.
-
- Expliciter le polynôme minimal d’une matrice diagonale.
-
- Montrer que dim K[A]=deg(mu_A).
-
- Montrer que si A est une matrice inversible alors A^{-1} est dans K[A].
-
- Montrer que si A est une matrice et P est un polynôme alors P(A) est une matrice inversible ssi P est premier avec le polynôme minimal de A.
Pour les exercices surtout des révisions de première année sur les vérifications élémentaires sur les structures, éventuellement les congruences dans Z, mais surtout les polynômes et notamment polynômes complexes. La planche Planche-A2-2024-2025 a été traitée sauf l’exercice 10 et on traitera le 13 lundi.
Les exercices de la banque CCINP proposés couvrent une partie de ce programme de révision (racines de l’unité, polynômes de Lagrange, formule de Taylor pour les polynômes).
Semaine 2 du lundi 23 /09 : révisions (et quelques compléments) d’algèbre linéaire.
Peu de « nouveautés » en cours cette semaine seulement :
-
- Somme directe de plusieurs s.e.v.: définitions, différentes caractérisations
-
- Matrices par blocs : produits, opérations élémentaires sur les blocs, formule du déterminant d’une matrice triangulaire par bloc (deux démonstrations).
-
- Question de cours :
-
- citer le plus de caractérisations possibles de « F est somme directe de F_1+..+F_m »
-
- valeur et calcul du déterminant de Vandermonde
-
- définition de la comatrice et « formule de la comatrice » (sans dém)
-
- théorème caractérisant le rang d’une matrice avec les matrices extraites inversibles (sans dém)
-
- Question de cours :
L’essentiel de la semaine a été consacrée à des exercices de révisions : on aura traité presque tous (!) les exercices de la Planche-A1-2024-2025 ci-jointe (sauf le 12, 13) qui donne un éventail des problématiques abordées On insistera spécialement sur la bonne maîtrise du cours et des techniques sur les déterminants qui sont souvent traités bien vite en 1ère année faute du temps nécessaire, mais bien sûr tout le programme de 1ère année est intéressant pour cette semaine. Les références à la banque CCINP concernent la banque 2024_2025 réactualisée sur le site.
Semaine 1 du lundi 16 septembre : Séries numériques et familles sommables
Les colles comprendront (toute l’année) soit une question de cours, soit un exercice de la planche (ou une partie de celui-ci) soit encore un exercice de la banque dont le numéro figure sur la planche.
Planche-S1-2024-2025 : toute la planche a été traitée sauf l’ex. 13 et le 19 (traité dans le cas p=2, q=3).
On testera systématiquement que les élèves sont bien à l’aise avec les manipulations de D.L.
« Questions de cours » (alternative à un des exercices de la planche) :
-
- Définition de la divergence grossière : savoir démontrer que si la série de terme général (u_n) converge alors (u_n) tend vers zéro.
-
- Test de d’Alembert avec démonstration.
-
- Citer précisément le théorème de sommation des relations de comparaison et démontrer qu’il entraîne le théorème de convergence en moyenne de Cesaro.
-
- Savoir justifier le développement asymptotique de H_n à la précision o(1) de deux façons différentes (il y en a trois dans le cours).
-
- On peut aussi demander le terme d’après du développement asymptotique de H_n.
-
- Pour les familles sommables : citer les deux théorèmes de sommation par paquets (cas positifs, cas quelconque) et savoir s’en servir pour la sommation des (-1)^p/q^p.
Année 2023-2024 :
Semaine 23 du mardi 2 avril 2024: équations différentielles linéaires.
Bien connaître l’énoncé du Théorème de Cauchy-Lipschitz linéaire dans le cas vectoriel et son adaptation au cas scalaire.
Le premier objectif à notre niveau est la maîtrise des techniques de calculs.
Il serait donc souhaitable que la colle commence par une question « calculatoire » d’un des type suivant :
-
- Résolution d’un système linéaire X'(t)=A.X(t) avec A matrice constante 2×2 ou 3×3:
-
- Cas où A est diagonalisable dans R
-
- Cas où A est diagonalisable dans C et qu’on veut des solutions réelles
-
- Cas où A est seulement trigonalisable : on a comparé la méthode d’une simple trigonalisation ou de la réduction sous les sous-espaces caractéristique sur des exemples. (Pour les étudiants bien revoir le chapitre R3 de réduction).
-
- Résolution d’un système linéaire X'(t)=A.X(t) avec A matrice constante 2×2 ou 3×3:
-
- Résolution d’équations différentielles linéaires scalaires d’ordre deux :
-
- Méthodes de première année : MVC à l’ordre 1, calculs des primitives, recollement des solutions des E.D. singulières( premier ordre ex 1,2 pl. D3 et un exercice sur la banque CCINP), cas des second membres particuliers des équations à coeff. constant (cf. ex. 6,7 pl. D3)
-
- Méthode de la variation Des constantes pour les ED d’ordre deux : à bien maîtriser.
-
- Quand on ne connaît pas de solutions de l’équation homogène : exemple de recherche des solutions D.S.E. (pratique à bien maîtriser !)
-
- Quand on connaît une solution de l’équation homogène et qu’on en vu une autre indépendante, technique de la réduction de l’ordre par variation de la constante (ou via le Wronskien)
-
- Résolution d’équations différentielles linéaires scalaires d’ordre deux :
-
- Pour les équations aux dérivées partielles : technique du changement de variable (et de fonctions) : cette technique s’applique aussi aux équations différentielles ordinaires du reste mais dans tous les cas, les changements de variables doivent être donnés.
Pour toutes ces techniques les élèves trouveront à s’exercer (en plus de la planche) avec les exercices de la banque CCINP.
Dans le monde idéal où ce premier exercice de calcul n’occuperait pas toute la colle, on peut poser une question plus qualitative… même si pour l’instant peu d’exercices qualitatifs ont été traités sur la Planche-D3 : les exercices traités en classes à ce stade sont les numéro 1 à 8 et 10 et 12, mais on a expliqué le début la résolution du 17 en comparant à celle du 6.
C’est la dernière semaine de colle avant les écrits ! Merci à tous les examinateurs et examinatrice pour le travail mené cet année, on se retrouvera pour les oraux blancs…
Semaine 22 du lundi 25 mars 2024 : calcul différentiel, reprise du programme précédent et on rajoute le calcul à l’ordre deux, mais pas d’équations aux dérivées partielles cette semaine.
On insistera sur les exercices d’étude d’éventuels maxima/minima locaux avec la hessienne.
Questions de cours possible :
-
-
-
- Vecteur tangent en un point x à un sous-ensemble X de R^n : définition, exemples, structure de cône de l’ensemble T_x X de ces vecteurs.
-
- Exemple si X est une sphère (savoir refaire) dans R^n.
-
- Cas général si x est un point régulier d’une hypersurface X définie par l’équation g=0 alors T_x X est l’hyperplan défini par ker dg(x) (une inclusion admise dans le cadre général : dans certains exemples, on montre l’inclusion manquante)
-
- C.N. d’extremum pour f en un point x d’un ouvert U : df(x)=0 (point critique).
-
- C.N. d’extremum pour f_|X où X sous ensemble qcq : T_x X inclus dans Ker df(x)
-
- C.N. d’extremum pour f_|X en un point régulier x d’une hypersurface d’équation g=0 : df(x)= k dg(x).
-
- Calcul différentiel d’ordre 2 :
-
- fonctions C^2, C^k, théorème de Schwarz (admis)
-
- Calcul (important) de la dérivée seconde de t->f(a+tx)
-
- Définition de la Hessienne d’une fonction f : U -> R, c’est aussi la jacobienne du gradient de f.
-
- Savoir citer le théorème de Taylor-Young à l’ordre 2 (admis)
-
- C.N. de min. local : point critique a tel que Hf(a) soit symétrique positive (savoir dém).
-
- C.S. de min. local : point critique a tel que Hf(a) soit définie positive. (savoir dém.)
-
- Pratique en dim. 2 avec det(Hf(a)) et Tr(Hf(a)).
-
- Exemple où Hf(a) est dégénérée (0 v.p.) en exercice.
-
- Calcul différentiel d’ordre 2 :
-
- C.N. d’extremum pour f_|X en un point régulier x d’une hypersurface d’équation g=0 : df(x)= k dg(x).
-
-
Sur la planche tous les exercices jusqu’au 14 compris ont été faits en classe.
Pas d’E.D.P. cette semaine. Banque CCINP : travailler en priorité les ex 56 et 41.
Semaine 21 du lundi 18 mars 2024 : fonctions d’une variable réelle à valeur vectorielle et début du calcul différentiel pour les fonctions de plusieurs variables.
Dans l’idéal un peu des deux thèmes mais pour le second :
Le cours de calcul diff. est encore tout frais pour les élèves, les questions resteront donc très proches du cours et très élémentaires. Il s’agit surtout d’asseoir la compréhension de la nature des objets… qu’est-ce que df, df(x), df(x).h, le gradient etc..
Les deux types d’exercices standard sur le calcul diff sont représentés par les deux exercices 57 et 58 de la banque CCINP : ce sera les deux seuls exercices de la banque exigibles pour cette semaine : étude via les dérivées partielles et le caractère C^1 ou bien étude via la déf. de la différentiabilité (D.L1).
Exemples de questions de cours sur les deux chapitres :
Chapitre fonctions vectorielles d’une variable réelle :
-
- Trois définitions équivalentes de la dérivabilité pour f : I -> E (dém. non demandée)
-
- Dérivée de L o f si f est dérivable de I dans E et L est linéaire de E dans F (dém.) : à reméditer après le cours de calcul diff.
-
- Dérivée de B(f,g) si f (resp. g) sont dérivables de I dans E (resp. dans F) et B : E x F-> G est bilinéaire.
-
- Extension du point précédent aux applications n-linéaires (typiquement déterminant).
-
- Dérivation de t-> exp(tA) par théorème de dérivation terme à terme à valeurs vectorielles.
-
- Inégalité triangulaire pour les intégrales de fonctions vectorielles et application à l’I.A.F. dans l’hypothèse C^1.
-
- Formules de Taylor à savoir parfaitement (ne pas hésiter à le vérifier …)
Chapitre Calcul Diff (début !) :
-
-
-
- Définition de la dérivée D_v f(a) de la fonction f selon le vecteur v au point a et lien avec les dérivées partielles, cas où f est une norme N et a=0 ?
-
- Savoir qu’il existe des fonctions f telles que D_v f(a) existe pour tout v et qui ne sont pourtant pas continues en a (exemple donné en cours pas à savoir par coeur).
-
- Définition de la différentiabilité notation df(x).h, existence d’un D.L. 1, et définition du gradient pour les fonctions à valeurs réelles . La différentiabilité entraîne la continuité et l’existence des dérivées suivant tout vecteur.
-
- Exemples concrets de calculs de DL 1 et notamment dans le cadre matriciel cf. ex. 4, (crucial !) et ex 5 planche et exo de cours sur M-> M^{-1}.
-
- Déf. de f C^1 et caractérisation cruciale (admise) avec la continuité des dérivées partielles à utiliser sur des exemples.
-
- Différentielle d’un produit et d’une fonction composée et notamment la formule de dérivation le long d’une courbe.
-
-
-
- Tous les exercices des deux planches ont été faits sauf le dernier de chaque planche. Planche-D1-2023Planche-D2-2023
Semaine 20 du lundi 11 mars 2024 : variables aléatoire discrète (2ème partie)
Cette semaine, on rajoute : les moments d’ordre supérieurs, variance, covariance, les fonctions génératrices des v.a. à valeurs dans N, les inégalités de Markov, Bienaymé Tchebychev, et la loi faible des grands nombres.
Plus précisément, questions de cours possibles :
-
- Moments d’ordre r d’une v.a.d. : si X admet un moment d’ordre r alors X admet un moment d’ordre s pour tout s<r.
-
- Calculs des variances des lois usuelles et notamment géométriques et Poisson et cas de loi binomiale comme sommes de v.a. indépendantes
-
- Covariance : déf., application à la variance d’une somme
-
- Deux inégalités de Cauchy-Schwarz dans le contexte probabiliste, l’une avec (X,Y)->E(XY), l’autre avec la covariance,
-
- fonction génératrice : deux définitions. La série génératrice détermine la loi.
-
- Fonction génératrice d’une somme de v.a.d. indépendantes application à la loi binomiale, à la somme de deux v.a. de Poisson indépendantes
-
- Calcul de l’espérance en dérivant la fonction génératrice (justifier).
-
- Inégalité de Markov et de Tchebychev.
-
- Loi faible des grands nombres: énoncé et démonstration.
La Planche-P3-2023 a été entièrement travaillée en classe sauf l’Ex 9 où on a seulement calculé l’espérance.
Pour la banque CCINP, finalement je ne demande pas tous les exercices de proba cette semaine, pour un travail plus ciblé, on se concentrera sur les ex. : 110, 108, 103 (fonctions génératrices recommandées), 100, 99.
Semaine 19 du lundi 4 mars 2022 : variables aléatoire discrète (1ère partie)
Des v.a.d., des espérances mais pas encore de variance ou de covariance, ni de fonction génératrice ou d’inégalité de Bienaymé T cette semaine.
Chapitre sur les variables aléatoires discrètes: Qdc possibles :
-
- Définition d’une v.a.d. : savoir vérifier les conditions de la déf. d’une v.a.d : exemple du temps d’attente de succès dans une suite de tirages de Bernoulli (v.a.d. de loi géométrique) ou de l’exercice 1 de la planche P2.
-
- Caractérisation des v.a. géométriques par le caractère « sans-mémoire ».
-
- Convergence en loi de v.a. suivant B(n,lambda/n) vers P(lambda)
-
- Indépendance des v.a.d. : déf. équivalentes (dém. non demandée mais savoir faire des énoncés précis).
-
- Espérance des v.a. géométriques ou de Poisson.
-
- Théorème de transfert dém non exigée mais énoncé précis (deux cas). Pourquoi une v.a.d. est-elle d’espérance finie ssi E(|X|) est finie ?
-
- Calcul de l’espérance d’une v.a.d. à valeur dans N à l’aide des P(X>k) (dém).
Banque CCINP : cette semaine ex 97, 102, 104, 106. (La semaine suivante ce sera tous les exercices de proba de la banque).
Planche P2 : tous les exercices ont été traités. Planche-P2-2023
Semaine 18 du lundi 26 février : révisions de toute l’algèbre et un peu de probabilités.
Format de la colle (dans l’idéal, d’ailleurs les idéaux sont au programme):
-
- une question d’algèbre linéaire ou d’algèbre commutative qui peut être :
-
- un exercice de la banque CCINP partie algèbre tout (ex. 59 à 93) : on laissera juste de côté les exercices 74,75.
-
- un exercice d’une des planches (ou variante simple de ceux-ci) d’algèbre de cette année : les revoici par commodité ici
-
- une question d’algèbre linéaire ou d’algèbre commutative qui peut être :
Planche-R4.-2023Planche-R3-2023Planche-R2-2023Planche-R1-2023Planche-A2-2023Planche-A1-2023
2. Une question plus rapide de probabilité : dans l’esprit soit du recto (plus théorique sur le cours sur les espaces probabilsés, continuité monotone, sous-additivité dénombrable) soit du verso (révisions de première année surtout sur le même sujet) de la planche ci-jointe.Planche-P1-2023
Pas de variables aléatoires cette semaine.
En attendant : bonnes vacances !
Semaine 17 du lundi 5 février : (réduction des) endomorphismes d’un espace euclidien.
Un cours très riche qui demande un travail en profondeur :
-
- Définition de l’adjoint, écriture matricielle en b.o.n.
-
- Si F est un s.e.v. stable par u alors son orthogonal est stable par u*.
-
- Donner le plus de caractérisations possibles des isométries vectorielles avec dém de l’une d’elles
-
- Donner le plus de caractérisations possibles des matrices orthogonales : attention déterminant =+- 1 n’est PAS une caractérisation de ces matrices !
-
- Montrer qu’une matrice orthogonale symétrique est une matrice de symétrie orthogonale et montrer que vous avez compris ce que chaque terme de cette phrase veut dire….
-
- Thme de classification de toutes les isométries vectorielles : énoncé, étapes de la preuve (sans prouver les lemmes utilisés), le colleur peut demander de rédiger formellement la récurrence ce que nous n’avons pas fait en cours : dans ce cas cf. rédaction de l’ex. 2 pl. R4.
-
- Théorème spectral de réduction des endomorphismes auto adjoints : étapes de la preuve (sans prouver les lemmes utilisés).
-
- Pour f dans L(E), justifier que f est entièrement déterminé par sa forme bilinéaire associée (x,y)-> (x|f(y)). Si f est auto adjoint alors cette forme bilinéaire, symétrique, est entièrement connue si on connait la forme quadratique (mot H.P) q_f : x-> (x|f(x)), pourquoi ? (formule de polarisation pour q_f). Ecriture matricielle de ces objets.
-
- Ecriture de la forme quadratique x-> (f(x)|x) dans une b.o.n. de dz. de f auto adjoint , application à une caractérisation de la plus grande et de la plus petite v.p. de f.
-
- Définition des autoadjoints positifs (resp. matrices symétriques positives) et caractérisation par le spectre.
Nous avons pris le temps de faire beaucoup d’exercices, presque toute la planche R4 ci-jointe jusqu’au 14 pour l’instant, j’espère que cela donnera déjà assez de recul …. Planche-R4.-2023
Semaine 16 du lundi 29 janvier : approximation dans les espaces de fonctions, espaces préhilbertiens.
Cette semaine est aussi l’occasion de réviser et consolider les acquis de 1ère année sur les espaces euclidiens et préhilbertiens.
« Questions de cours » possibles :
-
- Citer le théorème d’approximation uniforme des fonctions c.p.m. par des fonctions en escalier et savoir l’appliquer pour démontrer le théorème de Riemann-Lebesgue sur un segment (thme H.P. mais à connaître aussi bien pour le résultat que pour la méthode).
-
- Citer le théorème d’approximation de Weierstrass et montrer qu’on ne peut pas espérer une CVU sur R entier car si une suite de polynômes CVU sur R entier….
-
- Dans le cadre préhilbertien : montrer que l’orthogonal d’une partie dense est réduit à {0}. Application au ‘lemme des moments’ (Banque CCINP 48 même si le corrigé de la banque est formulé sans produit scalaire, voir la rédaction faite en classe !).
-
- Montrer que L^2_continue(I,R) est un espace préhilbertien.
-
- Déterminer l’orthogonal des suites nulles A.P.C.R. dans l^2(N).
-
- Révision de première année : CNS d’égalité dans l’inégalité de Cauchy-Schwarz et dans l’inégalité triangulaire.
-
- Existence d’un supplémentaire orthogonal pour un s.e.v. de dim. finie d’un espace préhilbertien.
-
- Formule de calcul de la projection orthogonale quand on connait une base orthogonale de ce s.e.v. : applications sur des exemples, cas des sommes partielles de la série de Fourier de f.
-
- Le projeté orthogonal d’un vecteur v sur un sev F minimise la distance entre v et les vecteurs de F.
-
- Mise en oeuvre de l’orthogonalisation de Gram- Schmidt sur des exemples.
Sur la Planche-T4-2023 tous les exercices sauf le 5 ont été traités en classe mais il est clair que la thématique sur l’approximation uniforme est plus difficile et plutôt (à part les QdC ci-dessus) à réserver en deuxième partie de colles pour les élèves les plus à l’aise. Pour tout le monde, on testera en priorité la solidité des connaissances sur les espaces préhilbertiens, sur les produits scalaires usuels, Cauchy-Schwarz (revoir les exercices faits en sup sur cette inégalité car pas eu le temps d’en mettre assez sur la planche et ceux de la Banque CCINP là-dessus 77, 79), et surtout les projections orthogonales et l’orthogonalisation.
A cet égard, il est un peu regrettable que les ex 80 et 81 de la Banque CCINP permettent un calcul ‘avec une astuce’ du projeté orthogonal sans tester le recours à une méthode générale.
Bonne semaine
Semaine 15 du lundi 22 janvier : compacité et connexité par arcs.
On restera d’abord proche du cours (QdC) et c’est aussi l’occasion de révisions de chapitres précédents de topologie (cf les exercices de la banque CCINP ci-dessous) ainsi que du cours de 1ère année sur la continuité des fonctions d’une variable réelle qu’on généralise ici.
Questions de Questions de cours possibles :
-
- Montrer le théorème de Bolzano-Weierstrass (B.W.) dans C en admettant le résultat dans R.
-
- Montrer qu’un compact d’un e.v.n. E est fermé borné dans E.
-
- Montrer qu’un fermé dans un compact est compact.
-
- Donner un exemple de fermé borné non compact (aussi exercice 13 banque CCINP sur ce sujet mais on peut aussi penser au cadre préhilbertien avec une famille o.n.).
-
- Montrer que l’image continue d’un compact est compacte.
-
- Théorème des bornes atteintes pour les fonctions d’un compact dans R.
-
- Montrer que la sphère unité d’un e.v.n. de dim au moins 2 est connexe par arcs.
-
- L’image continue d’un c.p.a. est c.p.a.
-
- Connexité par arc pour montrer qu’une fonction d’un intervalle I de R dans R continue injective est strictement monotone.
Dans les exercices on a beaucoup insisté sur l’utilisation de la compacité pour réaliser des extrema : on pourra interroger sur les exercices 8, 10, 11 pl. T3. La notion de fonction coercive qui n’est pas au programme doit cependant être bien comprise car elle est fréquente !
Semaine 14 du lundi 15 janvier :REVISIONS sur Séries et Intégrales : séries numériques, séries de fonctions, séries entières, et tout sur les intégrales.
Connaissance précise des théorèmes, application efficace des méthodes 🙂
Format de la colle :
-
- Un exercice de la Banque CCINP : Exercices 1 à 12, 14 à 32, 46, 47, 49 à 51 et 53.
-
- Un exercice » inconnu » (ou pourquoi pas un exercice d’une planche pour vérifier aussi que ces exercices ont été assimilés !) Par commodité je reposte ici ces planches : Planche-I3-2023Planche-S3-2023Planche-I2-2023Planche-S2-2023Planche-I1-2023Planche-S1-2023
Pour la semaine suivante : compacité et connexité par arcs. Il y aura pas mal de questions de cours. Reprenez ces démonstrations plusieurs fois et pas à la dernière minute.
Semaine 13 du lundi 8 janvier : intégrales à paramètres.
Pour ce qui est des trois théorèmes du cours :
-
- version à variable continue du théorème de convergence dominée,
-
- théorème de continuité pour les intégrales à paramètres
-
- théorème sur le caractère C^k des intégrales à paramètres
je cite le programme officiel :
« Pour l’application pratique des énoncés de ce paragraphe, on vérifie les hypothèses de régularité par rapport à x et de domination, sans expliciter celles relatives à la continuité par morceaux par rapport à t »
Autrement dit sachant qu’en fait à chaque fois on commence par vérifier l’intégrabilité de l’intégrande dans la question sur la bonne définition de l’intégrale, et qu’on est donc dans le cadre de la théorie de Lebesgue (ces intégrales n’ont d’ailleurs rien « d’impropre » ce sont des intégrales tout à fait « propres » en théorie de Lebesgue… les seules impropres étant les intégrales semi-convergentes), bref, donc quand on en arrive à utiliser ces théorèmes il y a essentiellement deux hypothèses à vérifier comme indiqué ci-dessus (H1 : la régularité C^0, C^k, C^infinie, ou la convergence simple pour le TCD, H2 la domination).
Le cours est fait autour de trois fils rouges : transformée de Laplace, transformée de Fourier et fonction Gamma. Les exemples faits qui sont tous des exercice à savoir refaire (et pas des résultats du programme) sont les suivants :
-
- Continuité de la TF (transformée de Fourier) d’une fonction intégrable
-
- Continuité sur ]0,+oo[ de la TL (transformée de Laplace) d’une fonction c.p.m. bornée, extension à la variable complexe.
-
- Théorème de la valeur initiale pour la transformée de Laplace dans le cas facile d’une fonction bornée : L(f)(x)=f(0)/x+ o(1/x) quand x–>+oo.
-
- Lemme de Riemann-Lebesgue dans le cas facile où f est de classe C^1 et f et f’ sont intégrables : F(f)(x) –>0 pour x–>+oo
-
- Caractère C^1 et dérivation de la TL du sinus cardinal sur l’ouvert ]0,+oo[ : application au calcul de cette Transformée.
-
- Calcul de la dérivée p-ième de la TF d’une fonction f telle que pour tout k=0,1,..p, la fonction t-> t^k f(t) doit intégrable. (Si ceci est vrai pour tout p, on dit que la fonction est « à décroissance rapide »).
-
- Etude complète de la fonction Gamma : notamment justification soigneuse du caractère C^k et justifications pour le tracé du graphe.
-
- REVOIR les techniques de calculs d’intégrales et de primitives (1ère année, planche I1).
-
- Bien savoir aussi dériver si x est dans les bornes des intégrales (1ère année… et pas que..)
Planche-I3-2023(tout n’a pas été traité mais il est très conseillé d’essayer de finir la planche pour les vacances, nous reparlerons des exercices le jour de la rentrée).
Le problème fait en TD : Centrale PSI 2016 : Centrale2-PSI-2016 DS5-2021-2022-sol
Semaine 12 du lundi 18 décembre Série entières :
On pourra commencer les colles, outre les questions de cours, par une question de détermination de rayon de convergence.
Dans le cours :
-
- Lemme d’Abel, dém. et (prop.-)-définition du rayon de convergence.
-
- Lemme de d’Alembert pour les séries entières : dém. avec le lemme pour les séries numériques.
-
- Prop. ;

ont même rayon de convergence (au programme officiel pour alpha=1, démontrée, pour pas plus cher pour alpha qcq donc je pense qu’on peut s’en servir pour alpha quelconque).
- Prop. ;
-
- Rayon de convergence d’une somme et produit de Cauchy.
-
- Continuité de la fonction somme dans le disque ouvert de convergence.
-
- Pour ce qui la variable est réelle :
-
- Théorème de continuité radiale d’Abel : énoncé seulement, mais savoir l’appliquer sur des exemples (série harmonique alternée…)
-
- Dérivation terme à terme automatique pour les sommes de séries entières
-
- unicité des coefficients du D.S.E., série de Taylor, rigidité des fonctions D.S.E.
-
- Pour ce qui la variable est réelle :
-
- DSE des fonctions usuelles : preuve de la formule du binôme (1+x)^a pour a réel avec la méthode de l’E.D. ou avec une formule de Taylor au moins pour x>0.
-
- Banque CCINP cf haut de la planche. Planche-S3-2023
Semaine 11 : du lundi 11 décembre : Suites d’intégrales : convergence dominée et et série d’intégrales et intégration terme à terme.
D’abord révision du programme précédent, notamment toujours soigner les justifications d’intégrabilité ou de convergence de l’intégrale
« Questions de cours » possibles :
-
- Citer très précisément les deux théorèmes d’intégration d’une limite (celui avec la CVU sur un segment vs le T.C.D. de Lebesgue) : lesquels sait-on démontrer 🙂 ?
-
- Donner un exemple d’une suite de fonctions (f_n) qui CVU sur un intervalle I (non borné) vers une fonction f et telle que l’intégrale sur I des f_n ne converge PAS vers l’intégrale sur I de f.
-
- Application du T.C.D. avec des « bornes variables »

- Application du T.C.D. avec des « bornes variables »
-
- Etude des intégrales de Wallis : détermination d’un équivalent. Toutes les étapes (relation de récurrence, invariant, encadrement) doivent être mémorisées.
-
- Méthode l’I.P.P fait sortir le terme prépondérant pour un équivalent de :
-
- Etude des intégrales de Wallis : détermination d’un équivalent. Toutes les étapes (relation de récurrence, invariant, encadrement) doivent être mémorisées.
-
- Le même équivalent par la méthode de changement de variable.
-
- Intégration terme à terme d’une CVU sur un segment :
-
-
-
- application aux séries entières : (on admet la CvN sur les segments inclus dans ]-R,R[) montrer que :
-
- applications aux séries trigonométriques (très important car H.P. mais dans tellement de sujets d’écrits de maths et dans le cours de physique)
-
-
-
- Intégration terme à terme d’une CVU sur un segment :
-
- Théorème d’intégration terme à terme de Lebesgue en deux théorèmes : cas positif et cas signe quelconque. Donner des énoncés précis !
-
- Exemple du second cas :
-
- Ce qu’on fait quand le théorème ne s’applique pas. Exemple :
-
- Planche I2 : les exercices 1 à 5 ont été déjà faits en classe. Planche-I2-2023
Semaine 10 : du lundi 4 décembre :
Notion d’intégrale convergente/divergente
Notion d’intégrale absolument convergente et notion associée de fonction intégrable.
On commencera la colle par une étude d’intégrabilité de fonction à l’aide des théorèmes de comparaison : o, O, équivalents, majorations de l’intégrande.
Pour les étudiants : majoration toujours de la valeur absolue de l’intégrande !
Exemple d’intégrale semi-convergente : cas de sin(t)/t^a avec a dans ]0,1], expliquer.
Théorème d’intégration des relations de comparaison, et méthode d’I.P.P. pour trouver des équivalents.
On attend un travail personnel de révision des méthodes de CALCUL d’intégrales vues en 1ère année, tableau de primitive à bien connaître, méthodes pour les fonctions rationnelles, ou trigonométriques … on pourra se tester aussi sur le verso de la planche I1 qui ne sera pas corrigé en classe.
Semaine 9 : du lundi 27 novembre :
Suites et séries de fonctions :
Convergence simple, uniforme, uniforme sur tout segment, normale pour les séries de fonctions et théorème de régularités des limites C^0,C^1, C^p (avec valeur des dérivées..) , intégration sur un segment, interversion des limites, déclinés en version suites et séries.
Connaissance précise des théorèmes et application efficace des méthodes !
-
- On pourra demander un énoncé précis de théorème en début de colle.
-
- Démonstration du théorème de continuité d’une limite uniforme d’une suite de fonction continue.
-
- Démonstration du théorème d’intégration d’une limite uniforme sur un segment.
-
- Le théorème d’interversion des limites a été admis.
-
- Exemple de la fonction zeta réelle : caractère C infini, variations, convexité, limite à l’infini
-
- Pour les plus à l’aise : limite de zeta en 1.
-
- Exemple de la suite de fonctions x-> n sin(x/n) méthode pour la CVU sur les segments et pourquoi on n’ a pas CVU sur R
-
- Méthode d’encadrement par des intégrales pour un équivalent quand x->0 de la somme des exp(-x sqrt(n)).
Exercice de laPlanche-S2-2023 les ex 1 à 5 ont déjà été traités en classe, donnent déjà un petit échantillon de méthodes variées.
Banque CCINP aucun exercice n’est exigible cette semaine pour ne pas surcharger les élèves mais elles et ils trouveront de quoi s’entraîner avec les exercices suivants de la banque :Ex. 9,10,11,12,14, 15, 16, 17,18.
Semaine 8 : du lundi 20 novembre :
Topologie : en plus du programme précédent :
-
- ouverts et fermés relatifs : définition d’un ouvert de A, d’un fermé de A, caractérisations (démo non exigibles).
-
- déf. de la continuité en un point et caractérisation avec les voisinages avec démonstration.
-
- caractérisation globale de la continuité : f est continue de A dans F ssi la préimage d’un ouvert de F est un ouvert de A (resp. d’un fermé) : démo. non exigible, par contre : savoir bien la mettre en oeuvre pour montrer que tel ensemble est ouvert ou fermé.
-
- Savoir justifier qu’une application donnée est continue : théorème d’opération, continuité des formes coordonnées, et donc des fonctions polynomiales ou rationnelles.
-
- Savoir étudier la continuité d’une fonction en un point à problème (ex. 6,7 pl. T2).
-
- Exercice : Justifier la continuité de l’application A -> A^{-1} de GL_n(K) dans lui-même.
-
- Définir ce qu’est un homéomorphisme et pourquoi l’image d’un ouvert par un homéo est un ouvert. Donner. un exemple de fonction continue bijective qui n’est pas un homéo.
-
- Caractérisation de la continuité des applications linéaires : 5 conditions, avec dém.
-
- Définition de la norme d’opérateur (trois formules équivalentes) avec dém.
-
- Calcul pratique de normes d’opérateur sur des exemples : seulement à partir de mercredi !
Sur la Planche-T2-2023 : tout le verso à été traité. En revanche les calculs de normes d’opérateurs seront pratiqués en début de semaine donc être plus aidant là-dessus. Ne pas hésiter à donner des questions reliées à l’algèbre linéaire pour bien ancrer ces notions et bien sûr les exercices de la banque CCINP marqués en haut de planche T2.
Semaine 7 : du lundi 13 novembre :
Début de la topologie : normes, suites d’un e.v.n. (séries en dim. finie), mais aussi ouverts, fermés, intérieur, adhérence.
On pourra commencer la colle par une question de cours dans cette liste :
-
- Montrer que la norme infinie sur l’espace des fonctions bornées est bien une norme (on sera très précis pour les arguments sur les sup.)
-
- définir ce qu’est une norme d’algèbre, en donner des exemples dans l’algèbre des fonctions bornées, et dans l’algèbre des matrices carrées.
-
- Théorème pour les produits de limites de suites dans une algèbre normée.
-
- Justifier que dans un evn de dim. finie, la convergence d’une suite se vérifie « coordonnée par coordonnée ».
-
- Justifier que dans un evn de dim. finie, une série absolument convergente est convergente.
-
- Justification de l’existence de l’exp. matricielle.
-
- Montrer qu’une boule ouverte est ouverte.
-
- Montrer que l’intérieur d’une boule fermée est la boule ouverte
-
- Montrer que l’adhérence d’une boule ouverte est la boule fermée
-
- Exercice : Montrer qu’un s.e.v. strict est d’intérieur vide.
-
- Caractérisation séquentielle des points adhérents.
-
- Lien complémentaire de l’adhérence/intérieur du complémentaire..
Sur la planche T1, on a fait tous les exercices de 1 à 9. Sur la planche T2 les ex 1, 2 et presque tout le 3. On vérifiera surtout que les définitions sont bien sues (ouvert; fermés, intérieur, adhérence) et dans une certaine mesure déjà un peu comprises.
Banque CCINP : Ex. 37, 39 sauf le 2), 40, 44,45
Semaine 6 du lundi 6 novembre 2023 :
Toute la réduction des endomorphismes (trigonalisation comprise, à tous les sens du terme), et révisions des séries numériques, bref, les cinq programmes précédents plus : (QdC possibles cette semaine)
-
- Trigonalisation : démonstration par récurrence du théorème qui dit qu’un endomorphisme ayant polynôme annulateur scindé est tz.
-
- Caractérisations des nilpotents en termes de v.p. dans C et autre (des équivalences très simples !)
-
- Les élèves doivent savoir conduire la trigonalisation concrète d’une matrice 2x 2, et d’une matrice 3 x 3 donnée et même la réduction sous forme de Jordan sur ces exemples 2×2 et 3×3.
-
- Théorème de décomposition sur les s.e.v. caractéristiques : il donne une tz précisée.
Toute la planche Planche-R3-2023 a été travaillée sauf le dernier exercice.
Format de la colle : dans l’idéal une question d’analyse et une question d’algèbre.
L’une des questions d’algèbre peut être un exercice de la banque CCINP : ex. 59, 60, 62, 64; 65, 67 à 73, 83 à 91 et enfin le 93 (surtout ne pas négliger les exercices sur l’arithmétique dans Z et sur les polynômes).
Cela fait en gros 2 exercices de la banque à travailler par jour, l’un au petit déjeuner, l’autre au goûter…
Les questions sur les séries numériques ne seront pas forcément difficiles, juste pour ancrer les méthodes sur les D.L notamment et les résultats les plus importants.
Semaine 5 du lundi 16 octobre 2023 :
Cette semaine, tout sur la diagonalisation, les polynômes caractéristiques, Cayley-Hamilton et bien sûr tout le programme précédents. Pas de trigonalisation encore cette semaine, merci.
Nous avons fait beaucoup d’exercices : tous ceux de la Planche-R2
ont été travaillés et corrigés en classe sauf l’ex 1 et l’ex. 14 et peuvent être reposés en colle.
Penser aussi aux exercices de la banque CCINP marqués en début de planche R2 et questions suivantes :
• Calcul du polynôme caractéristique d’une matrice compagnon
-
- Justifier que la multiplicité géométrique d’une v.p. est inférieure ou égale à sa multiplicité algébrique.
-
- Démonstration de Cayley Hamilton dans le cas particulier d’une matrice dz.
Pour les élèves : pour les exercices de la banque CCINP, on y rencontre le théorème qui dit qu’une matrice symétrique réelle est toujours dz dans M_n(R), que nous n’avons pas encore fait dans ce cours et qui sera traité au moment de la réduction des endomorphismes d’un e.v. euclidien.
Semaine 4 du lundi 9 octobre 2023 :
Début de l’étude de la réduction des endomorphismes et de la diagonalisation.
-
- Révisions sur les formules de changement de base, pour les vecteurs et les applications linéaires.
-
- valeurs propres, vecteurs propres : recherche à l’aide de l’équation aux valeurs propres sur des exemples en dim. finie ou infinie
-
- caractérisation : lambda v.p. d’une matrice A ssi det(A-lambda I)=0, application aux v.p. des matrices de petites tailles et des matrices triangulaires
-
- Démonstration du fait que des s.e.v. propres associés à des v.p. distinctes sont en somme directe
-
- Si lambda est v.p. d’un endomorphisme L et si P est un polynôme alors P(lambda) est v.p. de P(L). Conséquence si P est annulateur de L, Sp(L) est inclus dans Z(P).
-
- Les v.p. de L sont exactement les racines du polynôme minimal de L.
-
- Théorème de décomposition des noyaux : démonstration pour un produit de deux polynômes. On sera spécialement attentif à la bonne compréhension des objets manipulés (P(L)(x) et pas P(L(x)) et (PQ)(L)=P(L)o Q(L) etc…)
-
- Savoir donner le maximum de caractérisations d’une matrice diagonalisable et la C.S. « n v.p. distinctes en dim. n » mais en fait retenir surtout et pour chaque exercice qu’il y a d »un côté le point de vue géométrique (avec les vecteurs propres et les ses propres) et le point de vue algébrique (avec les polynômes annulateurs, le minimal;
Pour les colleurs : ON NE PARLE PAS de POLYNÔME CARACTERISTIQUE CETTE SEMAiNE ET de condition de diagonalisabilité avec celui-ci.
Exercices traités sur la planche ; 1,2,4,5,8,10,11,12,16,17. Planche-R1-2023
Semaine 3 du lundi 02/10 : révisions et compléments d’algèbre commutative.
La motivation principale de cette semaine est d’introduire les idéaux des anneaux de polynômes pour la définition du polynôme annulateur d’une matrice ou d’un endomorphisme. Mais cela étant, c’est aussi l’occasion de voir et revoir un certain nombres de notions sur l »algèbre commutative, l’arithmétique et les polynômes. Il est important de vérifier que les différentes structures (groupes, anneaux, corps, algèbres et donc idéaux) sont bien connues. Pas de résultat sur le groupes cette semaine, le cadre est celui de l’algèbre commutative.
Pour le cours :
-
- Qu’est-ce qu’un anneau, qu’est-ce corps ? Montrer que Z/nZ est un corps ssi Z/nZ est intègre ssi n est un nombre premier.
-
- Plus généralement : pour a dans Z, montrer que la classe de a est inversible dans l’anneau Z/nZ ssi a et n sont premiers entre eux
-
- savoir définir ce qu’est un idéal et savoir la forme des idéaux de K[X] et de Z (dém. sur K[X]).
-
- Définir le polynôme minimal d’un matrice (resp. d’un endomorphisme d’un e.v. de dim. finie) et savoir pourquoi tout polynôme annulateur est divisible par le polynôme minimal.
-
- Expliciter le polynôme minimal d’une matrice diagonale.
-
- Montrer que dim K[A]=deg(mu_A).
-
- Montrer que si A est une matrice inversible alors A^{-1} est dans K[A].
-
- Montrer que si A est une matrice et P est un polynôme alors P(A) est une matrice inversible ssi P est premier avec le polynôme minimal de A.
Pour les exercices : surtout des révisions de première année sur les vérifications élémentaires sur les structures, éventuellement les congruences dans Z, mais surtout les polynômes et notamment polynômes complexes : les exercices 5 à 10 de la planche A2 ci-jointes ont été traités en classe, les suivant sont donnés aux élèves en guise de révision mais ne sont pas corrigés en classe. Les exercices de la banque CCINP proposés couvrent une partie de ce programme de révisions.
Les exercices plus difficiles (du style des exercices 1 à 4 de la planche, même si les trois premiers ont été traités en classe) sont à réserver aux élèves les plus à l’aise. Planche-A2-2023
Bonne semaine !
Semaine 2 du lundi 25 /09 : révisions (et quelques compléments) d’algèbre linéaire.
Peu de « nouveautés » en cours cette semaine seulement :
-
- Somme directe de plusieurs s.e.v.: définitions, différentes caractérisations
-
- Matrices par blocs : produits, opérations élémentaires sur les blocs, formule du déterminant d’une matrice triangulaire par bloc (deux démonstrations).
L’essentiel de la semaine a été consacrée à des exercices de révisions : on aura traité presque tous (!) les exercices de la Planche-A1-2023 ci-jointe (sauf le 9, 18, 22, 23,27) qui donne un éventail des problématiques abordées On insistera spécialement sur la bonne maîtrise du cours et des techniques sur les déterminants qui sont souvent traités bien vite en 1ère année faute du temps nécessaire, mais bien sûr tout le programme de 1ère année est intéressant pour cette semaine.
Semaine 1 du lundi 18/09 : Séries numériques.
On testera systématiquement que les élèves sont bien à l’aise avec les manipulations d’équivalents et développement limités (ou asymptotiques) aussi bien pour les séries à termes positifs que pour les séries de signe variable.
-
- Définition de la divergence grossière, et savoir démontrer que si la série de terme général (u_n) converge alors (u_n) tend vers zéro.
-
- Test de d’Alembert avec démonstration.
-
- Sur la comparaison série/intégrale, pour les colleurs le programme officiel a un peu changé il s’agit maintenant plus d’un savoir faire que d’un résultat, savoir justifier le D.A. de H_n à la précision o(1).
-
- Citer précisément le théorème de sommation des relations de comparaison et démontrer un cas.
-
- Citer le Théorème spécial pour certaines séries alternées avec comme conclusion aussi le signe du reste et la majoration du reste.
-
- Savoir mettre en oeuvre le lien suites/séries pour gagner un terme supplémentaire dans le D.A. de H_n. (précision o(1/n)) ou donner l’idée de la preuve de la formule de Stirling et en faire une ou deux étapes.
-
- Révisions sur les suites récurrentes u_{n+1}=f(u_n) ou les suites définies
-
- Familles sommables : savoir bien distinguer entre le cas positifs et le cas à signe variable/complexe. Savoir bien mettre en oeuvre le théorème de sommation terme par paquets sans justification particulière que la positivité dans le cas positif, et au contraire avec justification préalable de la sommabilité dans le cas général.. justement avec le T.S.P. positif.
Planche d’exercice : Planche-S1-2023 Les exercices suivants ont été traités en classes : ex 1 à 10 sauf le 7, ex 13 à 20 sauf le 18, ex 24.
Année 2022-2023 :
Planches de la prépa à l’oral :
Planche-Prepa-Oral-Topo-T1-T2-T3-T4-2023
Planche-Prepa-Oral-R123-réduction-2023
Planche-Prepa-Oral-I1-I2-I3-2023 (Ex. 9 énoncé faux….)
Planche-Prepa-Oral-R0-Algeb-lin-2023
Exercice de la banque CCINP pour les oraux blancs de la semaine du 22 au 26 mai :
Semaine 23 : du lundi 27 mars
Attention : dernière semaine de colles avant les écrits.
Thème : calcul différentiel, révision du programme précédent et les rajouts qui suivent. Par ailleurs, on peut aussi poser des questions de révisions sur les endomorphismes d’un espace euclidien.
Calcul diff. on rajoute :
-
-
-
- Exemple de recherches d’extrema sous-contrainte i.e. pour f_X
-
- théorème dans le cas où X est une hypersurface.
-
- études pratiques dans le cas où on peut paramétrer X
-
- Exemple de recherches d’extrema sous-contrainte i.e. pour f_X
-
- Calcul différentiel d’ordre 2 :
-
- fonctions C^2, C^k, théorème de Schwarz (admis)
-
- Calcul de la dérivée seconde de t->f(a+tx)
-
- Définition de la Hessienne d’une fonction f : U -> R, expliquer pourquoi c’est aussi la jacobienne du gradient de f.
-
- Savoir citer le théorème de Taylor-Young à l’ordre 2 (admis)
-
- C.N. de min. local : point critique a tel que Hf(a) soit symétrique positive (savoir dém).
-
- C.S. de min. local : point critique a tel que Hf(a) soit définie positive. (savoir dém.)
-
- Pratique en dim. 2 avec det(Hf(a)) et Tr(Hf(a)).
-
- Exemple où Hf(a) est dégénérée (0 v.p.) en exercice.
-
- Calcul différentiel d’ordre 2 :
-
- E.D.P. d’ordre 1 et 2 :
-
- savoir justement proprement la « primitivation par rapport à une variable » (convexité par rapport à la variable).
-
- Exemples de résolution par changement de variable.
-
- E.D.P. d’ordre 1 et 2 :
-
- Tous les exercices de la Banque CCINP cité en haut de planche.
-
- Toutes les exercices de la planche de 1 à 18 auront été traités, (peut-être plus), la suite lundi.
-
-
Semaine 22 : du lundi 2O mars.
Thème : calcul différentiel d’ordre 1
Pour cette première semaine, l’objectif est essentiellement de savoir dériver et comprendre les objets présents dans les formules.
La connaissance du cours est essentielle.
-
-
-
- Définition de la dérivée D_v f(a) de la fonction f selon le vecteur v au point a et lien avec les dérivées partielles, cas où f est une norme N et a=0 ?
-
- Savoir qu’il existe des fonctions f telles que D_v f(a) existe pour tout v et qui ne sont pourtant pas continue en a (exemple sur la planche ou en cours).uls
-
- Définition de la différentiabilité : existence d’un D.L. 1, définition du gradient pour les fonctions à valeurs scalaires.
-
- Faire BEAUCOUP de calculs de différentielle (de gradient) avec des D.L. 1 comme ceux de la planche ex 5,6,7.
-
- Déf. des fonctions de classe C^1 : l’application x-> df(x) est continue, mais surtout caractérisation miraculeuse avec les dérivées partielles
-
- Exercices concrets où l’on utilise le point précédent (cf. planche et banque CCINP).
-
- Formule sur la différentielle d’une composée d(f o g)=, deux cas particuliers très utiles si l’espace intermédiaire est R et surtout si l’espace de départ est R (dérivée selon une courbe à savoir par coeur !)
-
- Formule d’intégration le long d’un chemin. Application si df=0 sur un ouvert c.p.a. alors f est constante.
-
- C.N. d’extremum local en un point d’un ouvert : point critique.
-
- Vecteur tangent en un point x à un sous-ensemble X de R^n : définition, exemples, structure de cône de l’ensemble T_x X de ces vecteurs.
-
- Exemple si X est une sphère (savoir refaire) dans R^n.
-
- Cas général d’un point régulier x d’une hypersurface g=0 : T_x X=ker dg(x).
-
-
Banque CCINP pour cette semaine : ex 33,52, 57, 58.
Planche : les exercices exigibles pour lundi sont les ex 1 à 6. Ceux qui correspondent au programme de la semaine sont les ex. 1 à 12.
Semaine 21 : du lundi 13 mars.
Thème principal : fonctions d’une variable réelle à valeurs vectorielles.
Un cours où on apprend quand même quelques petites choses sur la dérivation.. avant le calcul diff qui entrera dans le vif du sujet.
Questions de cours :
-
- Trois définitions équivalentes de la dérivabilité pour f : I -> E (dém. non demandée)
-
- Dérivée de L o f si f est dérivable de I dans E et L est linéaire de E dans F (dém.)
-
- Dérivée de B(f,g) si f (resp. g) sont dérivables de I dans E (resp. dans F) et B : E x F-> G est bilinéaire
-
- Extension du point précédent aux applications n-linéaires (typiquement déterminant).
-
- T.A.F. généralisé à deux fonctions » f'(c) (g(b)-g(a))=g'(c)(f(b)-f(a)) » démonstration vectorielle
-
- Dérivation de t-> exp(tA) par théorème de dérivation terme à terme à valeurs vectorielles
-
- Inégalité triangulaire pour les intégrales de fonctions vectorielles et application à l’I.A.F. dans l’hypothèse C^1.
-
- Formules de Taylor à savoir parfaitement.
La Planche-F1 a été traitée en classe sauf les deux derniers exercices qui le seront lundi. On pourra aussi bien sûr aussi poser des exercices de révisions de première année sur la dérivation et le caractère C^k/D^k des fonctions à valeurs réelles.
Par exemple l’équivalence D^1 <-> admet un D.L. 1, le contre-exemple pour DL_2 n’entraîne pas D^2 ont été revus…, hypothèses de Taylor-Young etc…. et des exemples d’utilisations des formules de Taylor globales seront bienvenus.
Semaine 20 : du lundi 6 mars.
Thème : probabilité (tout !).
Les colles commenceront par un exercice de la Banque CCINP (num. 95 à 112) ce qui, pour les élèves, fait un exercice de proba à travailler par jour pendant les vacances ! On attend de l’efficacité sur ces exercices, qui ne doivent pas, malgré leur longueur, occuper toute la colle.
Tout le programme précédent est encore exigible, et on rajoute les points suivants :
-
- Moments d’ordre r d’une v.a.d. : si X admet un moment d’ordre r alors X admet un moment d’ordre s pour tout s<r.
-
- Calculs des variances des lois usuelles et notamment géométriques et Poisson et cas de loi binomiale comme sommes de v.a. indépendantes
-
- Covariance, application à la variance d’une somme
-
- Deux inégalités de Cauchy-Schwarz dans le contexte probabiliste, l’une avec la Covariance, l’une avec (X,Y)->E(XY)
-
- Série et fonction génératrice : deux définitions. La série génératrice détermine la loi
-
- Fonction génératrice d’une somme de v.a.d. indépendantes application à la loi binomiale, à la somme de deux v.a. de Poisson indépendantes
-
- Calcul de l’espérance (resp. de E(X^2)) en dérivant la fonction génératrice
-
- Inégalité de Markov et de Tchebychev, application méthode du 1er moment ou 2ème moment pour l’étude de P(X=0).
-
- Loi faible des grands nombres: énoncé et démonstration.
La Planche-P2 a été traitée entièrement sauf les exercices 10 et 11;
La Planche-P3 n’a été que peu traitée (ex 8-9 fait en TD) mais est un bon programme de travail pour les vacances, avec des exercices plus orientés sur les problèmes d’écrits.
Semaine 19 : du lundi 13 février.
Thème : probabilités, variables aléatoires discrètes (v.a.d.) (début).
D’abord un chapitre général sur univers-tribu-probabilités, avec quelques questions de cours importantes :
-
- Définir ce qu’est une tribu et exemples simples sur la planche P1.
-
- Qu’est-ce qu’une probabilité ? Démontrer la propriété de continuité croissante.
-
- Démontrer la sous-additivité dénombrable des probabilités.
-
- Donner des propriétés de l’espace probabilisé décrivant le jeu à pile ou face infini (où l’existence de la proba est bien sûr admise) : quelle tribu, comment montrer que la probabilité des singletons est nulle.
-
- Dans l’exemple précédent donner un exemple de système quasi-complet d’événements (qui n’est pas « complet »).
-
- Evénement « A_n est réalisé infiniment souvent » décrit avec inter et union, premier lemme de Borel-Cantelli (exercice Planche-P1)
Chapitre sur les variables aléatoires discrètes:
-
- Définition d’une v.a.d. : savoir vérifier les conditions de la déf. d’une v.a.d : exemple du temps d’attente de succès dans une suite de tirages de Bernoulli (v.a.d. de loi géométrique).
-
- Caractérisation des v.a. géométriques par le caractère « sans-mémoire »
-
- Convergence en loi de v.a. suivant B(n,lambda/n) vers P(lambda)
-
- Indépendance des v.a.d. : déf. équivalentes (dém. non demandée).
-
- Espérance des v.a. géométriques et de Poisson.
-
- Propriété de l’espérance : formule de transfert, linéarité.
-
- Calcul de l’espérance à l’aide des P¨(X>x).
Toute la planche P1 a été traitée. Planche-P1 Après ces QdC plus « théoriques », poser plutôt un exercice « concret » éventuellement de révision de première année comme les exercices de la fin de la planche P.1 et des exercices très simples sur les v.a.d.
La Planche-P2 sera travaillée en début de semaine.
Semaine 18 : du lundi 6 février
Thème : endomorphismes d’un espace euclidien. Révision du programme précédent avec en plus la réduction des autoadjoints. La notion d’autoadjoint positif et défini positif est revenu au programme. Le nouveau cours est bref mais demande beaucoup de précision !
-
- Pour f autoadjoint, définir la forme bilinéaire symétrique associée à f (à savoir (x,y)-> (f(x)|y)), et la forme quadratique associée x->(f(x)|x). Chacun de ces trois objets détermine les autres : pourquoi ? (Formule de polarisation).
-
- Démontrer qu’un endomorphisme autoadjoint admet au moins une valeur propre (en se ramenant à la dim. 2).
-
- En admettant le résultat précédent, démontrer le théorème spectral pour les autoadjoints.
-
- Ecriture de la forme quadratique (mot H.P.) x-> (f(x)|x) dans une b.o.n. de dz. de f, application à une caractérisation de la plus grande et de la plus petite v.p. de f.
-
- Définition des autoadjoints positifs (resp. matrices symétriques positives) et caractérisation par le spectre.
-
- Déf. des autoadjoints définis positifs, caractérisation par le spectre, lien avec la notion de produit scalaire.
-
- Tous les exercices de la planche ont été traités sauf le 17 : Planche-R4
Pour bien ré-ancrer les habitudes liées à la réduction des endomorphismes, bien utiles ici aussi, on pourra revoir et être interrogés sur :
-
- Les exercices 10, 11, 12 de la Planche-R2
-
- Les exercices 4 à 8 et l’ex. 11 de la Planche-R3
-
- Ne pas négliger les calculs concrets : banque CCINP Ex. 68, et toujours des projections orthogonales (décidément mal comprises) CCINP Ex. 81,82, et des calculs de matrices de projections…
Bonne semaine, pendant ce temps, le cours de proba aura, j’espère, le temps d’avancer suffisamment !
Semaine 17 : du lundi 30 janvier
Thème : endomorphismes d’un espace euclidien : début, attention pas de théorème de réduction des endomorphisme autoadjoint (resp. matrices symétrique) cette semaine.
Questions de cours :
-
- Définition de l’adjoint d’un endomorphisme et prop. de l’application u-> u*
-
- Si F est un s.e.v. stable par u, alors l’orthogonal de F est stable par u*
-
- La matrice de u* dans une b.o.n. est la transposée de celle de u
-
- Déf. des isométries vectorielles et caractérisation par la conservation du produit scalaire et par f*=f^{-1}
-
- Caractérisation matricielle des isométries vectorielles et déf. des matrices orthogonale.
-
- Déterminant d’une matrice orthogonale. Donner une matrice de déterminant 1 non orthogonale.
-
- Une matrice orthogonale symétrique est une matrice de symétrie orthogonale.
-
- Thme de classification des matrices dans O_2(R).
-
- Thme de classification de toutes les isométries vectorielles : énoncé, étapes de la preuve.
On l’aura compris les héros de cette semaine sont l’adjoint et les automorphismes orthogonaux (=isométries vectorielles). Ne pas négliger aussi les normes d’opérateur comme vu sur la planche. Les autoadjoints viendront la semaine prochaine. Sur la Planche-R4 les exercices 1 à 8 ont été faits en classe.
Banque CCINP Ex. 78 : intégralement dans le cours.
Semaine 16 : du lundi 23 janvier
Thème : approximation dans les espaces de fonctions : norme infinie, norme euclidienne… et révisions de première année sur les espaces préhilbertiens.
« Question de cours » possibles :
-
- Citer le théorème d’approximation uniforme des fonctions c.p.m. par des fonctions en escalier et savoir l’appliquer pour démontrer le théorème de Riemann-Lebesgue sur un segment (thme H.P. mais à connaître aussi bien pour le résultat que pour la méthode).
-
- Citer le théorème d’approximation de Weierstrass et montrer qu’on ne peut pas espérer une CVU sur R entier car si une suite de polynômes CVU sur R entier….
-
- Savoir refaire la Q3 et le « lemme de Dirac » du TD : TD-Chap-T4-convolution-Weierstrass
-
- Espaces préhilbertiens : montrer que le produit scalaire (p.s.) est une forme bilinéaire continue.
-
- Exercice : lemme des moments :

- Exercice : lemme des moments :
-
- Savoir montrer:

- Savoir montrer:
-
- Donner des exemples de sev stricts denses dans deux espaces préhilbertiens différents.
-
- Calcul pratique de l’orthogonalisation de Gram-Schmidt : par exemple de (1,X,X^2) pour un p.s. intégrale.
-
- Formule du projeté orthogonal sur F si on a une base orthogonale de F : calculs concrets.
-
- Théorème de meilleure approximation par le projeté orthogonal, dém (Pythagore)
-
- Applications concretes de ce théorème de meilleure approximation pour la minimisation d’une intégrale…. et dans le cadre matriciel cf. Banque CCINP ex. 80, 81 et 82.
-
- Exercice de la Planche-T4: seuls les ex. 4,5,6,7 sont « exigibles ».
Semaine 15: du lundi 16 janvier
Thème : compacité, connexité par arcs et révisions de topologies des e.v.n.
On restera d’abord proche du cours (QdC) et des révisions (avec les exercices de la banque CCINP ci-dessous).
Pour les plus à l’aise, on pourra s’essayer à des exercices y compris reliés à l’algèbre linéaire… (revoir dans ce cas les exercices de la planche T2 sur la topo. matricielle).
Questions de cours possibles :
-
- Montrer le théorème de Bolzano-Weierstrass (B.W.) dans C en admettant le résultat dans R.
-
- Montrer qu’un compact de E est fermé borné dans E.
-
- Montrer qu’un fermé dans un compact est compact.
-
- Donner un exemple de fermé borné non compact (aussi exercice 13 banque CCINP sur ce sujet mais penser au cadre préhilbertien aussi).
-
- Montrer que l’image continue d’un compact est compacte.
-
- Théorème des bornes atteintes pour les fonctions d’un compact dans R.
-
- B.W. en dim. finie : les compact d’un e.v.n. de dim. finie sont les fermés bornés.
-
- Montrer qu’un s.e.v. de dim. finie est toujours fermé dans tout e.v.n.
-
- Parties connexes par arc (c.p.a.) de R?
-
- Image continue d’un c.p.a.
-
- Connexité par arc pour montrer qu’une fonction d’un intervalle I de R dans R continue injective est strictement monotone.
Les exercices sur la compacité de la Planche-T3, ont tous été traités mais certains sont difficiles.
Par contre l’exercice sur les fonctions coercives doit être bien compris et adapté à des situations simples, y compris éventuellement en variable réelle.
Révisions sur les e.v.n. : exercices sur les e.v.n. de la banque CCINP. Ex 13, 34, 35, 36, 37, 38, 44, 45.
Planches : Planche-T3, Planche-T2
Semaine 14 : du lundi 9 janvier
Structure de la colle : une question de cours qui peut être très rapide sur la dénombrabilité et un exercice plus important sur les intégrales à paramètres.
Cours et planche sur la dénombrabilité :
-
- Montrer que tout ensemble infini contient un sous-ensemble dnb,
-
- Montrer que toute partie de N est finie ou dnb, et donc aussi toute partie d’un ensemble dnb est dnb
-
- Montrer que NxN est dnb et pourquoi le produit de deux ensembles dnb est dnb
-
- Pourquoi Q est-il dnb?
-
- Une union dnb d’ensembles dnb est dnb
-
- Un produit fini d’ensemble dnb est dnb (réc. immédiate non demandée) contre-exemple pour un produit infini, construction diagonale de Cantor.
-
- Déf du développement décimal ou dyadique propre de R, application à la non dnb.
Un exercice « inconnu » sur les intégrales à paramètres :
voici les exercices des deux planches qui ont tous été traités Planche-I3 Planche-I3-P0 (sauf l’ex. sur la convolution qui est quasi immédiat).
Semaine 13 : du mardi 3 janvier
Révisions générales d’analyse sur séries numériques/ séries de fonctions/ séries entières, Intégrales généralisées/ Suites d’intégrales/Intégrales à paramètres autrement dit chapitres S1,S2,S3,I1,I2,I3.
On pourra commencer les colles par un exercice d’une des six planches de ces chapitres ou un exercice de la banche CCINP.
Planche-I1Planche-I2Planche-I3
Banque CCINP Ex 1 à 30: 30 exercices pour les vacances : deux par jour dont un au petit-déjeuner…
Les sujets à approfondir après cela sont les plus récents :
-
- séries entières (quasiment toute la planche à été traitée, les élèves devraient donc bénéficier de plus de recul sur le sujet) : privilégier déjà les aspects calculatoires quasi « algébriques » (calculs de D.S.E., E.D., D.E.S) cf. ex. 8 à 15 de la planche S3, et pour les plus avancé.e.s. on pourra aborder les questions d’analyse plus fine (ex. 16 et suivants pl. S3).
-
- intégrales à paramètres : là rester simple car la pratique doit encore s’affermir, seul les 5 premiers exercices de la planche I3 sont exigibles (le 4 et 5 devant être finis pendant les vacances). Ces intégrales à paramètres reviendront sûrement pour les colles de la semaine suivante.
Semaine 12 : du lundi 12 décembre :
Série entières : Tout le cours a été fait mais nous n’avons vraiment travaillé en exercice que des déterminations de rayon de convergence. Donc on pourra commencer les colles, outre les questions de cours, par ces questions de détermination de rayon de convergence.
Dans le cours :
-
- Lemme d’Abel, dém. et (prop.-)-définition du rayon de convergence.
-
- Lemme de d’Alembert pour les séries entières : dém. avec le lemme pour les séries numériques.
-
- Prop. ;

ont même rayon de convergence (au programme officiel pour alpha=1, démontrée, pour pas plus cher pour alpha qcq donc je pense qu’on peut s’en servir pour alpha quelconque).
- Prop. ;
-
- Rayon de convergence d’une somme et produit de Cauchy.
-
- Continuité de la fonction somme dans le disque ouvert de convergence.
-
- Pour ce qui la variable est réelle :
-
- Théorème de continuité radiale d’Abel : énoncé seulement, mais savoir l’appliquer sur des exemples (série harmonique alternée…)
-
- Dérivation terme à terme automatique pour les sommes de séries entières
-
- unicité des coefficients du D.S.E., série de Taylor, rigidité des fonctions D.S.E.
-
- Pour ce qui la variable est réelle :
-
- DSE des fonctions usuelles : preuve de la formule du binôme (1+x)^a pour a réel avec la méthode de l’E.D.
-
- Banque CCINP cf haut de la planche.
Planche : les ex 1 à 5 ont été traités en classes. Pour les étudiants, on traitera au moins jusqu’au 10 lundi. Planche-S3
Pour les 5/2 (voire les 3/2) en avance, qui auraient fait tous les DM etc.. la planche S3 ci-jointe a une page 3 🙂 que je vous imprimerai lundi.
Semaine 11 : du lundi 5 décembre :
Suites d’intégrales : convergence dominée et intégration terme à terme.
D’abord révision du programme précédent, notamment toujours soigner les justifications d’intégrabilité ou de convergence de l’intégrale.
Pour les colleurs : une nouveauté cette année, le théorème d’intégration terme à terme dans le cas des intégrales de fonctions POSITIVES, avec hypothèses simplifiées (Beppo-Levi), qui simplifie donc la rédaction.
« Questions de cours » possibles :
-
- Exercice : Montrer que si I est BORNE et (f_n) est une suite de fonctions L^1 sur I qui CVU sur I vers une fonction f c.p.m. alors f est L^1 et la suite des intégrales des (f_n) CV vers celle de f (généralisation du théorème connu sur les segments au cas borné).
-
- Donner un exemple où le résultat précédent n’est PAS vrai avec I un intervalle non borné. Expliquer le problème.
-
- Application du T.C.D. avec des « bornes variables »:

- Application du T.C.D. avec des « bornes variables »:
-
- Etude des intégrales de Wallis : détermination d’un équivalent
-
- Méthode l’I.P.P fait sortir le terme prépondérant pour un équivalent de :

- Méthode l’I.P.P fait sortir le terme prépondérant pour un équivalent de :
-
- Le même équivalent par la méthode de changement de variable.
-
- Intégration terme à terme d’une CVU sur un segment :
-
-
-
- application aux séries entières : montrer que :

- application aux séries entières : montrer que :
-
- applications aux séries trigonométriques (très important car H.P. mais dans tellement de sujets d’écrits de maths et dans le cours de physique)

- applications aux séries trigonométriques (très important car H.P. mais dans tellement de sujets d’écrits de maths et dans le cours de physique)
-
-
-
- Intégration terme à terme d’une CVU sur un segment :
-
- Théorème d’intégration terme à terme de Lebesgue en deux théorèmes : cas positif et cas signe quelconque. Exemple du second cas :
-
- Ce qu’on fait quand le théorème ne s’applique pas. Exemple :

- Ce qu’on fait quand le théorème ne s’applique pas. Exemple :
-
- Planche I2 : les exercices 1 à 4 ainsi que le 6 ont été faits en classe cette semaine. D’autres seront corrigés lundi. Planche-I2
Semaine 10 : du lundi 28 novembre :
Intégrales (des fonctions continues par morceaux) sur un intervalle quelconque :
Notion d’intégrale convergente/divergente
Notion d’intégrale absolument convergente et notion associée de fonction intégrable.
On commencera la colle par une étude d’intégrabilité de fonction à l’aide des théorèmes de comparaison : o, O, équivalents, majorations de l’intégrande.
Pour les étudiants : majoration toujours de la valeur absolue de l’intégrande !
Exemple d’intégrale semi-convergente : cas de sin(t)/t^a avec a dans ]0,1], expliquer.
Théorème d’intégration des relations de comparaison, et méthode d’I.P.P. pour trouver des équivalents.
Révisions intensive des méthodes de CALCUL d’intégrales, tableau de primitive à bien connnaître, méthodes pour les fonctions rationnelles, ou trigonométriques …
Pour les colleurs : pas de théorème de Lebesgue cette semaine .
Planche : Planche-I1 : seulement les ex1 et 2 ont été traités en classe pour l’instant, mais ils donnent bien le ton de style d’exercice par lesquels les colles pourront commencer.
Bonne semaine à tous.
rb
Semaine 9 : du lundi 21 novembre :
Suites et séries de fonctions :
Convergence simple, uniforme, uniforme sur tout segment, normale et théorème de régularités des limites C^0,C^1, C^p (avec valeur des dérivées..) , intégration sur un segment, interversion des limites, déclinés en version suites et séries.
Connaissance précise des théorèmes et application efficace des méthodes !
-
- On pourra demander un énoncé précis de théorème en début de colle.
-
- Démonstration du théorème de continuité d’une limite uniforme d’une suite de fonction continue.
-
- Démonstration du théorème d’intégration d’une limite uniforme sur un segment.
-
- Le théorème d’interversion des limites a été admis.
-
- Exemple de la fonction zeta réelle : caractère C infini, limite à l’infini
-
- Exemple de la suite de fonctions x-> n sin(x/n) méthode pour la CVU sur les segments et pourquoi on n’ a pas CVU sur R
-
- Méthode d’encadrement par des intégrales pour un équivalent quand x->0 de la somme des exp(-x sqrt(n)).
Exercice de la Planche-S2 : les ex 1 à 6 a) ont été traités en classe, donnent un bon échantillon des méthodes de base.
Semaine 8 : du lundi 14 novembre :
Topologie : en plus du programme précédent :
-
- ouverts et fermés relatifs : définition d’un ouvert de A, d’un fermé de A, caractérisations (démo non exigibles).
-
- déf. de la continuité en un point et caractérisation avec les voisinages avec démonstration.
-
- caractérisation globale de la continuité : f est continue de A dans F ssi la préimage d’un ouvert de F est un ouvert de A (resp. d’un fermé) : démo. non exigible, par contre : savoir bien la mettre en oeuvre pour montrer que tel ensemble est ouvert ou fermé.
-
- Savoir justifier qu’une application donnée est continue : théorème d’opération, continuité des formes coordonnées, et donc des fonctions polynomiales ou rationnelles.
-
- Une fonction à valeur dans K^n est continue ssi ses composantes le sont (dém).
-
- Justifier la continuité de l’application A -> A¨^{-1} sur GL¨_n(K).
-
- Définir ce qu’est un homéomorphisme et pourquoi l’image d’un ouvert par un homéo est un ouvert.
-
- Montrer que x-> d(x,A) est 1 -lipschitzienne.
-
- Caractérisation de la continuité des applications linéaires : 5 conditions, avec dém.
-
- Définition de la norme d’opérateur (trois formules équivalentes).
-
- Calcul pratique de cette norme sur des exemples (cf. ex CCINP 37).
La planche T2 a gagné un verso : Planche-T2 On pourra poser comme exercice « connu » un exercice de topologie matricielle ex. 7 à 10 ou l’ex. 16. Les autres seront corrigés en début de semaine.
Banque CCINP : Ex 35, 36, et une des trois questions de l’ex. 38.
Semaine 7 : du lundi 7 novembre :
Début de la topologie : normes, suites d’un e.v.n. (séries en dim. finie), mais aussi ouverts, fermés, intérieur, adhérence.
On pourra commencer la colle par une question de cours dans cette liste :
-
- Montrer que la norme infinie sur l’espace des fonctions bornées est bien une norme (on sera très précis pour les arguments sur les sup.)
-
- définir ce qu’est une norme d’algèbre, en donner des exemples dans l’algèbre des fonctions bornées, et dans l’algèbre des matrices carrées.
-
- Théorème pour les produits de limites de suites dans une algèbre normée.
-
- Justifier que dans un evn de dim. finie, la convergence d’une suite se vérifie « coordonnée par coordonnée ».
-
- Justifier que dans un evn de dim. finie, une série absolument convergente est convergente.
-
- Justification de l’existence de l’exp. matricielle.
-
- Montrer qu’une boule ouverte est ouverte, une boule fermée est fermée.
-
- Montrer que l’intérieur d’une boule fermée est la boule ouverte
-
- Montrer que l’adhérence d’une boule ouverte est la boule fermée
-
- Montrer qu’un s.e.v. strict est d’intérieur vide.
-
- Caractérisation séquentielle des points adhérence.
-
- Lien complémentaire de l’adhérence/intérieur du complémentaire..
Voilà ça fait pas mal de cours pour ces vacances !!
Pour les planches : Planche-T1 tout a été fait sauf les ex. 8 et 10.
Planche-T2 : là encore des exercices seront faits pendant les vacances je comte sur vous étudiants et étudiantes. Lien vers les solutions.
Semaine 6 : du lundi 17 octobre :
Dernière semaine sur la réduction et l’algèbre linéaire, cette fois, on a du recul ! En plus des programmes précédents ;
-
- Trigonalisation : démonstration par récurrence du théorème qui dit qu’un endomorphisme ayant polynôme annulateur scindé est tz.
-
- Caractérisations des nilpotents en termes de v.p. dans C et autre (des équivalences très simples !)
-
- Les élèves doivent savoir conduire la trigonalisation concrète d’une matrice 2x 2, et d’une matrice 3 x 3 et même la réduction sous forme de Jordan dans ces cas particuliers (deux cas en dim. 3…)
-
- Théorème de décomposition sur les s.e.v. caractéristiques : donne une tz précisée.
Sur la planche R3 : PlancheR3 les ex 1,2 et 4 à 10 ont été traités en classes et peuvent être posés en « question de cours ». L’ex. 3 est une synthèses des choses dites en cours et dans les exercices 1, 2 , 10… donc est aussi « connu ».
On peut encore poser des exercices de la banque CCINP sur la réductions (ceux marqués les semaines précédentes).
Enfin, pour les colleurs, si vous en avez assez de l’algèbre linéaire, vous pouvez poser un exercice sur les normes (vérifier que ceci est ou n’est pas une norme) : une question de cours importante sur les manipulations de sup. : montrer que la norme infinie sur l’espace des fonctions bornées est bien une norme.
Semaine 5: du lundi 10 octobre :
Cette semaine, tout sur la diagonalisation, les polynômes caractéristiques, Cayley-Hamilton et bien sûr tout le programme précédent .. Pas de trigonalisation encore cette semaine, merci.
Nous avons fait beaucoup d’exercices : tous ceux de la Planche-R2
ont été travaillés et corrigés en classe sauf l’ex. 4 et 15 et peuvent être reposés en colle.
Pour les « questions de cours » : penser aussi aux exercices de la banque CCINP marqués en début de planche R2 et questions suivantes :
-
- Calcul du polynôme caractéristique d’une matrice compagnon.
-
- Justifier que la multiplicité géométrique d’une v.p. est inférieure ou égale à sa multiplicité algébrique.
Pour les étudiants : il est inadmissible que les questions de cours/exercices de planche ne soient pas sus en colle.
Pour les examinateurs : merci de sanctionner très nettement ces cas là au moins par une note en dessous de la moyenne.
Semaine 4: du lundi 3 octobre :
Début de l’étude de la diagonalisation.
-
- Révisions sur les formules de changement de base, pour les vecteurs et les applications linéaires.
-
- valeurs propres, vecteurs propres : recherche à l’aide de l’équation aux valeurs propres sur des exemples en dim. finie ou infinie
-
- caractérisation : lambda v.p. d’une matrice A ssi det(A-lambda I)=0, application aux v.p. des matrices triangulaires
-
- Démonstration(s) du fait que des s.e.v. propres associés à des v.p. distinctes sont en somme directe
-
- Si lambda est v.p. d’un endomorphisme L et si P est un polynôme alors P(lambda) est v.p. de P(L). Conséquence si P est annulateur de L
-
- Les v.p. de L sont exactement les racines du polynôme minimal de L.
-
- Théorème de décomposition des noyaux : démonstration pour un produit de deux polynômes. On sera spécialement attentif à la bonne compréhension des objets manipulés (P(L)(x) et pas P(L(x)) et (PQ)(L)=P(L)o Q(L) etc…)
-
- Savoir donner le maximum de caractérisation d’une matrice diagonalisable et la C.S. « n v.p. distinctes en dim. n « .
Pour les exercices : on a traité les exercices 1 à 6 et 9 et 10 de la planche PlancheR1 . Le reste sera traité en tout début de semaine. Ne pas oublier les exercices de la Banque CCINP en haut de planche.
Je n’ai pas encore prononcé le mot « polynôme caractéristique » ce n’est pas le héros de cette semaine même si on l’a rencontré au détour du chemin (cf. plus haut avec les matrices triangulaires).
Semaine 3 : du lundi 26 septembre
L’essentiel : toujours des révisions d’algèbre linéaire de première année et un peu d’arithmétique des polynômes et de polynômes appliqués aux matrices.
Beaucoup de ‘questions de cours’ possibles :
-
- Toute la Planche-R0 a été faite en classe. On pourra demander de retraiter un exercice de cette planche en question de cours.
-
- On pourra aussi vérifier la connaissance des théorèmes de première année : par exemple, les théorèmes sur le rang (notion dont je me suis aperçu qu’elle était mal connue) !
-
-
-
- caractérisation du rang avec les matrices extraites,
-
- le fait que toute matrice de rang r soit équivalente à une matrice ‘J_r’,
-
- ou encore qu’une matrice et sa transposée ont le même rang.
-
-
-
- On pourra aussi vérifier la connaissance des théorèmes de première année : par exemple, les théorèmes sur le rang (notion dont je me suis aperçu qu’elle était mal connue) !
Les étudiants devront donner au moins une idée de démonstration de ces résultats.
-
- Le cours de la semaine : Arithmétique/Polynôme et Polynômes appliqués à des matrices.
Question sur cours :-
- savoir définir un idéal et savoir pourquoi les idéaux de K[X] sont principaux,
-
- savoir la prop-définition du PGCD et PPCM avec les idéaux et pourquoi cette déf entraîne immédiatement que tout multiple commun est un multiple du PPCM et tout diviseur commun est un diviseur du PGCD
-
- Savoir la caractérisation des éléments inversibles dans Z/nZ.
-
- Propriété définition du polynôme minimal d’une matrice, d’un endomorphisme.
-
- Connaitre le polynôme minimal d’une matrice diagonale.
-
- Savoir pourquoi l’inverse d’une matrice A est un polynôme en A.
-
- Savoir pourquoi P(A) inversible dans M_n(K) ssi P et mu_A sont premiers entre eux.
-
- Le cours de la semaine : Arithmétique/Polynôme et Polynômes appliqués à des matrices.
On pourra aussi poser un exercice de révision sur les polynômes (divisibilité,polynôme irréductibles). Dans la planche suivante seuls les exercices 1 à 3 ont été faits en classe à ce stade mais les exercices 4 à 7 sont tout à fait dans l’esprit du programme de colle et seront corrigés lundi : Planche-A1
Semaine 2 du lundi 19 septembre : séries et révisions d’algèbres linéaire.
Encore un peu de séries : toute la planche a été travaillée en classe sauf les exercices 19 et 20 donc les étudiants ont beaucoup plus d’expérience. Ne pas hésiter aussi à tester un exercice avec une famille sommable. PlancheS1
Révisions et compléments d’algèbre linéaire : un peu de cours sur sommes directes de plusieurs s.e.v, matrices par blocs, déterminants par blocs. Le cours complet est ici : Semaine2-R0
Et nous avons fait les 8 premiers exercices de la planche Planche-R0 Pour les étudiants, bien revoir les déterminants même si nous ne corrigerons les exercices sur les déterminants qu’en début de semaine. N’oubliez pas aussi les exercices de la banque CCINP marqués en haut de la planche R0.
———————————————————————————————————————
Semaine 1 du lundi 12 septembre : séries numériques.
Cette semaine nous avons traité en classe les exercices 1 à 8 de la planche S1 ci-dessous ainsi que l’exercice 11 a). Ces exercices, ainsi que les exercices de la banque CCINP marqués en haut de la planche, peuvent être posés en premier exercice de la colle pour voir si les méthodes ont bien été retenues.
On testera en tous cas systématiquement que les élèves sont bien à l’aise avec les manipulations d’équivalents et D.L. aussi bien pour les séries à termes positifs (variantes d’ex. 2, 3,4) que de D.L. encore pour les séries de signe variable (variantes de l’ex. 11).
Planche S1 : PlancheS1
L’ensemble du cours a été traité, on peut aussi poser en question de cours (alternative à un des exercices de la planche) :
-
- Définition de la divergence grossière, et savoir démontrer que si la série de terme général (u_n) converge alors (u_n) tend vers zéro.
-
- Test de d’Alembert avec démonstration.
-
- Sur la comparaison série/intégrale, pour les colleurs le programme officiel a un peu changé il s’agit maintenant plus d’un savoir faire que d’un résultat, savoir justifier le D.A. de H_n à la précision o(1).
-
- Citer précisément le théorème de sommation des relations de comparaison et démontrer un cas.
-
- Citer le Théorème spécial pour certaines séries alternées avec comme conclusion aussi le signe du reste et la majoration du reste.
-
- Savoir mettre en oeuvre le lien suites/séries pour gagner un terme supplémentaire dans le D.A. de H_n. (précision o(1/n)).
PAS de familles sommables cette semaine.
Semaine 4: du lundi 3 octobre :
Début de l’étude de la diagonalisation.
-
- Révisions sur les formules de changement de base, pour les vecteurs et les applications linéaires.
-
- valeurs propres, vecteurs propres : recherche à l’aide de l’équation aux valeurs propres sur des exemples en dim. finie ou infinie
-
- caractérisation : lambda v.p. d’une matrice A ssi det(A-lambda I)=0, application aux v.p. des matrices triangulaires
-
- Démonstration(s) du fait que des s.e.v. propres associés à des v.p. distinctes sont en somme directe
-
- Si lambda est v.p. d’un endomorphisme L et si P est un polynôme alors P(lambda) est v.p. de P(L). Conséquence si P est annulateur de L
-
- Les v.p. de L sont exactement les racines du polynôme minimal de L.
-
- Théorème de décomposition des noyaux : démonstration pour un produit de deux polynômes. On sera spécialement attentif à la bonne compréhension des objets manipulés (P(L)(x) et pas P(L(x)) et (PQ)(L)=P(L)o Q(L) etc…)
-
- Savoir donner le maximum de caractérisation d’une matrice diagonalisable et la C.S. « n v.p. distinctes en dim. n « .
Pour les exercices : on a traité les exercices 1 à 6 et 9 et 10 de la planche PlancheR1 . Le reste sera traité en tout début de semaine. Ne pas oublier les exercices de la Banque CCINP en haut de planche.
Je n’ai pas encore prononcé le mot « polynôme caractéristique » ce n’est pas le héros de cette semaine même si on l’a rencontré au détour du chemin (cf. plus haut avec les matrices triangulaires).
Semaine 3 : du lundi 26 septembre
L’essentiel : toujours des révisions d’algèbre linéaire de première année et un peu d’arithmétique des polynômes et de polynômes appliqués aux matrices.
Beaucoup de ‘questions de cours’ possibles :
-
- Toute la Planche-R0 a été faite en classe. On pourra demander de retraiter un exercice de cette planche en question de cours.
-
- On pourra aussi vérifier la connaissance des théorèmes de première année : par exemple, les théorèmes sur le rang (notion dont je me suis aperçu qu’elle était mal connue) !
-
-
-
- caractérisation du rang avec les matrices extraites,
-
- le fait que toute matrice de rang r soit équivalente à une matrice ‘J_r’,
-
- ou encore qu’une matrice et sa transposée ont le même rang.
-
-
-
- On pourra aussi vérifier la connaissance des théorèmes de première année : par exemple, les théorèmes sur le rang (notion dont je me suis aperçu qu’elle était mal connue) !
Les étudiants devront donner au moins une idée de démonstration de ces résultats.
-
- Le cours de la semaine : Arithmétique/Polynôme et Polynômes appliqués à des matrices.
Question sur cours :-
- savoir définir un idéal et savoir pourquoi les idéaux de K[X] sont principaux,
-
- savoir la prop-définition du PGCD et PPCM avec les idéaux et pourquoi cette déf entraîne immédiatement que tout multiple commun est un multiple du PPCM et tout diviseur commun est un diviseur du PGCD
-
- Savoir la caractérisation des éléments inversibles dans Z/nZ.
-
- Propriété définition du polynôme minimal d’une matrice, d’un endomorphisme.
-
- Connaitre le polynôme minimal d’une matrice diagonale.
-
- Savoir pourquoi l’inverse d’une matrice A est un polynôme en A.
-
- Savoir pourquoi P(A) inversible dans M_n(K) ssi P et mu_A sont premiers entre eux.
-
- Le cours de la semaine : Arithmétique/Polynôme et Polynômes appliqués à des matrices.
On pourra aussi poser un exercice de révision sur les polynômes (divisibilité,polynôme irréductibles). Dans la planche suivante seuls les exercices 1 à 3 ont été faits en classe à ce stade mais les exercices 4 à 7 sont tout à fait dans l’esprit du programme de colle et seront corrigés lundi : Planche-A1
Semaine 2 du lundi 19 septembre : séries et révisions d’algèbres linéaire.
Encore un peu de séries : toute la planche a été travaillée en classe sauf les exercices 19 et 20 donc les étudiants ont beaucoup plus d’expérience. Ne pas hésiter aussi à tester un exercice avec une famille sommable. PlancheS1
Révisions et compléments d’algèbre linéaire : un peu de cours sur sommes directes de plusieurs s.e.v, matrices par blocs, déterminants par blocs. Le cours complet est ici : Semaine2-R0
Et nous avons fait les 8 premiers exercices de la planche Planche-R0 Pour les étudiants, bien revoir les déterminants même si nous ne corrigerons les exercices sur les déterminants qu’en début de semaine. N’oubliez pas aussi les exercices de la banque CCINP marqués en haut de la planche R0.
———————————————————————————————————————
Semaine 1 du lundi 12 septembre : séries numériques.
Cette semaine nous avons traité en classe les exercices 1 à 8 de la planche S1 ci-dessous ainsi que l’exercice 11 a). Ces exercices, ainsi que les exercices de la banque CCINP marqués en haut de la planche, peuvent être posés en premier exercice de la colle pour voir si les méthodes ont bien été retenues.
On testera en tous cas systématiquement que les élèves sont bien à l’aise avec les manipulations d’équivalents et D.L. aussi bien pour les séries à termes positifs (variantes d’ex. 2, 3,4) que de D.L. encore pour les séries de signe variable (variantes de l’ex. 11).
Planche S1 : PlancheS1
L’ensemble du cours a été traité, on peut aussi poser en question de cours (alternative à un des exercices de la planche) :
-
- Définition de la divergence grossière, et savoir démontrer que si la série de terme général (u_n) converge alors (u_n) tend vers zéro.
-
- Test de d’Alembert avec démonstration.
-
- Sur la comparaison série/intégrale, pour les colleurs le programme officiel a un peu changé il s’agit maintenant plus d’un savoir faire que d’un résultat, savoir justifier le D.A. de H_n à la précision o(1).
-
- Citer précisément le théorème de sommation des relations de comparaison et démontrer un cas.
-
- Citer le Théorème spécial pour certaines séries alternées avec comme conclusion aussi le signe du reste et la majoration du reste.
-
- Savoir mettre en oeuvre le lien suites/séries pour gagner un terme supplémentaire dans le D.A. de H_n. (précision o(1/n)).
PAS de familles sommables cette semaine.
Semaine 8 : du lundi 14 novembre :
Topologie : en plus du programme précédent :
-
- ouverts et fermés relatifs : définition d’un ouvert de A, d’un fermé de A, caractérisations (démo non exigibles).
-
- déf. de la continuité en un point et caractérisation avec les voisinages avec démonstration.
-
- caractérisation globale de la continuité : f est continue de A dans F ssi la préimage d’un ouvert de F est un ouvert de A (resp. d’un fermé) : démo. non exigible, par contre : savoir bien la mettre en oeuvre pour montrer que tel ensemble est ouvert ou fermé.
-
- Savoir justifier qu’une application donnée est continue : théorème d’opération, continuité des formes coordonnées, et donc des fonctions polynomiales ou rationnelles.
-
- Une fonction à valeur dans K^n est continue ssi ses composantes le sont (dém).
-
- Justifier la continuité de l’application A -> A¨^{-1} sur GL¨_n(K).
-
- Définir ce qu’est un homéomorphisme et pourquoi l’image d’un ouvert par un homéo est un ouvert.
-
- Montrer que x-> d(x,A) est 1 -lipschitzienne.
-
- Caractérisation de la continuité des applications linéaires : 5 conditions, avec dém.
-
- Définition de la norme d’opérateur (trois formules équivalentes).
-
- Calcul pratique de cette norme sur des exemples (cf. ex CCINP 37).
La planche T2 a gagné un verso : Planche-T2 On pourra poser comme exercice « connu » un exercice de topologie matricielle ex. 7 à 10 ou l’ex. 16. Les autres seront corrigés en début de semaine.
Banque CCINP : Ex 35, 36, et une des trois questions de l’ex. 38.
Semaine 7 : du lundi 7 novembre :
Début de la topologie : normes, suites d’un e.v.n. (séries en dim. finie), mais aussi ouverts, fermés, intérieur, adhérence.
On pourra commencer la colle par une question de cours dans cette liste :
-
- Montrer que la norme infinie sur l’espace des fonctions bornées est bien une norme (on sera très précis pour les arguments sur les sup.)
-
- définir ce qu’est une norme d’algèbre, en donner des exemples dans l’algèbre des fonctions bornées, et dans l’algèbre des matrices carrées.
-
- Théorème pour les produits de limites de suites dans une algèbre normée.
-
- Justifier que dans un evn de dim. finie, la convergence d’une suite se vérifie « coordonnée par coordonnée ».
-
- Justifier que dans un evn de dim. finie, une série absolument convergente est convergente.
-
- Justification de l’existence de l’exp. matricielle.
-
- Montrer qu’une boule ouverte est ouverte, une boule fermée est fermée.
-
- Montrer que l’intérieur d’une boule fermée est la boule ouverte
-
- Montrer que l’adhérence d’une boule ouverte est la boule fermée
-
- Montrer qu’un s.e.v. strict est d’intérieur vide.
-
- Caractérisation séquentielle des points adhérence.
-
- Lien complémentaire de l’adhérence/intérieur du complémentaire..
Voilà ça fait pas mal de cours pour ces vacances !!
Pour les planches : Planche-T1 tout a été fait sauf les ex. 8 et 10.
Planche-T2 : là encore des exercices seront faits pendant les vacances je comte sur vous étudiants et étudiantes. Lien vers les solutions.
Semaine 6 : du lundi 17 octobre :
Dernière semaine sur la réduction et l’algèbre linéaire, cette fois, on a du recul ! En plus des programmes précédents ;
-
- Trigonalisation : démonstration par récurrence du théorème qui dit qu’un endomorphisme ayant polynôme annulateur scindé est tz.
-
- Caractérisations des nilpotents en termes de v.p. dans C et autre (des équivalences très simples !)
-
- Les élèves doivent savoir conduire la trigonalisation concrète d’une matrice 2x 2, et d’une matrice 3 x 3 et même la réduction sous forme de Jordan dans ces cas particuliers (deux cas en dim. 3…)
-
- Théorème de décomposition sur les s.e.v. caractéristiques : donne une tz précisée.
Sur la planche R3 : PlancheR3 les ex 1,2 et 4 à 10 ont été traités en classes et peuvent être posés en « question de cours ». L’ex. 3 est une synthèses des choses dites en cours et dans les exercices 1, 2 , 10… donc est aussi « connu ».
On peut encore poser des exercices de la banque CCINP sur la réductions (ceux marqués les semaines précédentes).
Enfin, pour les colleurs, si vous en avez assez de l’algèbre linéaire, vous pouvez poser un exercice sur les normes (vérifier que ceci est ou n’est pas une norme) : une question de cours importante sur les manipulations de sup. : montrer que la norme infinie sur l’espace des fonctions bornées est bien une norme.
Semaine 5: du lundi 10 octobre :
Cette semaine, tout sur la diagonalisation, les polynômes caractéristiques, Cayley-Hamilton et bien sûr tout le programme précédent .. Pas de trigonalisation encore cette semaine, merci.
Nous avons fait beaucoup d’exercices : tous ceux de la Planche-R2
ont été travaillés et corrigés en classe sauf l’ex. 4 et 15 et peuvent être reposés en colle.
Pour les « questions de cours » : penser aussi aux exercices de la banque CCINP marqués en début de planche R2 et questions suivantes :
-
- Calcul du polynôme caractéristique d’une matrice compagnon.
-
- Justifier que la multiplicité géométrique d’une v.p. est inférieure ou égale à sa multiplicité algébrique.
Pour les étudiants : il est inadmissible que les questions de cours/exercices de planche ne soient pas sus en colle.
Pour les examinateurs : merci de sanctionner très nettement ces cas là au moins par une note en dessous de la moyenne.
Semaine 4: du lundi 3 octobre :
Début de l’étude de la diagonalisation.
-
- Révisions sur les formules de changement de base, pour les vecteurs et les applications linéaires.
-
- valeurs propres, vecteurs propres : recherche à l’aide de l’équation aux valeurs propres sur des exemples en dim. finie ou infinie
-
- caractérisation : lambda v.p. d’une matrice A ssi det(A-lambda I)=0, application aux v.p. des matrices triangulaires
-
- Démonstration(s) du fait que des s.e.v. propres associés à des v.p. distinctes sont en somme directe
-
- Si lambda est v.p. d’un endomorphisme L et si P est un polynôme alors P(lambda) est v.p. de P(L). Conséquence si P est annulateur de L
-
- Les v.p. de L sont exactement les racines du polynôme minimal de L.
-
- Théorème de décomposition des noyaux : démonstration pour un produit de deux polynômes. On sera spécialement attentif à la bonne compréhension des objets manipulés (P(L)(x) et pas P(L(x)) et (PQ)(L)=P(L)o Q(L) etc…)
-
- Savoir donner le maximum de caractérisation d’une matrice diagonalisable et la C.S. « n v.p. distinctes en dim. n « .
Pour les exercices : on a traité les exercices 1 à 6 et 9 et 10 de la planche PlancheR1 . Le reste sera traité en tout début de semaine. Ne pas oublier les exercices de la Banque CCINP en haut de planche.
Je n’ai pas encore prononcé le mot « polynôme caractéristique » ce n’est pas le héros de cette semaine même si on l’a rencontré au détour du chemin (cf. plus haut avec les matrices triangulaires).
Semaine 3 : du lundi 26 septembre
L’essentiel : toujours des révisions d’algèbre linéaire de première année et un peu d’arithmétique des polynômes et de polynômes appliqués aux matrices.
Beaucoup de ‘questions de cours’ possibles :
-
- Toute la Planche-R0 a été faite en classe. On pourra demander de retraiter un exercice de cette planche en question de cours.
-
- On pourra aussi vérifier la connaissance des théorèmes de première année : par exemple, les théorèmes sur le rang (notion dont je me suis aperçu qu’elle était mal connue) !
-
-
-
- caractérisation du rang avec les matrices extraites,
-
- le fait que toute matrice de rang r soit équivalente à une matrice ‘J_r’,
-
- ou encore qu’une matrice et sa transposée ont le même rang.
-
-
-
- On pourra aussi vérifier la connaissance des théorèmes de première année : par exemple, les théorèmes sur le rang (notion dont je me suis aperçu qu’elle était mal connue) !
Les étudiants devront donner au moins une idée de démonstration de ces résultats.
-
- Le cours de la semaine : Arithmétique/Polynôme et Polynômes appliqués à des matrices.
Question sur cours :-
- savoir définir un idéal et savoir pourquoi les idéaux de K[X] sont principaux,
-
- savoir la prop-définition du PGCD et PPCM avec les idéaux et pourquoi cette déf entraîne immédiatement que tout multiple commun est un multiple du PPCM et tout diviseur commun est un diviseur du PGCD
-
- Savoir la caractérisation des éléments inversibles dans Z/nZ.
-
- Propriété définition du polynôme minimal d’une matrice, d’un endomorphisme.
-
- Connaitre le polynôme minimal d’une matrice diagonale.
-
- Savoir pourquoi l’inverse d’une matrice A est un polynôme en A.
-
- Savoir pourquoi P(A) inversible dans M_n(K) ssi P et mu_A sont premiers entre eux.
-
- Le cours de la semaine : Arithmétique/Polynôme et Polynômes appliqués à des matrices.
On pourra aussi poser un exercice de révision sur les polynômes (divisibilité,polynôme irréductibles). Dans la planche suivante seuls les exercices 1 à 3 ont été faits en classe à ce stade mais les exercices 4 à 7 sont tout à fait dans l’esprit du programme de colle et seront corrigés lundi : Planche-A1
Semaine 2 du lundi 19 septembre : séries et révisions d’algèbres linéaire.
Encore un peu de séries : toute la planche a été travaillée en classe sauf les exercices 19 et 20 donc les étudiants ont beaucoup plus d’expérience. Ne pas hésiter aussi à tester un exercice avec une famille sommable. PlancheS1
Révisions et compléments d’algèbre linéaire : un peu de cours sur sommes directes de plusieurs s.e.v, matrices par blocs, déterminants par blocs. Le cours complet est ici : Semaine2-R0
Et nous avons fait les 8 premiers exercices de la planche Planche-R0 Pour les étudiants, bien revoir les déterminants même si nous ne corrigerons les exercices sur les déterminants qu’en début de semaine. N’oubliez pas aussi les exercices de la banque CCINP marqués en haut de la planche R0.
———————————————————————————————————————
Semaine 1 du lundi 12 septembre : séries numériques.
Cette semaine nous avons traité en classe les exercices 1 à 8 de la planche S1 ci-dessous ainsi que l’exercice 11 a). Ces exercices, ainsi que les exercices de la banque CCINP marqués en haut de la planche, peuvent être posés en premier exercice de la colle pour voir si les méthodes ont bien été retenues.
On testera en tous cas systématiquement que les élèves sont bien à l’aise avec les manipulations d’équivalents et D.L. aussi bien pour les séries à termes positifs (variantes d’ex. 2, 3,4) que de D.L. encore pour les séries de signe variable (variantes de l’ex. 11).
Planche S1 : PlancheS1
L’ensemble du cours a été traité, on peut aussi poser en question de cours (alternative à un des exercices de la planche) :
-
- Définition de la divergence grossière, et savoir démontrer que si la série de terme général (u_n) converge alors (u_n) tend vers zéro.
-
- Test de d’Alembert avec démonstration.
-
- Sur la comparaison série/intégrale, pour les colleurs le programme officiel a un peu changé il s’agit maintenant plus d’un savoir faire que d’un résultat, savoir justifier le D.A. de H_n à la précision o(1).
-
- Citer précisément le théorème de sommation des relations de comparaison et démontrer un cas.
-
- Citer le Théorème spécial pour certaines séries alternées avec comme conclusion aussi le signe du reste et la majoration du reste.
-
- Savoir mettre en oeuvre le lien suites/séries pour gagner un terme supplémentaire dans le D.A. de H_n. (précision o(1/n)).
PAS de familles sommables cette semaine.
Semaine 4: du lundi 3 octobre :
Début de l’étude de la diagonalisation.
-
- Révisions sur les formules de changement de base, pour les vecteurs et les applications linéaires.
-
- valeurs propres, vecteurs propres : recherche à l’aide de l’équation aux valeurs propres sur des exemples en dim. finie ou infinie
-
- caractérisation : lambda v.p. d’une matrice A ssi det(A-lambda I)=0, application aux v.p. des matrices triangulaires
-
- Démonstration(s) du fait que des s.e.v. propres associés à des v.p. distinctes sont en somme directe
-
- Si lambda est v.p. d’un endomorphisme L et si P est un polynôme alors P(lambda) est v.p. de P(L). Conséquence si P est annulateur de L
-
- Les v.p. de L sont exactement les racines du polynôme minimal de L.
-
- Théorème de décomposition des noyaux : démonstration pour un produit de deux polynômes. On sera spécialement attentif à la bonne compréhension des objets manipulés (P(L)(x) et pas P(L(x)) et (PQ)(L)=P(L)o Q(L) etc…)
-
- Savoir donner le maximum de caractérisation d’une matrice diagonalisable et la C.S. « n v.p. distinctes en dim. n « .
Pour les exercices : on a traité les exercices 1 à 6 et 9 et 10 de la planche PlancheR1 . Le reste sera traité en tout début de semaine. Ne pas oublier les exercices de la Banque CCINP en haut de planche.
Je n’ai pas encore prononcé le mot « polynôme caractéristique » ce n’est pas le héros de cette semaine même si on l’a rencontré au détour du chemin (cf. plus haut avec les matrices triangulaires).
Semaine 3 : du lundi 26 septembre
L’essentiel : toujours des révisions d’algèbre linéaire de première année et un peu d’arithmétique des polynômes et de polynômes appliqués aux matrices.
Beaucoup de ‘questions de cours’ possibles :
-
- Toute la Planche-R0 a été faite en classe. On pourra demander de retraiter un exercice de cette planche en question de cours.
-
- On pourra aussi vérifier la connaissance des théorèmes de première année : par exemple, les théorèmes sur le rang (notion dont je me suis aperçu qu’elle était mal connue) !
-
-
-
- caractérisation du rang avec les matrices extraites,
-
- le fait que toute matrice de rang r soit équivalente à une matrice ‘J_r’,
-
- ou encore qu’une matrice et sa transposée ont le même rang.
-
-
-
- On pourra aussi vérifier la connaissance des théorèmes de première année : par exemple, les théorèmes sur le rang (notion dont je me suis aperçu qu’elle était mal connue) !
Les étudiants devront donner au moins une idée de démonstration de ces résultats.
-
- Le cours de la semaine : Arithmétique/Polynôme et Polynômes appliqués à des matrices.
Question sur cours :-
- savoir définir un idéal et savoir pourquoi les idéaux de K[X] sont principaux,
-
- savoir la prop-définition du PGCD et PPCM avec les idéaux et pourquoi cette déf entraîne immédiatement que tout multiple commun est un multiple du PPCM et tout diviseur commun est un diviseur du PGCD
-
- Savoir la caractérisation des éléments inversibles dans Z/nZ.
-
- Propriété définition du polynôme minimal d’une matrice, d’un endomorphisme.
-
- Connaitre le polynôme minimal d’une matrice diagonale.
-
- Savoir pourquoi l’inverse d’une matrice A est un polynôme en A.
-
- Savoir pourquoi P(A) inversible dans M_n(K) ssi P et mu_A sont premiers entre eux.
-
- Le cours de la semaine : Arithmétique/Polynôme et Polynômes appliqués à des matrices.
On pourra aussi poser un exercice de révision sur les polynômes (divisibilité,polynôme irréductibles). Dans la planche suivante seuls les exercices 1 à 3 ont été faits en classe à ce stade mais les exercices 4 à 7 sont tout à fait dans l’esprit du programme de colle et seront corrigés lundi : Planche-A1
Semaine 2 du lundi 19 septembre : séries et révisions d’algèbres linéaire.
Encore un peu de séries : toute la planche a été travaillée en classe sauf les exercices 19 et 20 donc les étudiants ont beaucoup plus d’expérience. Ne pas hésiter aussi à tester un exercice avec une famille sommable. PlancheS1
Révisions et compléments d’algèbre linéaire : un peu de cours sur sommes directes de plusieurs s.e.v, matrices par blocs, déterminants par blocs. Le cours complet est ici : Semaine2-R0
Et nous avons fait les 8 premiers exercices de la planche Planche-R0 Pour les étudiants, bien revoir les déterminants même si nous ne corrigerons les exercices sur les déterminants qu’en début de semaine. N’oubliez pas aussi les exercices de la banque CCINP marqués en haut de la planche R0.
———————————————————————————————————————
Semaine 1 du lundi 12 septembre : séries numériques.
Cette semaine nous avons traité en classe les exercices 1 à 8 de la planche S1 ci-dessous ainsi que l’exercice 11 a). Ces exercices, ainsi que les exercices de la banque CCINP marqués en haut de la planche, peuvent être posés en premier exercice de la colle pour voir si les méthodes ont bien été retenues.
On testera en tous cas systématiquement que les élèves sont bien à l’aise avec les manipulations d’équivalents et D.L. aussi bien pour les séries à termes positifs (variantes d’ex. 2, 3,4) que de D.L. encore pour les séries de signe variable (variantes de l’ex. 11).
Planche S1 : PlancheS1
L’ensemble du cours a été traité, on peut aussi poser en question de cours (alternative à un des exercices de la planche) :
-
- Définition de la divergence grossière, et savoir démontrer que si la série de terme général (u_n) converge alors (u_n) tend vers zéro.
-
- Test de d’Alembert avec démonstration.
-
- Sur la comparaison série/intégrale, pour les colleurs le programme officiel a un peu changé il s’agit maintenant plus d’un savoir faire que d’un résultat, savoir justifier le D.A. de H_n à la précision o(1).
-
- Citer précisément le théorème de sommation des relations de comparaison et démontrer un cas.
-
- Citer le Théorème spécial pour certaines séries alternées avec comme conclusion aussi le signe du reste et la majoration du reste.
-
- Savoir mettre en oeuvre le lien suites/séries pour gagner un terme supplémentaire dans le D.A. de H_n. (précision o(1/n)).
PAS de familles sommables cette semaine.
Semaine 4 du lundi 9 octobre 2023 :
Début de l’étude de la réduction des endomorphismes et de la diagonalisation.
-
- Révisions sur les formules de changement de base, pour les vecteurs et les applications linéaires.
-
- valeurs propres, vecteurs propres : recherche à l’aide de l’équation aux valeurs propres sur des exemples en dim. finie ou infinie
-
- caractérisation : lambda v.p. d’une matrice A ssi det(A-lambda I)=0, application aux v.p. des matrices de petites tailles et des matrices triangulaires
-
- Démonstration du fait que des s.e.v. propres associés à des v.p. distinctes sont en somme directe
-
- Si lambda est v.p. d’un endomorphisme L et si P est un polynôme alors P(lambda) est v.p. de P(L). Conséquence si P est annulateur de L, Sp(L) est inclus dans Z(P).
-
- Les v.p. de L sont exactement les racines du polynôme minimal de L.
-
- Théorème de décomposition des noyaux : démonstration pour un produit de deux polynômes. On sera spécialement attentif à la bonne compréhension des objets manipulés (P(L)(x) et pas P(L(x)) et (PQ)(L)=P(L)o Q(L) etc…)
-
- Savoir donner le maximum de caractérisations d’une matrice diagonalisable et la C.S. « n v.p. distinctes en dim. n » mais en fait retenir surtout et pour chaque exercice qu’il y a d »un côté le point de vue géométrique (avec les vecteurs propres et les ses propres) et le point de vue algébrique (avec les polynômes annulateurs, le minimal;
Pour les colleurs : ON NE PARLE PAS de POLYNÔME CARACTERISTIQUE CETTE SEMAiNE ET de condition de diagonalisabilité avec celui-ci.
Exercices traités sur la planche ; 1,2,4,5,8,10,11,12,16,17. Planche-R1-2023
Semaine 3 du lundi 02/10 : révisions et compléments d’algèbre commutative.
La motivation principale de cette semaine est d’introduire les idéaux des anneaux de polynômes pour la définition du polynôme annulateur d’une matrice ou d’un endomorphisme. Mais cela étant, c’est aussi l’occasion de voir et revoir un certain nombres de notions sur l »algèbre commutative, l’arithmétique et les polynômes. Il est important de vérifier que les différentes structures (groupes, anneaux, corps, algèbres et donc idéaux) sont bien connues. Pas de résultat sur le groupes cette semaine, le cadre est celui de l’algèbre commutative.
Pour le cours :
-
- Qu’est-ce qu’un anneau, qu’est-ce corps ? Montrer que Z/nZ est un corps ssi Z/nZ est intègre ssi n est un nombre premier.
-
- Plus généralement : pour a dans Z, montrer que la classe de a est inversible dans l’anneau Z/nZ ssi a et n sont premiers entre eux
-
- savoir définir ce qu’est un idéal et savoir la forme des idéaux de K[X] et de Z (dém. sur K[X]).
-
- Définir le polynôme minimal d’un matrice (resp. d’un endomorphisme d’un e.v. de dim. finie) et savoir pourquoi tout polynôme annulateur est divisible par le polynôme minimal.
-
- Expliciter le polynôme minimal d’une matrice diagonale.
-
- Montrer que dim K[A]=deg(mu_A).
-
- Montrer que si A est une matrice inversible alors A^{-1} est dans K[A].
-
- Montrer que si A est une matrice et P est un polynôme alors P(A) est une matrice inversible ssi P est premier avec le polynôme minimal de A.
Pour les exercices : surtout des révisions de première année sur les vérifications élémentaires sur les structures, éventuellement les congruences dans Z, mais surtout les polynômes et notamment polynômes complexes : les exercices 5 à 10 de la planche A2 ci-jointes ont été traités en classe, les suivant sont donnés aux élèves en guise de révision mais ne sont pas corrigés en classe. Les exercices de la banque CCINP proposés couvrent une partie de ce programme de révisions.
Les exercices plus difficiles (du style des exercices 1 à 4 de la planche, même si les trois premiers ont été traités en classe) sont à réserver aux élèves les plus à l’aise. Planche-A2-2023
Bonne semaine !
Semaine 2 du lundi 25 /09 : révisions (et quelques compléments) d’algèbre linéaire.
Peu de « nouveautés » en cours cette semaine seulement :
-
- Somme directe de plusieurs s.e.v.: définitions, différentes caractérisations
-
- Matrices par blocs : produits, opérations élémentaires sur les blocs, formule du déterminant d’une matrice triangulaire par bloc (deux démonstrations).
L’essentiel de la semaine a été consacrée à des exercices de révisions : on aura traité presque tous (!) les exercices de la Planche-A1-2023 ci-jointe (sauf le 9, 18, 22, 23,27) qui donne un éventail des problématiques abordées On insistera spécialement sur la bonne maîtrise du cours et des techniques sur les déterminants qui sont souvent traités bien vite en 1ère année faute du temps nécessaire, mais bien sûr tout le programme de 1ère année est intéressant pour cette semaine.
Semaine 1 du lundi 18/09 : Séries numériques.
On testera systématiquement que les élèves sont bien à l’aise avec les manipulations d’équivalents et développement limités (ou asymptotiques) aussi bien pour les séries à termes positifs que pour les séries de signe variable.
-
- Définition de la divergence grossière, et savoir démontrer que si la série de terme général (u_n) converge alors (u_n) tend vers zéro.
-
- Test de d’Alembert avec démonstration.
-
- Sur la comparaison série/intégrale, pour les colleurs le programme officiel a un peu changé il s’agit maintenant plus d’un savoir faire que d’un résultat, savoir justifier le D.A. de H_n à la précision o(1).
-
- Citer précisément le théorème de sommation des relations de comparaison et démontrer un cas.
-
- Citer le Théorème spécial pour certaines séries alternées avec comme conclusion aussi le signe du reste et la majoration du reste.
-
- Savoir mettre en oeuvre le lien suites/séries pour gagner un terme supplémentaire dans le D.A. de H_n. (précision o(1/n)) ou donner l’idée de la preuve de la formule de Stirling et en faire une ou deux étapes.
-
- Révisions sur les suites récurrentes u_{n+1}=f(u_n) ou les suites définies
-
- Familles sommables : savoir bien distinguer entre le cas positifs et le cas à signe variable/complexe. Savoir bien mettre en oeuvre le théorème de sommation terme par paquets sans justification particulière que la positivité dans le cas positif, et au contraire avec justification préalable de la sommabilité dans le cas général.. justement avec le T.S.P. positif.
Planche d’exercice : Planche-S1-2023 Les exercices suivants ont été traités en classes : ex 1 à 10 sauf le 7, ex 13 à 20 sauf le 18, ex 24.
Année 2022-2023 :
Planches de la prépa à l’oral :
Planche-Prepa-Oral-Topo-T1-T2-T3-T4-2023
Planche-Prepa-Oral-R123-réduction-2023
Planche-Prepa-Oral-I1-I2-I3-2023 (Ex. 9 énoncé faux….)
Planche-Prepa-Oral-R0-Algeb-lin-2023
Exercice de la banque CCINP pour les oraux blancs de la semaine du 22 au 26 mai :
Semaine 23 : du lundi 27 mars
Attention : dernière semaine de colles avant les écrits.
Thème : calcul différentiel, révision du programme précédent et les rajouts qui suivent. Par ailleurs, on peut aussi poser des questions de révisions sur les endomorphismes d’un espace euclidien.
Calcul diff. on rajoute :
-
-
-
- Exemple de recherches d’extrema sous-contrainte i.e. pour f_X
-
- théorème dans le cas où X est une hypersurface.
-
- études pratiques dans le cas où on peut paramétrer X
-
- Exemple de recherches d’extrema sous-contrainte i.e. pour f_X
-
- Calcul différentiel d’ordre 2 :
-
- fonctions C^2, C^k, théorème de Schwarz (admis)
-
- Calcul de la dérivée seconde de t->f(a+tx)
-
- Définition de la Hessienne d’une fonction f : U -> R, expliquer pourquoi c’est aussi la jacobienne du gradient de f.
-
- Savoir citer le théorème de Taylor-Young à l’ordre 2 (admis)
-
- C.N. de min. local : point critique a tel que Hf(a) soit symétrique positive (savoir dém).
-
- C.S. de min. local : point critique a tel que Hf(a) soit définie positive. (savoir dém.)
-
- Pratique en dim. 2 avec det(Hf(a)) et Tr(Hf(a)).
-
- Exemple où Hf(a) est dégénérée (0 v.p.) en exercice.
-
- Calcul différentiel d’ordre 2 :
-
- E.D.P. d’ordre 1 et 2 :
-
- savoir justement proprement la « primitivation par rapport à une variable » (convexité par rapport à la variable).
-
- Exemples de résolution par changement de variable.
-
- E.D.P. d’ordre 1 et 2 :
-
- Tous les exercices de la Banque CCINP cité en haut de planche.
-
- Toutes les exercices de la planche de 1 à 18 auront été traités, (peut-être plus), la suite lundi.
-
-
Semaine 22 : du lundi 2O mars.
Thème : calcul différentiel d’ordre 1
Pour cette première semaine, l’objectif est essentiellement de savoir dériver et comprendre les objets présents dans les formules.
La connaissance du cours est essentielle.
-
-
-
- Définition de la dérivée D_v f(a) de la fonction f selon le vecteur v au point a et lien avec les dérivées partielles, cas où f est une norme N et a=0 ?
-
- Savoir qu’il existe des fonctions f telles que D_v f(a) existe pour tout v et qui ne sont pourtant pas continue en a (exemple sur la planche ou en cours).
-
- Définition de la différentiabilité : existence d’un D.L. 1, définition du gradient pour les fonctions à valeurs scalaires.
-
- Faire BEAUCOUP de calculs de différentielle (de gradient) avec des D.L. 1 comme ceux de la planche ex 5,6,7.
-
- Déf. des fonctions de classe C^1 : l’application x-> df(x) est continue, mais surtout caractérisation miraculeuse avec les dérivées partielles
-
- Exercices concrets où l’on utilise le point précédent (cf. planche et banque CCINP).
-
- Formule sur la différentielle d’une composée d(f o g)=, deux cas particuliers très utiles si l’espace intermédiaire est R et surtout si l’espace de départ est R (dérivée selon une courbe à savoir par coeur !)
-
- Formule d’intégration le long d’un chemin. Application si df=0 sur un ouvert c.p.a. alors f est constante.
-
- C.N. d’extremum local en un point d’un ouvert : point critique.
-
- Vecteur tangent en un point x à un sous-ensemble Xde R^n : définition, exemples, structure de cône de l’ensemble T_x X de ces vecteurs.
-
- Exemple si X est une sphère (savoir refaire) dans R^n.
-
- Cas général d’un point régulier x d’une hypersurface g=0 : T_x X=ker dg(x).
-
-
Banque CCINP pour cette semaine : ex 33,52, 57, 58.
Planche : les exercices exigibles pour lundi sont les ex 1 à 6. Ceux qui correspondent au programme de la semaine sont les ex. 1 à 12.
Semaine 21 : du lundi 13 mars.
Thème principal : fonctions d’une variable réelle à valeurs vectorielles.
Un cours où on apprend quand même quelques petites choses sur la dérivation.. avant le calcul diff qui entrera dans le vif du sujet.
Questions de cours :
-
- Trois définitions équivalentes de la dérivabilité pour f : I -> E (dém. non demandée)
-
- Dérivée de L o f si f est dérivable de I dans E et L est linéaire de E dans F (dém.)
-
- Dérivée de B(f,g) si f (resp. g) sont dérivables de I dans E (resp. dans F) et B : E x F-> G est bilinéaire
-
- Extension du point précédent aux applications n-linéaires (typiquement déterminant).
-
- T.A.F. généralisé à deux fonctions » f'(c) (g(b)-g(a))=g'(c)(f(b)-f(a)) » démonstration vectorielle
-
- Dérivation de t-> exp(tA) par théorème de dérivation terme à terme à valeurs vectorielles
-
- Inégalité triangulaire pour les intégrales de fonctions vectorielles et application à l’I.A.F. dans l’hypothèse C^1.
-
- Formules de Taylor à savoir parfaitement.
La Planche-F1 a été traitée en classe sauf les deux derniers exercices qui le seront lundi. On pourra aussi bien sûr aussi poser des exercices de révisions de première année sur la dérivation et le caractère C^k/D^k des fonctions à valeurs réelles.
Par exemple l’équivalence D^1 <-> admet un D.L. 1, le contre-exemple pour DL_2 n’entraîne pas D^2 ont été revus…, hypothèses de Taylor-Young etc…. et des exemples d’utilisations des formules de Taylor globales seront bienvenus.
Semaine 20 : du lundi 6 mars.
Thème : probabilité (tout !).
Les colles commenceront par un exercice de la Banque CCINP (num. 95 à 112) ce qui, pour les élèves, fait un exercice de proba à travailler par jour pendant les vacances ! On attend de l’efficacité sur ces exercices, qui ne doivent pas, malgré leur longueur, occuper toute la colle.
Tout le programme précédent est encore exigible, et on rajoute les points suivants :
-
- Moments d’ordre r d’une v.a.d. : si X admet un moment d’ordre r alors X admet un moment d’ordre s pour tout s<r.
-
- Calculs des variances des lois usuelles et notamment géométriques et Poisson et cas de loi binomiale comme sommes de v.a. indépendantes
-
- Covariance, application à la variance d’une somme
-
- Deux inégalités de Cauchy-Schwarz dans le contexte probabiliste, l’une avec la Covariance, l’une avec (X,Y)->E(XY)
-
- Série et fonction génératrice : deux définitions. La série génératrice détermine la loi
-
- Fonction génératrice d’une somme de v.a.d. indépendantes application à la loi binomiale, à la somme de deux v.a. de Poisson indépendantes
-
- Calcul de l’espérance (resp. de E(X^2)) en dérivant la fonction génératrice
-
- Inégalité de Markov et de Tchebychev, application méthode du 1er moment ou 2ème moment pour l’étude de P(X=0).
-
- Loi faible des grands nombres: énoncé et démonstration.
La Planche-P2 a été traitée entièrement sauf les exercices 10 et 11;
La Planche-P3 n’a été que peu traitée (ex 8-9 fait en TD) mais est un bon programme de travail pour les vacances, avec des exercices plus orientés sur les problèmes d’écrits.
Semaine 19 : du lundi 13 février.
Thème : probabilités, variables aléatoires discrètes (v.a.d.) (début).
D’abord un chapitre général sur univers-tribu-probabilités, avec quelques questions de cours importantes :
-
- Définir ce qu’est une tribu et exemples simples sur la planche P1.
-
- Qu’est-ce qu’une probabilité ? Démontrer la propriété de continuité croissante.
-
- Démontrer la sous-additivité dénombrable des probabilités.
-
- Donner des propriétés de l’espace probabilisé décrivant le jeu à pile ou face infini (où l’existence de la proba est bien sûr admise) : quelle tribu, comment montrer que la probabilité des singletons est nulle.
-
- Dans l’exemple précédent donner un exemple de système quasi-complet d’événements (qui n’est pas « complet »).
-
- Evénement « A_n est réalisé infiniment souvent » décrit avec inter et union, premier lemme de Borel-Cantelli (exercice Planche-P1)
Chapitre sur les variables aléatoires discrètes:
-
- Définition d’une v.a.d. : savoir vérifier les conditions de la déf. d’une v.a.d : exemple du temps d’attente de succès dans une suite de tirages de Bernoulli (v.a.d. de loi géométrique).
-
- Caractérisation des v.a. géométriques par le caractère « sans-mémoire »
-
- Convergence en loi de v.a. suivant B(n,lambda/n) vers P(lambda)
-
- Indépendance des v.a.d. : déf. équivalentes (dém. non demandée).
-
- Espérance des v.a. géométriques et de Poisson.
-
- Propriété de l’espérance : formule de transfert, linéarité.
-
- Calcul de l’espérance à l’aide des P¨(X>x).
Toute la planche P1 a été traitée. Planche-P1 Après ces QdC plus « théoriques », poser plutôt un exercice « concret » éventuellement de révision de première année comme les exercices de la fin de la planche P.1 et des exercices très simples sur les v.a.d.
La Planche-P2 sera travaillée en début de semaine.
Semaine 18 : du lundi 6 février
Thème : endomorphismes d’un espace euclidien. Révision du programme précédent avec en plus la réduction des autoadjoints. La notion d’autoadjoint positif et défini positif est revenu au programme. Le nouveau cours est bref mais demande beaucoup de précision !
-
- Pour f autoadjoint, définir la forme bilinéaire symétrique associée à f (à savoir (x,y)-> (f(x)|y)), et la forme quadratique associée x->(f(x)|x). Chacun de ces trois objets détermine les autres : pourquoi ? (Formule de polarisation).
-
- Démontrer qu’un endomorphisme autoadjoint admet au moins une valeur propre (en se ramenant à la dim. 2).
-
- En admettant le résultat précédent, démontrer le théorème spectral pour les autoadjoints.
-
- Ecriture de la forme quadratique (mot H.P.) x-> (f(x)|x) dans une b.o.n. de dz. de f, application à une caractérisation de la plus grande et de la plus petite v.p. de f.
-
- Définition des autoadjoints positifs (resp. matrices symétriques positives) et caractérisation par le spectre.
-
- Déf. des autoadjoints définis positifs, caractérisation par le spectre, lien avec la notion de produit scalaire.
-
- Tous les exercices de la planche ont été traités sauf le 17 : Planche-R4
Pour bien ré-ancrer les habitudes liées à la réduction des endomorphismes, bien utiles ici aussi, on pourra revoir et être interrogés sur :
-
- Les exercices 10, 11, 12 de la Planche-R2
-
- Les exercices 4 à 8 et l’ex. 11 de la Planche-R3
-
- Ne pas négliger les calculs concrets : banque CCINP Ex. 68, et toujours des projections orthogonales (décidément mal comprises) CCINP Ex. 81,82, et des calculs de matrices de projections…
Bonne semaine, pendant ce temps, le cours de proba aura, j’espère, le temps d’avancer suffisamment !
Semaine 17 : du lundi 30 janvier
Thème : endomorphismes d’un espace euclidien : début, attention pas de théorème de réduction des endomorphisme autoadjoint (resp. matrices symétrique) cette semaine.
Questions de cours :
-
- Définition de l’adjoint d’un endomorphisme et prop. de l’application u-> u*
-
- Si F est un s.e.v. stable par u, alors l’orthogonal de F est stable par u*
-
- La matrice de u* dans une b.o.n. est la transposée de celle de u
-
- Déf. des isométries vectorielles et caractérisation par la conservation du produit scalaire et par f*=f^{-1}
-
- Caractérisation matricielle des isométries vectorielles et déf. des matrices orthogonale.
-
- Déterminant d’une matrice orthogonale. Donner une matrice de déterminant 1 non orthogonale.
-
- Une matrice orthogonale symétrique est une matrice de symétrie orthogonale.
-
- Thme de classification des matrices dans O_2(R).
-
- Thme de classification de toutes les isométries vectorielles : énoncé, étapes de la preuve.
On l’aura compris les héros de cette semaine sont l’adjoint et les automorphismes orthogonaux (=isométries vectorielles). Ne pas négliger aussi les normes d’opérateur comme vu sur la planche. Les autoadjoints viendront la semaine prochaine. Sur la Planche-R4 les exercices 1 à 8 ont été faits en classe.
Banque CCINP Ex. 78 : intégralement dans le cours.
Semaine 16 : du lundi 23 janvier
Thème : approximation dans les espaces de fonctions : norme infinie, norme euclidienne… et révisions de première année sur les espaces préhilbertiens.
« Question de cours » possibles :
-
- Citer le théorème d’approximation uniforme des fonctions c.p.m. par des fonctions en escalier et savoir l’appliquer pour démontrer le théorème de Riemann-Lebesgue sur un segment (thme H.P. mais à connaître aussi bien pour le résultat que pour la méthode).
-
- Citer le théorème d’approximation de Weierstrass et montrer qu’on ne peut pas espérer une CVU sur R entier car si une suite de polynômes CVU sur R entier….
-
- Savoir refaire la Q3 et le « lemme de Dirac » du TD : TD-Chap-T4-convolution-Weierstrass
-
- Espaces préhilbertiens : montrer que le produit scalaire (p.s.) est une forme bilinéaire continue.
-
- Exercice : lemme des moments :

- Exercice : lemme des moments :
-
- Savoir montrer:

- Savoir montrer:
-
- Donner des exemples de sev stricts denses dans deux espaces préhilbertiens différents.
-
- Calcul pratique de l’orthogonalisation de Gram-Schmidt : par exemple de (1,X,X^2) pour un p.s. intégrale.
-
- Formule du projeté orthogonal sur F si on a une base orthogonale de F : calculs concrets.
-
- Théorème de meilleure approximation par le projeté orthogonal, dém (Pythagore)
-
- Applications concretes de ce théorème de meilleure approximation pour la minimisation d’une intégrale…. et dans le cadre matriciel cf. Banque CCINP ex. 80, 81 et 82.
-
- Exercice de la Planche-T4: seuls les ex. 4,5,6,7 sont « exigibles ».
Semaine 15: du lundi 16 janvier
Thème : compacité, connexité par arcs et révisions de topologies des e.v.n.
On restera d’abord proche du cours (QdC) et des révisions (avec les exercices de la banque CCINP ci-dessous).
Pour les plus à l’aise, on pourra s’essayer à des exercices y compris reliés à l’algèbre linéaire… (revoir dans ce cas les exercices de la planche T2 sur la topo. matricielle).
Questions de cours possibles :
-
- Montrer le théorème de Bolzano-Weierstrass (B.W.) dans C en admettant le résultat dans R.
-
- Montrer qu’un compact de E est fermé borné dans E.
-
- Montrer qu’un fermé dans un compact est compact.
-
- Donner un exemple de fermé borné non compact (aussi exercice 13 banque CCINP sur ce sujet mais penser au cadre préhilbertien aussi).
-
- Montrer que l’image continue d’un compact est compacte.
-
- Théorème des bornes atteintes pour les fonctions d’un compact dans R.
-
- B.W. en dim. finie : les compact d’un e.v.n. de dim. finie sont les fermés bornés.
-
- Montrer qu’un s.e.v. de dim. finie est toujours fermé dans tout e.v.n.
-
- Parties connexes par arc (c.p.a.) de R?
-
- Image continue d’un c.p.a.
-
- Connexité par arc pour montrer qu’une fonction d’un intervalle I de R dans R continue injective est strictement monotone.
Les exercices sur la compacité de la Planche-T3, ont tous été traités mais certains sont difficiles.
Par contre l’exercice sur les fonctions coercives doit être bien compris et adapté à des situations simples, y compris éventuellement en variable réelle.
Révisions sur les e.v.n. : exercices sur les e.v.n. de la banque CCINP. Ex 13, 34, 35, 36, 37, 38, 44, 45.
Planches : Planche-T3, Planche-T2
Semaine 14 : du lundi 9 janvier
Structure de la colle : une question de cours qui peut être très rapide sur la dénombrabilité et un exercice plus important sur les intégrales à paramètres.
Cours et planche sur la dénombrabilité :
-
- Montrer que tout ensemble infini contient un sous-ensemble dnb,
-
- Montrer que toute partie de N est finie ou dnb, et donc aussi toute partie d’un ensemble dnb est dnb
-
- Montrer que NxN est dnb et pourquoi le produit de deux ensembles dnb est dnb
-
- Pourquoi Q est-il dnb?
-
- Une union dnb d’ensembles dnb est dnb
-
- Un produit fini d’ensemble dnb est dnb (réc. immédiate non demandée) contre-exemple pour un produit infini, construction diagonale de Cantor.
-
- Déf du développement décimal ou dyadique propre de R, application à la non dnb.
Un exercice « inconnu » sur les intégrales à paramètres :
voici les exercices des deux planches qui ont tous été traités Planche-I3 Planche-I3-P0 (sauf l’ex. sur la convolution qui est quasi immédiat).
Semaine 13 : du mardi 3 janvier
Révisions générales d’analyse sur séries numériques/ séries de fonctions/ séries entières, Intégrales généralisées/ Suites d’intégrales/Intégrales à paramètres autrement dit chapitres S1,S2,S3,I1,I2,I3.
On pourra commencer les colles par un exercice d’une des six planches de ces chapitres ou un exercice de la banche CCINP.
Planche-I1Planche-I2Planche-I3
Banque CCINP Ex 1 à 30: 30 exercices pour les vacances : deux par jour dont un au petit-déjeuner…
Les sujets à approfondir après cela sont les plus récents :
-
- séries entières (quasiment toute la planche à été traitée, les élèves devraient donc bénéficier de plus de recul sur le sujet) : privilégier déjà les aspects calculatoires quasi « algébriques » (calculs de D.S.E., E.D., D.E.S) cf. ex. 8 à 15 de la planche S3, et pour les plus avancé.e.s. on pourra aborder les questions d’analyse plus fine (ex. 16 et suivants pl. S3).
-
- intégrales à paramètres : là rester simple car la pratique doit encore s’affermir, seul les 5 premiers exercices de la planche I3 sont exigibles (le 4 et 5 devant être finis pendant les vacances). Ces intégrales à paramètres reviendront sûrement pour les colles de la semaine suivante.
Semaine 12 : du lundi 12 décembre :
Série entières : Tout le cours a été fait mais nous n’avons vraiment travaillé en exercice que des déterminations de rayon de convergence. Donc on pourra commencer les colles, outre les questions de cours, par ces questions de détermination de rayon de convergence.
Dans le cours :
-
- Lemme d’Abel, dém. et (prop.-)-définition du rayon de convergence.
-
- Lemme de d’Alembert pour les séries entières : dém. avec le lemme pour les séries numériques.
-
- Prop. ;

ont même rayon de convergence (au programme officiel pour alpha=1, démontrée, pour pas plus cher pour alpha qcq donc je pense qu’on peut s’en servir pour alpha quelconque).
- Prop. ;
-
- Rayon de convergence d’une somme et produit de Cauchy.
-
- Continuité de la fonction somme dans le disque ouvert de convergence.
-
- Pour ce qui la variable est réelle :
-
- Théorème de continuité radiale d’Abel : énoncé seulement, mais savoir l’appliquer sur des exemples (série harmonique alternée…)
-
- Dérivation terme à terme automatique pour les sommes de séries entières
-
- unicité des coefficients du D.S.E., série de Taylor, rigidité des fonctions D.S.E.
-
- Pour ce qui la variable est réelle :
-
- DSE des fonctions usuelles : preuve de la formule du binôme (1+x)^a pour a réel avec la méthode de l’E.D.
-
- Banque CCINP cf haut de la planche.
Planche : les ex 1 à 5 ont été traités en classes. Pour les étudiants, on traitera au moins jusqu’au 10 lundi. Planche-S3
Pour les 5/2 (voire les 3/2) en avance, qui auraient fait tous les DM etc.. la planche S3 ci-jointe a une page 3 🙂 que je vous imprimerai lundi.
Semaine 11 : du lundi 5 décembre :
Suites d’intégrales : convergence dominée et intégration terme à terme.
D’abord révision du programme précédent, notamment toujours soigner les justifications d’intégrabilité ou de convergence de l’intégrale.
Pour les colleurs : une nouveauté cette année, le théorème d’intégration terme à terme dans le cas des intégrales de fonctions POSITIVES, avec hypothèses simplifiées (Beppo-Levi), qui simplifie donc la rédaction.
« Questions de cours » possibles :
-
- Exercice : Montrer que si I est BORNE et (f_n) est une suite de fonctions L^1 sur I qui CVU sur I vers une fonction f c.p.m. alors f est L^1 et la suite des intégrales des (f_n) CV vers celle de f (généralisation du théorème connu sur les segments au cas borné).
-
- Donner un exemple où le résultat précédent n’est PAS vrai avec I un intervalle non borné. Expliquer le problème.
-
- Application du T.C.D. avec des « bornes variables »:

- Application du T.C.D. avec des « bornes variables »:
-
- Etude des intégrales de Wallis : détermination d’un équivalent
-
- Méthode l’I.P.P fait sortir le terme prépondérant pour un équivalent de :

- Méthode l’I.P.P fait sortir le terme prépondérant pour un équivalent de :
-
- Le même équivalent par la méthode de changement de variable.
-
- Intégration terme à terme d’une CVU sur un segment :
-
-
-
- application aux séries entières : montrer que :

- application aux séries entières : montrer que :
-
- applications aux séries trigonométriques (très important car H.P. mais dans tellement de sujets d’écrits de maths et dans le cours de physique)

- applications aux séries trigonométriques (très important car H.P. mais dans tellement de sujets d’écrits de maths et dans le cours de physique)
-
-
-
- Intégration terme à terme d’une CVU sur un segment :
-
- Théorème d’intégration terme à terme de Lebesgue en deux théorèmes : cas positif et cas signe quelconque. Exemple du second cas :
-
- Ce qu’on fait quand le théorème ne s’applique pas. Exemple :

- Ce qu’on fait quand le théorème ne s’applique pas. Exemple :
-
- Planche I2 : les exercices 1 à 4 ainsi que le 6 ont été faits en classe cette semaine. D’autres seront corrigés lundi. Planche-I2
Semaine 10 : du lundi 28 novembre :
Intégrales (des fonctions continues par morceaux) sur un intervalle quelconque :
Notion d’intégrale convergente/divergente
Notion d’intégrale absolument convergente et notion associée de fonction intégrable.
On commencera la colle par une étude d’intégrabilité de fonction à l’aide des théorèmes de comparaison : o, O, équivalents, majorations de l’intégrande.
Pour les étudiants : majoration toujours de la valeur absolue de l’intégrande !
Exemple d’intégrale semi-convergente : cas de sin(t)/t^a avec a dans ]0,1], expliquer.
Théorème d’intégration des relations de comparaison, et méthode d’I.P.P. pour trouver des équivalents.
Révisions intensive des méthodes de CALCUL d’intégrales, tableau de primitive à bien connnaître, méthodes pour les fonctions rationnelles, ou trigonométriques …
Pour les colleurs : pas de théorème de Lebesgue cette semaine .
Planche : Planche-I1 : seulement les ex1 et 2 ont été traités en classe pour l’instant, mais ils donnent bien le ton de style d’exercice par lesquels les colles pourront commencer.
Bonne semaine à tous.
rb
Semaine 9 : du lundi 21 novembre :
Suites et séries de fonctions :
Convergence simple, uniforme, uniforme sur tout segment, normale et théorème de régularités des limites C^0,C^1, C^p (avec valeur des dérivées..) , intégration sur un segment, interversion des limites, déclinés en version suites et séries.
Connaissance précise des théorèmes et application efficace des méthodes !
-
- On pourra demander un énoncé précis de théorème en début de colle.
-
- Démonstration du théorème de continuité d’une limite uniforme d’une suite de fonction continue.
-
- Démonstration du théorème d’intégration d’une limite uniforme sur un segment.
-
- Le théorème d’interversion des limites a été admis.
-
- Exemple de la fonction zeta réelle : caractère C infini, limite à l’infini
-
- Exemple de la suite de fonctions x-> n sin(x/n) méthode pour la CVU sur les segments et pourquoi on n’ a pas CVU sur R
-
- Méthode d’encadrement par des intégrales pour un équivalent quand x->0 de la somme des exp(-x sqrt(n)).
Exercice de la Planche-S2 : les ex 1 à 6 a) ont été traités en classe, donnent un bon échantillon des méthodes de base.
Semaine 8 : du lundi 14 novembre :
Topologie : en plus du programme précédent :
-
- ouverts et fermés relatifs : définition d’un ouvert de A, d’un fermé de A, caractérisations (démo non exigibles).
-
- déf. de la continuité en un point et caractérisation avec les voisinages avec démonstration.
-
- caractérisation globale de la continuité : f est continue de A dans F ssi la préimage d’un ouvert de F est un ouvert de A (resp. d’un fermé) : démo. non exigible, par contre : savoir bien la mettre en oeuvre pour montrer que tel ensemble est ouvert ou fermé.
-
- Savoir justifier qu’une application donnée est continue : théorème d’opération, continuité des formes coordonnées, et donc des fonctions polynomiales ou rationnelles.
-
- Une fonction à valeur dans K^n est continue ssi ses composantes le sont (dém).
-
- Justifier la continuité de l’application A -> A¨^{-1} sur GL¨_n(K).
-
- Définir ce qu’est un homéomorphisme et pourquoi l’image d’un ouvert par un homéo est un ouvert.
-
- Montrer que x-> d(x,A) est 1 -lipschitzienne.
-
- Caractérisation de la continuité des applications linéaires : 5 conditions, avec dém.
-
- Définition de la norme d’opérateur (trois formules équivalentes).
-
- Calcul pratique de cette norme sur des exemples (cf. ex CCINP 37).
La planche T2 a gagné un verso : Planche-T2 On pourra poser comme exercice « connu » un exercice de topologie matricielle ex. 7 à 10 ou l’ex. 16. Les autres seront corrigés en début de semaine.
Banque CCINP : Ex 35, 36, et une des trois questions de l’ex. 38.
Semaine 7 : du lundi 7 novembre :
Début de la topologie : normes, suites d’un e.v.n. (séries en dim. finie), mais aussi ouverts, fermés, intérieur, adhérence.
On pourra commencer la colle par une question de cours dans cette liste :
-
- Montrer que la norme infinie sur l’espace des fonctions bornées est bien une norme (on sera très précis pour les arguments sur les sup.)
-
- définir ce qu’est une norme d’algèbre, en donner des exemples dans l’algèbre des fonctions bornées, et dans l’algèbre des matrices carrées.
-
- Théorème pour les produits de limites de suites dans une algèbre normée.
-
- Justifier que dans un evn de dim. finie, la convergence d’une suite se vérifie « coordonnée par coordonnée ».
-
- Justifier que dans un evn de dim. finie, une série absolument convergente est convergente.
-
- Justification de l’existence de l’exp. matricielle.
-
- Montrer qu’une boule ouverte est ouverte, une boule fermée est fermée.
-
- Montrer que l’intérieur d’une boule fermée est la boule ouverte
-
- Montrer que l’adhérence d’une boule ouverte est la boule fermée
-
- Montrer qu’un s.e.v. strict est d’intérieur vide.
-
- Caractérisation séquentielle des points adhérence.
-
- Lien complémentaire de l’adhérence/intérieur du complémentaire..
Voilà ça fait pas mal de cours pour ces vacances !!
Pour les planches : Planche-T1 tout a été fait sauf les ex. 8 et 10.
Planche-T2 : là encore des exercices seront faits pendant les vacances je comte sur vous étudiants et étudiantes. Lien vers les solutions.
Semaine 6 : du lundi 17 octobre :
Dernière semaine sur la réduction et l’algèbre linéaire, cette fois, on a du recul ! En plus des programmes précédents ;
-
- Trigonalisation : démonstration par récurrence du théorème qui dit qu’un endomorphisme ayant polynôme annulateur scindé est tz.
-
- Caractérisations des nilpotents en termes de v.p. dans C et autre (des équivalences très simples !)
-
- Les élèves doivent savoir conduire la trigonalisation concrète d’une matrice 2x 2, et d’une matrice 3 x 3 et même la réduction sous forme de Jordan dans ces cas particuliers (deux cas en dim. 3…)
-
- Théorème de décomposition sur les s.e.v. caractéristiques : donne une tz précisée.
Sur la planche R3 : PlancheR3 les ex 1,2 et 4 à 10 ont été traités en classes et peuvent être posés en « question de cours ». L’ex. 3 est une synthèses des choses dites en cours et dans les exercices 1, 2 , 10… donc est aussi « connu ».
On peut encore poser des exercices de la banque CCINP sur la réductions (ceux marqués les semaines précédentes).
Enfin, pour les colleurs, si vous en avez assez de l’algèbre linéaire, vous pouvez poser un exercice sur les normes (vérifier que ceci est ou n’est pas une norme) : une question de cours importante sur les manipulations de sup. : montrer que la norme infinie sur l’espace des fonctions bornées est bien une norme.
Semaine 5: du lundi 10 octobre :
Cette semaine, tout sur la diagonalisation, les polynômes caractéristiques, Cayley-Hamilton et bien sûr tout le programme précédent .. Pas de trigonalisation encore cette semaine, merci.
Nous avons fait beaucoup d’exercices : tous ceux de la Planche-R2
ont été travaillés et corrigés en classe sauf l’ex. 4 et 15 et peuvent être reposés en colle.
Pour les « questions de cours » : penser aussi aux exercices de la banque CCINP marqués en début de planche R2 et questions suivantes :
-
- Calcul du polynôme caractéristique d’une matrice compagnon.
-
- Justifier que la multiplicité géométrique d’une v.p. est inférieure ou égale à sa multiplicité algébrique.
Pour les étudiants : il est inadmissible que les questions de cours/exercices de planche ne soient pas sus en colle.
Pour les examinateurs : merci de sanctionner très nettement ces cas là au moins par une note en dessous de la moyenne.
Semaine 4: du lundi 3 octobre :
Début de l’étude de la diagonalisation.
-
- Révisions sur les formules de changement de base, pour les vecteurs et les applications linéaires.
-
- valeurs propres, vecteurs propres : recherche à l’aide de l’équation aux valeurs propres sur des exemples en dim. finie ou infinie
-
- caractérisation : lambda v.p. d’une matrice A ssi det(A-lambda I)=0, application aux v.p. des matrices triangulaires
-
- Démonstration(s) du fait que des s.e.v. propres associés à des v.p. distinctes sont en somme directe
-
- Si lambda est v.p. d’un endomorphisme L et si P est un polynôme alors P(lambda) est v.p. de P(L). Conséquence si P est annulateur de L
-
- Les v.p. de L sont exactement les racines du polynôme minimal de L.
-
- Théorème de décomposition des noyaux : démonstration pour un produit de deux polynômes. On sera spécialement attentif à la bonne compréhension des objets manipulés (P(L)(x) et pas P(L(x)) et (PQ)(L)=P(L)o Q(L) etc…)
-
- Savoir donner le maximum de caractérisation d’une matrice diagonalisable et la C.S. « n v.p. distinctes en dim. n « .
Pour les exercices : on a traité les exercices 1 à 6 et 9 et 10 de la planche PlancheR1 . Le reste sera traité en tout début de semaine. Ne pas oublier les exercices de la Banque CCINP en haut de planche.
Je n’ai pas encore prononcé le mot « polynôme caractéristique » ce n’est pas le héros de cette semaine même si on l’a rencontré au détour du chemin (cf. plus haut avec les matrices triangulaires).
Semaine 3 : du lundi 26 septembre
L’essentiel : toujours des révisions d’algèbre linéaire de première année et un peu d’arithmétique des polynômes et de polynômes appliqués aux matrices.
Beaucoup de ‘questions de cours’ possibles :
-
- Toute la Planche-R0 a été faite en classe. On pourra demander de retraiter un exercice de cette planche en question de cours.
-
- On pourra aussi vérifier la connaissance des théorèmes de première année : par exemple, les théorèmes sur le rang (notion dont je me suis aperçu qu’elle était mal connue) !
-
-
-
- caractérisation du rang avec les matrices extraites,
-
- le fait que toute matrice de rang r soit équivalente à une matrice ‘J_r’,
-
- ou encore qu’une matrice et sa transposée ont le même rang.
-
-
-
- On pourra aussi vérifier la connaissance des théorèmes de première année : par exemple, les théorèmes sur le rang (notion dont je me suis aperçu qu’elle était mal connue) !
Les étudiants devront donner au moins une idée de démonstration de ces résultats.
-
- Le cours de la semaine : Arithmétique/Polynôme et Polynômes appliqués à des matrices.
Question sur cours :-
- savoir définir un idéal et savoir pourquoi les idéaux de K[X] sont principaux,
-
- savoir la prop-définition du PGCD et PPCM avec les idéaux et pourquoi cette déf entraîne immédiatement que tout multiple commun est un multiple du PPCM et tout diviseur commun est un diviseur du PGCD
-
- Savoir la caractérisation des éléments inversibles dans Z/nZ.
-
- Propriété définition du polynôme minimal d’une matrice, d’un endomorphisme.
-
- Connaitre le polynôme minimal d’une matrice diagonale.
-
- Savoir pourquoi l’inverse d’une matrice A est un polynôme en A.
-
- Savoir pourquoi P(A) inversible dans M_n(K) ssi P et mu_A sont premiers entre eux.
-
- Le cours de la semaine : Arithmétique/Polynôme et Polynômes appliqués à des matrices.
On pourra aussi poser un exercice de révision sur les polynômes (divisibilité,polynôme irréductibles). Dans la planche suivante seuls les exercices 1 à 3 ont été faits en classe à ce stade mais les exercices 4 à 7 sont tout à fait dans l’esprit du programme de colle et seront corrigés lundi : Planche-A1
Semaine 2 du lundi 19 septembre : séries et révisions d’algèbres linéaire.
Encore un peu de séries : toute la planche a été travaillée en classe sauf les exercices 19 et 20 donc les étudiants ont beaucoup plus d’expérience. Ne pas hésiter aussi à tester un exercice avec une famille sommable. PlancheS1
Révisions et compléments d’algèbre linéaire : un peu de cours sur sommes directes de plusieurs s.e.v, matrices par blocs, déterminants par blocs. Le cours complet est ici : Semaine2-R0
Et nous avons fait les 8 premiers exercices de la planche Planche-R0 Pour les étudiants, bien revoir les déterminants même si nous ne corrigerons les exercices sur les déterminants qu’en début de semaine. N’oubliez pas aussi les exercices de la banque CCINP marqués en haut de la planche R0.
———————————————————————————————————————
Semaine 1 du lundi 12 septembre : séries numériques.
Cette semaine nous avons traité en classe les exercices 1 à 8 de la planche S1 ci-dessous ainsi que l’exercice 11 a). Ces exercices, ainsi que les exercices de la banque CCINP marqués en haut de la planche, peuvent être posés en premier exercice de la colle pour voir si les méthodes ont bien été retenues.
On testera en tous cas systématiquement que les élèves sont bien à l’aise avec les manipulations d’équivalents et D.L. aussi bien pour les séries à termes positifs (variantes d’ex. 2, 3,4) que de D.L. encore pour les séries de signe variable (variantes de l’ex. 11).
Planche S1 : PlancheS1
L’ensemble du cours a été traité, on peut aussi poser en question de cours (alternative à un des exercices de la planche) :
-
- Définition de la divergence grossière, et savoir démontrer que si la série de terme général (u_n) converge alors (u_n) tend vers zéro.
-
- Test de d’Alembert avec démonstration.
-
- Sur la comparaison série/intégrale, pour les colleurs le programme officiel a un peu changé il s’agit maintenant plus d’un savoir faire que d’un résultat, savoir justifier le D.A. de H_n à la précision o(1).
-
- Citer précisément le théorème de sommation des relations de comparaison et démontrer un cas.
-
- Citer le Théorème spécial pour certaines séries alternées avec comme conclusion aussi le signe du reste et la majoration du reste.
-
- Savoir mettre en oeuvre le lien suites/séries pour gagner un terme supplémentaire dans le D.A. de H_n. (précision o(1/n)).
PAS de familles sommables cette semaine.
Semaine 4: du lundi 3 octobre :
Début de l’étude de la diagonalisation.
-
- Révisions sur les formules de changement de base, pour les vecteurs et les applications linéaires.
-
- valeurs propres, vecteurs propres : recherche à l’aide de l’équation aux valeurs propres sur des exemples en dim. finie ou infinie
-
- caractérisation : lambda v.p. d’une matrice A ssi det(A-lambda I)=0, application aux v.p. des matrices triangulaires
-
- Démonstration(s) du fait que des s.e.v. propres associés à des v.p. distinctes sont en somme directe
-
- Si lambda est v.p. d’un endomorphisme L et si P est un polynôme alors P(lambda) est v.p. de P(L). Conséquence si P est annulateur de L
-
- Les v.p. de L sont exactement les racines du polynôme minimal de L.
-
- Théorème de décomposition des noyaux : démonstration pour un produit de deux polynômes. On sera spécialement attentif à la bonne compréhension des objets manipulés (P(L)(x) et pas P(L(x)) et (PQ)(L)=P(L)o Q(L) etc…)
-
- Savoir donner le maximum de caractérisation d’une matrice diagonalisable et la C.S. « n v.p. distinctes en dim. n « .
Pour les exercices : on a traité les exercices 1 à 6 et 9 et 10 de la planche PlancheR1 . Le reste sera traité en tout début de semaine. Ne pas oublier les exercices de la Banque CCINP en haut de planche.
Je n’ai pas encore prononcé le mot « polynôme caractéristique » ce n’est pas le héros de cette semaine même si on l’a rencontré au détour du chemin (cf. plus haut avec les matrices triangulaires).
Semaine 3 : du lundi 26 septembre
L’essentiel : toujours des révisions d’algèbre linéaire de première année et un peu d’arithmétique des polynômes et de polynômes appliqués aux matrices.
Beaucoup de ‘questions de cours’ possibles :
-
- Toute la Planche-R0 a été faite en classe. On pourra demander de retraiter un exercice de cette planche en question de cours.
-
- On pourra aussi vérifier la connaissance des théorèmes de première année : par exemple, les théorèmes sur le rang (notion dont je me suis aperçu qu’elle était mal connue) !
-
-
-
- caractérisation du rang avec les matrices extraites,
-
- le fait que toute matrice de rang r soit équivalente à une matrice ‘J_r’,
-
- ou encore qu’une matrice et sa transposée ont le même rang.
-
-
-
- On pourra aussi vérifier la connaissance des théorèmes de première année : par exemple, les théorèmes sur le rang (notion dont je me suis aperçu qu’elle était mal connue) !
Les étudiants devront donner au moins une idée de démonstration de ces résultats.
-
- Le cours de la semaine : Arithmétique/Polynôme et Polynômes appliqués à des matrices.
Question sur cours :-
- savoir définir un idéal et savoir pourquoi les idéaux de K[X] sont principaux,
-
- savoir la prop-définition du PGCD et PPCM avec les idéaux et pourquoi cette déf entraîne immédiatement que tout multiple commun est un multiple du PPCM et tout diviseur commun est un diviseur du PGCD
-
- Savoir la caractérisation des éléments inversibles dans Z/nZ.
-
- Propriété définition du polynôme minimal d’une matrice, d’un endomorphisme.
-
- Connaitre le polynôme minimal d’une matrice diagonale.
-
- Savoir pourquoi l’inverse d’une matrice A est un polynôme en A.
-
- Savoir pourquoi P(A) inversible dans M_n(K) ssi P et mu_A sont premiers entre eux.
-
- Le cours de la semaine : Arithmétique/Polynôme et Polynômes appliqués à des matrices.
On pourra aussi poser un exercice de révision sur les polynômes (divisibilité,polynôme irréductibles). Dans la planche suivante seuls les exercices 1 à 3 ont été faits en classe à ce stade mais les exercices 4 à 7 sont tout à fait dans l’esprit du programme de colle et seront corrigés lundi : Planche-A1
Semaine 2 du lundi 19 septembre : séries et révisions d’algèbres linéaire.
Encore un peu de séries : toute la planche a été travaillée en classe sauf les exercices 19 et 20 donc les étudiants ont beaucoup plus d’expérience. Ne pas hésiter aussi à tester un exercice avec une famille sommable. PlancheS1
Révisions et compléments d’algèbre linéaire : un peu de cours sur sommes directes de plusieurs s.e.v, matrices par blocs, déterminants par blocs. Le cours complet est ici : Semaine2-R0
Et nous avons fait les 8 premiers exercices de la planche Planche-R0 Pour les étudiants, bien revoir les déterminants même si nous ne corrigerons les exercices sur les déterminants qu’en début de semaine. N’oubliez pas aussi les exercices de la banque CCINP marqués en haut de la planche R0.
———————————————————————————————————————
Semaine 1 du lundi 12 septembre : séries numériques.
Cette semaine nous avons traité en classe les exercices 1 à 8 de la planche S1 ci-dessous ainsi que l’exercice 11 a). Ces exercices, ainsi que les exercices de la banque CCINP marqués en haut de la planche, peuvent être posés en premier exercice de la colle pour voir si les méthodes ont bien été retenues.
On testera en tous cas systématiquement que les élèves sont bien à l’aise avec les manipulations d’équivalents et D.L. aussi bien pour les séries à termes positifs (variantes d’ex. 2, 3,4) que de D.L. encore pour les séries de signe variable (variantes de l’ex. 11).
Planche S1 : PlancheS1
L’ensemble du cours a été traité, on peut aussi poser en question de cours (alternative à un des exercices de la planche) :
-
- Définition de la divergence grossière, et savoir démontrer que si la série de terme général (u_n) converge alors (u_n) tend vers zéro.
-
- Test de d’Alembert avec démonstration.
-
- Sur la comparaison série/intégrale, pour les colleurs le programme officiel a un peu changé il s’agit maintenant plus d’un savoir faire que d’un résultat, savoir justifier le D.A. de H_n à la précision o(1).
-
- Citer précisément le théorème de sommation des relations de comparaison et démontrer un cas.
-
- Citer le Théorème spécial pour certaines séries alternées avec comme conclusion aussi le signe du reste et la majoration du reste.
-
- Savoir mettre en oeuvre le lien suites/séries pour gagner un terme supplémentaire dans le D.A. de H_n. (précision o(1/n)).
PAS de familles sommables cette semaine.
Semaine 8 : du lundi 14 novembre :
Topologie : en plus du programme précédent :
-
- ouverts et fermés relatifs : définition d’un ouvert de A, d’un fermé de A, caractérisations (démo non exigibles).
-
- déf. de la continuité en un point et caractérisation avec les voisinages avec démonstration.
-
- caractérisation globale de la continuité : f est continue de A dans F ssi la préimage d’un ouvert de F est un ouvert de A (resp. d’un fermé) : démo. non exigible, par contre : savoir bien la mettre en oeuvre pour montrer que tel ensemble est ouvert ou fermé.
-
- Savoir justifier qu’une application donnée est continue : théorème d’opération, continuité des formes coordonnées, et donc des fonctions polynomiales ou rationnelles.
-
- Une fonction à valeur dans K^n est continue ssi ses composantes le sont (dém).
-
- Justifier la continuité de l’application A -> A¨^{-1} sur GL¨_n(K).
-
- Définir ce qu’est un homéomorphisme et pourquoi l’image d’un ouvert par un homéo est un ouvert.
-
- Montrer que x-> d(x,A) est 1 -lipschitzienne.
-
- Caractérisation de la continuité des applications linéaires : 5 conditions, avec dém.
-
- Définition de la norme d’opérateur (trois formules équivalentes).
-
- Calcul pratique de cette norme sur des exemples (cf. ex CCINP 37).
La planche T2 a gagné un verso : Planche-T2 On pourra poser comme exercice « connu » un exercice de topologie matricielle ex. 7 à 10 ou l’ex. 16. Les autres seront corrigés en début de semaine.
Banque CCINP : Ex 35, 36, et une des trois questions de l’ex. 38.
Semaine 7 : du lundi 7 novembre :
Début de la topologie : normes, suites d’un e.v.n. (séries en dim. finie), mais aussi ouverts, fermés, intérieur, adhérence.
On pourra commencer la colle par une question de cours dans cette liste :
-
- Montrer que la norme infinie sur l’espace des fonctions bornées est bien une norme (on sera très précis pour les arguments sur les sup.)
-
- définir ce qu’est une norme d’algèbre, en donner des exemples dans l’algèbre des fonctions bornées, et dans l’algèbre des matrices carrées.
-
- Théorème pour les produits de limites de suites dans une algèbre normée.
-
- Justifier que dans un evn de dim. finie, la convergence d’une suite se vérifie « coordonnée par coordonnée ».
-
- Justifier que dans un evn de dim. finie, une série absolument convergente est convergente.
-
- Justification de l’existence de l’exp. matricielle.
-
- Montrer qu’une boule ouverte est ouverte, une boule fermée est fermée.
-
- Montrer que l’intérieur d’une boule fermée est la boule ouverte
-
- Montrer que l’adhérence d’une boule ouverte est la boule fermée
-
- Montrer qu’un s.e.v. strict est d’intérieur vide.
-
- Caractérisation séquentielle des points adhérence.
-
- Lien complémentaire de l’adhérence/intérieur du complémentaire..
Voilà ça fait pas mal de cours pour ces vacances !!
Pour les planches : Planche-T1 tout a été fait sauf les ex. 8 et 10.
Planche-T2 : là encore des exercices seront faits pendant les vacances je comte sur vous étudiants et étudiantes. Lien vers les solutions.
Semaine 6 : du lundi 17 octobre :
Dernière semaine sur la réduction et l’algèbre linéaire, cette fois, on a du recul ! En plus des programmes précédents ;
-
- Trigonalisation : démonstration par récurrence du théorème qui dit qu’un endomorphisme ayant polynôme annulateur scindé est tz.
-
- Caractérisations des nilpotents en termes de v.p. dans C et autre (des équivalences très simples !)
-
- Les élèves doivent savoir conduire la trigonalisation concrète d’une matrice 2x 2, et d’une matrice 3 x 3 et même la réduction sous forme de Jordan dans ces cas particuliers (deux cas en dim. 3…)
-
- Théorème de décomposition sur les s.e.v. caractéristiques : donne une tz précisée.
Sur la planche R3 : PlancheR3 les ex 1,2 et 4 à 10 ont été traités en classes et peuvent être posés en « question de cours ». L’ex. 3 est une synthèses des choses dites en cours et dans les exercices 1, 2 , 10… donc est aussi « connu ».
On peut encore poser des exercices de la banque CCINP sur la réductions (ceux marqués les semaines précédentes).
Enfin, pour les colleurs, si vous en avez assez de l’algèbre linéaire, vous pouvez poser un exercice sur les normes (vérifier que ceci est ou n’est pas une norme) : une question de cours importante sur les manipulations de sup. : montrer que la norme infinie sur l’espace des fonctions bornées est bien une norme.
Semaine 5: du lundi 10 octobre :
Cette semaine, tout sur la diagonalisation, les polynômes caractéristiques, Cayley-Hamilton et bien sûr tout le programme précédent .. Pas de trigonalisation encore cette semaine, merci.
Nous avons fait beaucoup d’exercices : tous ceux de la Planche-R2
ont été travaillés et corrigés en classe sauf l’ex. 4 et 15 et peuvent être reposés en colle.
Pour les « questions de cours » : penser aussi aux exercices de la banque CCINP marqués en début de planche R2 et questions suivantes :
-
- Calcul du polynôme caractéristique d’une matrice compagnon.
-
- Justifier que la multiplicité géométrique d’une v.p. est inférieure ou égale à sa multiplicité algébrique.
Pour les étudiants : il est inadmissible que les questions de cours/exercices de planche ne soient pas sus en colle.
Pour les examinateurs : merci de sanctionner très nettement ces cas là au moins par une note en dessous de la moyenne.
Semaine 4: du lundi 3 octobre :
Début de l’étude de la diagonalisation.
-
- Révisions sur les formules de changement de base, pour les vecteurs et les applications linéaires.
-
- valeurs propres, vecteurs propres : recherche à l’aide de l’équation aux valeurs propres sur des exemples en dim. finie ou infinie
-
- caractérisation : lambda v.p. d’une matrice A ssi det(A-lambda I)=0, application aux v.p. des matrices triangulaires
-
- Démonstration(s) du fait que des s.e.v. propres associés à des v.p. distinctes sont en somme directe
-
- Si lambda est v.p. d’un endomorphisme L et si P est un polynôme alors P(lambda) est v.p. de P(L). Conséquence si P est annulateur de L
-
- Les v.p. de L sont exactement les racines du polynôme minimal de L.
-
- Théorème de décomposition des noyaux : démonstration pour un produit de deux polynômes. On sera spécialement attentif à la bonne compréhension des objets manipulés (P(L)(x) et pas P(L(x)) et (PQ)(L)=P(L)o Q(L) etc…)
-
- Savoir donner le maximum de caractérisation d’une matrice diagonalisable et la C.S. « n v.p. distinctes en dim. n « .
Pour les exercices : on a traité les exercices 1 à 6 et 9 et 10 de la planche PlancheR1 . Le reste sera traité en tout début de semaine. Ne pas oublier les exercices de la Banque CCINP en haut de planche.
Je n’ai pas encore prononcé le mot « polynôme caractéristique » ce n’est pas le héros de cette semaine même si on l’a rencontré au détour du chemin (cf. plus haut avec les matrices triangulaires).
Semaine 3 : du lundi 26 septembre
L’essentiel : toujours des révisions d’algèbre linéaire de première année et un peu d’arithmétique des polynômes et de polynômes appliqués aux matrices.
Beaucoup de ‘questions de cours’ possibles :
-
- Toute la Planche-R0 a été faite en classe. On pourra demander de retraiter un exercice de cette planche en question de cours.
-
- On pourra aussi vérifier la connaissance des théorèmes de première année : par exemple, les théorèmes sur le rang (notion dont je me suis aperçu qu’elle était mal connue) !
-
-
-
- caractérisation du rang avec les matrices extraites,
-
- le fait que toute matrice de rang r soit équivalente à une matrice ‘J_r’,
-
- ou encore qu’une matrice et sa transposée ont le même rang.
-
-
-
- On pourra aussi vérifier la connaissance des théorèmes de première année : par exemple, les théorèmes sur le rang (notion dont je me suis aperçu qu’elle était mal connue) !
Les étudiants devront donner au moins une idée de démonstration de ces résultats.
-
- Le cours de la semaine : Arithmétique/Polynôme et Polynômes appliqués à des matrices.
Question sur cours :-
- savoir définir un idéal et savoir pourquoi les idéaux de K[X] sont principaux,
-
- savoir la prop-définition du PGCD et PPCM avec les idéaux et pourquoi cette déf entraîne immédiatement que tout multiple commun est un multiple du PPCM et tout diviseur commun est un diviseur du PGCD
-
- Savoir la caractérisation des éléments inversibles dans Z/nZ.
-
- Propriété définition du polynôme minimal d’une matrice, d’un endomorphisme.
-
- Connaitre le polynôme minimal d’une matrice diagonale.
-
- Savoir pourquoi l’inverse d’une matrice A est un polynôme en A.
-
- Savoir pourquoi P(A) inversible dans M_n(K) ssi P et mu_A sont premiers entre eux.
-
- Le cours de la semaine : Arithmétique/Polynôme et Polynômes appliqués à des matrices.
On pourra aussi poser un exercice de révision sur les polynômes (divisibilité,polynôme irréductibles). Dans la planche suivante seuls les exercices 1 à 3 ont été faits en classe à ce stade mais les exercices 4 à 7 sont tout à fait dans l’esprit du programme de colle et seront corrigés lundi : Planche-A1
Semaine 2 du lundi 19 septembre : séries et révisions d’algèbres linéaire.
Encore un peu de séries : toute la planche a été travaillée en classe sauf les exercices 19 et 20 donc les étudiants ont beaucoup plus d’expérience. Ne pas hésiter aussi à tester un exercice avec une famille sommable. PlancheS1
Révisions et compléments d’algèbre linéaire : un peu de cours sur sommes directes de plusieurs s.e.v, matrices par blocs, déterminants par blocs. Le cours complet est ici : Semaine2-R0
Et nous avons fait les 8 premiers exercices de la planche Planche-R0 Pour les étudiants, bien revoir les déterminants même si nous ne corrigerons les exercices sur les déterminants qu’en début de semaine. N’oubliez pas aussi les exercices de la banque CCINP marqués en haut de la planche R0.
———————————————————————————————————————
Semaine 1 du lundi 12 septembre : séries numériques.
Cette semaine nous avons traité en classe les exercices 1 à 8 de la planche S1 ci-dessous ainsi que l’exercice 11 a). Ces exercices, ainsi que les exercices de la banque CCINP marqués en haut de la planche, peuvent être posés en premier exercice de la colle pour voir si les méthodes ont bien été retenues.
On testera en tous cas systématiquement que les élèves sont bien à l’aise avec les manipulations d’équivalents et D.L. aussi bien pour les séries à termes positifs (variantes d’ex. 2, 3,4) que de D.L. encore pour les séries de signe variable (variantes de l’ex. 11).
Planche S1 : PlancheS1
L’ensemble du cours a été traité, on peut aussi poser en question de cours (alternative à un des exercices de la planche) :
-
- Définition de la divergence grossière, et savoir démontrer que si la série de terme général (u_n) converge alors (u_n) tend vers zéro.
-
- Test de d’Alembert avec démonstration.
-
- Sur la comparaison série/intégrale, pour les colleurs le programme officiel a un peu changé il s’agit maintenant plus d’un savoir faire que d’un résultat, savoir justifier le D.A. de H_n à la précision o(1).
-
- Citer précisément le théorème de sommation des relations de comparaison et démontrer un cas.
-
- Citer le Théorème spécial pour certaines séries alternées avec comme conclusion aussi le signe du reste et la majoration du reste.
-
- Savoir mettre en oeuvre le lien suites/séries pour gagner un terme supplémentaire dans le D.A. de H_n. (précision o(1/n)).
PAS de familles sommables cette semaine.
Semaine 4: du lundi 3 octobre :
Début de l’étude de la diagonalisation.
-
- Révisions sur les formules de changement de base, pour les vecteurs et les applications linéaires.
-
- valeurs propres, vecteurs propres : recherche à l’aide de l’équation aux valeurs propres sur des exemples en dim. finie ou infinie
-
- caractérisation : lambda v.p. d’une matrice A ssi det(A-lambda I)=0, application aux v.p. des matrices triangulaires
-
- Démonstration(s) du fait que des s.e.v. propres associés à des v.p. distinctes sont en somme directe
-
- Si lambda est v.p. d’un endomorphisme L et si P est un polynôme alors P(lambda) est v.p. de P(L). Conséquence si P est annulateur de L
-
- Les v.p. de L sont exactement les racines du polynôme minimal de L.
-
- Théorème de décomposition des noyaux : démonstration pour un produit de deux polynômes. On sera spécialement attentif à la bonne compréhension des objets manipulés (P(L)(x) et pas P(L(x)) et (PQ)(L)=P(L)o Q(L) etc…)
-
- Savoir donner le maximum de caractérisation d’une matrice diagonalisable et la C.S. « n v.p. distinctes en dim. n « .
Pour les exercices : on a traité les exercices 1 à 6 et 9 et 10 de la planche PlancheR1 . Le reste sera traité en tout début de semaine. Ne pas oublier les exercices de la Banque CCINP en haut de planche.
Je n’ai pas encore prononcé le mot « polynôme caractéristique » ce n’est pas le héros de cette semaine même si on l’a rencontré au détour du chemin (cf. plus haut avec les matrices triangulaires).
Semaine 3 : du lundi 26 septembre
L’essentiel : toujours des révisions d’algèbre linéaire de première année et un peu d’arithmétique des polynômes et de polynômes appliqués aux matrices.
Beaucoup de ‘questions de cours’ possibles :
-
- Toute la Planche-R0 a été faite en classe. On pourra demander de retraiter un exercice de cette planche en question de cours.
-
- On pourra aussi vérifier la connaissance des théorèmes de première année : par exemple, les théorèmes sur le rang (notion dont je me suis aperçu qu’elle était mal connue) !
-
-
-
- caractérisation du rang avec les matrices extraites,
-
- le fait que toute matrice de rang r soit équivalente à une matrice ‘J_r’,
-
- ou encore qu’une matrice et sa transposée ont le même rang.
-
-
-
- On pourra aussi vérifier la connaissance des théorèmes de première année : par exemple, les théorèmes sur le rang (notion dont je me suis aperçu qu’elle était mal connue) !
Les étudiants devront donner au moins une idée de démonstration de ces résultats.
-
- Le cours de la semaine : Arithmétique/Polynôme et Polynômes appliqués à des matrices.
Question sur cours :-
- savoir définir un idéal et savoir pourquoi les idéaux de K[X] sont principaux,
-
- savoir la prop-définition du PGCD et PPCM avec les idéaux et pourquoi cette déf entraîne immédiatement que tout multiple commun est un multiple du PPCM et tout diviseur commun est un diviseur du PGCD
-
- Savoir la caractérisation des éléments inversibles dans Z/nZ.
-
- Propriété définition du polynôme minimal d’une matrice, d’un endomorphisme.
-
- Connaitre le polynôme minimal d’une matrice diagonale.
-
- Savoir pourquoi l’inverse d’une matrice A est un polynôme en A.
-
- Savoir pourquoi P(A) inversible dans M_n(K) ssi P et mu_A sont premiers entre eux.
-
- Le cours de la semaine : Arithmétique/Polynôme et Polynômes appliqués à des matrices.
On pourra aussi poser un exercice de révision sur les polynômes (divisibilité,polynôme irréductibles). Dans la planche suivante seuls les exercices 1 à 3 ont été faits en classe à ce stade mais les exercices 4 à 7 sont tout à fait dans l’esprit du programme de colle et seront corrigés lundi : Planche-A1
Semaine 2 du lundi 19 septembre : séries et révisions d’algèbres linéaire.
Encore un peu de séries : toute la planche a été travaillée en classe sauf les exercices 19 et 20 donc les étudiants ont beaucoup plus d’expérience. Ne pas hésiter aussi à tester un exercice avec une famille sommable. PlancheS1
Révisions et compléments d’algèbre linéaire : un peu de cours sur sommes directes de plusieurs s.e.v, matrices par blocs, déterminants par blocs. Le cours complet est ici : Semaine2-R0
Et nous avons fait les 8 premiers exercices de la planche Planche-R0 Pour les étudiants, bien revoir les déterminants même si nous ne corrigerons les exercices sur les déterminants qu’en début de semaine. N’oubliez pas aussi les exercices de la banque CCINP marqués en haut de la planche R0.
———————————————————————————————————————
Semaine 1 du lundi 12 septembre : séries numériques.
Cette semaine nous avons traité en classe les exercices 1 à 8 de la planche S1 ci-dessous ainsi que l’exercice 11 a). Ces exercices, ainsi que les exercices de la banque CCINP marqués en haut de la planche, peuvent être posés en premier exercice de la colle pour voir si les méthodes ont bien été retenues.
On testera en tous cas systématiquement que les élèves sont bien à l’aise avec les manipulations d’équivalents et D.L. aussi bien pour les séries à termes positifs (variantes d’ex. 2, 3,4) que de D.L. encore pour les séries de signe variable (variantes de l’ex. 11).
Planche S1 : PlancheS1
L’ensemble du cours a été traité, on peut aussi poser en question de cours (alternative à un des exercices de la planche) :
-
- Définition de la divergence grossière, et savoir démontrer que si la série de terme général (u_n) converge alors (u_n) tend vers zéro.
-
- Test de d’Alembert avec démonstration.
-
- Sur la comparaison série/intégrale, pour les colleurs le programme officiel a un peu changé il s’agit maintenant plus d’un savoir faire que d’un résultat, savoir justifier le D.A. de H_n à la précision o(1).
-
- Citer précisément le théorème de sommation des relations de comparaison et démontrer un cas.
-
- Citer le Théorème spécial pour certaines séries alternées avec comme conclusion aussi le signe du reste et la majoration du reste.
-
- Savoir mettre en oeuvre le lien suites/séries pour gagner un terme supplémentaire dans le D.A. de H_n. (précision o(1/n)).
PAS de familles sommables cette semaine.
Semaine 4 du lundi 9 octobre 2023 :
Début de l’étude de la réduction des endomorphismes et de la diagonalisation.
-
- Révisions sur les formules de changement de base, pour les vecteurs et les applications linéaires.
-
- valeurs propres, vecteurs propres : recherche à l’aide de l’équation aux valeurs propres sur des exemples en dim. finie ou infinie
-
- caractérisation : lambda v.p. d’une matrice A ssi det(A-lambda I)=0, application aux v.p. des matrices de petites tailles et des matrices triangulaires
-
- Démonstration du fait que des s.e.v. propres associés à des v.p. distinctes sont en somme directe
-
- Si lambda est v.p. d’un endomorphisme L et si P est un polynôme alors P(lambda) est v.p. de P(L). Conséquence si P est annulateur de L, Sp(L) est inclus dans Z(P).
-
- Les v.p. de L sont exactement les racines du polynôme minimal de L.
-
- Théorème de décomposition des noyaux : démonstration pour un produit de deux polynômes. On sera spécialement attentif à la bonne compréhension des objets manipulés (P(L)(x) et pas P(L(x)) et (PQ)(L)=P(L)o Q(L) etc…)
-
- Savoir donner le maximum de caractérisations d’une matrice diagonalisable et la C.S. « n v.p. distinctes en dim. n » mais en fait retenir surtout et pour chaque exercice qu’il y a d »un côté le point de vue géométrique (avec les vecteurs propres et les ses propres) et le point de vue algébrique (avec les polynômes annulateurs, le minimal;
Pour les colleurs : ON NE PARLE PAS de POLYNÔME CARACTERISTIQUE CETTE SEMAiNE ET de condition de diagonalisabilité avec celui-ci.
Exercices traités sur la planche ; 1,2,4,5,8,10,11,12,16,17. Planche-R1-2023
Semaine 3 du lundi 02/10 : révisions et compléments d’algèbre commutative.
La motivation principale de cette semaine est d’introduire les idéaux des anneaux de polynômes pour la définition du polynôme annulateur d’une matrice ou d’un endomorphisme. Mais cela étant, c’est aussi l’occasion de voir et revoir un certain nombres de notions sur l »algèbre commutative, l’arithmétique et les polynômes. Il est important de vérifier que les différentes structures (groupes, anneaux, corps, algèbres et donc idéaux) sont bien connues. Pas de résultat sur le groupes cette semaine, le cadre est celui de l’algèbre commutative.
Pour le cours :
-
- Qu’est-ce qu’un anneau, qu’est-ce corps ? Montrer que Z/nZ est un corps ssi Z/nZ est intègre ssi n est un nombre premier.
-
- Plus généralement : pour a dans Z, montrer que la classe de a est inversible dans l’anneau Z/nZ ssi a et n sont premiers entre eux
-
- savoir définir ce qu’est un idéal et savoir la forme des idéaux de K[X] et de Z (dém. sur K[X]).
-
- Définir le polynôme minimal d’un matrice (resp. d’un endomorphisme d’un e.v. de dim. finie) et savoir pourquoi tout polynôme annulateur est divisible par le polynôme minimal.
-
- Expliciter le polynôme minimal d’une matrice diagonale.
-
- Montrer que dim K[A]=deg(mu_A).
-
- Montrer que si A est une matrice inversible alors A^{-1} est dans K[A].
-
- Montrer que si A est une matrice et P est un polynôme alors P(A) est une matrice inversible ssi P est premier avec le polynôme minimal de A.
Pour les exercices : surtout des révisions de première année sur les vérifications élémentaires sur les structures, éventuellement les congruences dans Z, mais surtout les polynômes et notamment polynômes complexes : les exercices 5 à 10 de la planche A2 ci-jointes ont été traités en classe, les suivant sont donnés aux élèves en guise de révision mais ne sont pas corrigés en classe. Les exercices de la banque CCINP proposés couvrent une partie de ce programme de révisions.
Les exercices plus difficiles (du style des exercices 1 à 4 de la planche, même si les trois premiers ont été traités en classe) sont à réserver aux élèves les plus à l’aise. Planche-A2-2023
Bonne semaine !
Semaine 2 du lundi 25 /09 : révisions (et quelques compléments) d’algèbre linéaire.
Peu de « nouveautés » en cours cette semaine seulement :
-
- Somme directe de plusieurs s.e.v.: définitions, différentes caractérisations
-
- Matrices par blocs : produits, opérations élémentaires sur les blocs, formule du déterminant d’une matrice triangulaire par bloc (deux démonstrations).
L’essentiel de la semaine a été consacrée à des exercices de révisions : on aura traité presque tous (!) les exercices de la Planche-A1-2023 ci-jointe (sauf le 9, 18, 22, 23,27) qui donne un éventail des problématiques abordées On insistera spécialement sur la bonne maîtrise du cours et des techniques sur les déterminants qui sont souvent traités bien vite en 1ère année faute du temps nécessaire, mais bien sûr tout le programme de 1ère année est intéressant pour cette semaine.
Semaine 1 du lundi 18/09 : Séries numériques.
On testera systématiquement que les élèves sont bien à l’aise avec les manipulations d’équivalents et développement limités (ou asymptotiques) aussi bien pour les séries à termes positifs que pour les séries de signe variable.
-
- Définition de la divergence grossière, et savoir démontrer que si la série de terme général (u_n) converge alors (u_n) tend vers zéro.
-
- Test de d’Alembert avec démonstration.
-
- Sur la comparaison série/intégrale, pour les colleurs le programme officiel a un peu changé il s’agit maintenant plus d’un savoir faire que d’un résultat, savoir justifier le D.A. de H_n à la précision o(1).
-
- Citer précisément le théorème de sommation des relations de comparaison et démontrer un cas.
-
- Citer le Théorème spécial pour certaines séries alternées avec comme conclusion aussi le signe du reste et la majoration du reste.
-
- Savoir mettre en oeuvre le lien suites/séries pour gagner un terme supplémentaire dans le D.A. de H_n. (précision o(1/n)) ou donner l’idée de la preuve de la formule de Stirling et en faire une ou deux étapes.
-
- Révisions sur les suites récurrentes u_{n+1}=f(u_n) ou les suites définies
-
- Familles sommables : savoir bien distinguer entre le cas positifs et le cas à signe variable/complexe. Savoir bien mettre en oeuvre le théorème de sommation terme par paquets sans justification particulière que la positivité dans le cas positif, et au contraire avec justification préalable de la sommabilité dans le cas général.. justement avec le T.S.P. positif.
Planche d’exercice : Planche-S1-2023 Les exercices suivants ont été traités en classes : ex 1 à 10 sauf le 7, ex 13 à 20 sauf le 18, ex 24.
Année 2022-2023 :
Planches de la prépa à l’oral :
Planche-Prepa-Oral-Topo-T1-T2-T3-T4-2023
Planche-Prepa-Oral-R123-réduction-2023
Planche-Prepa-Oral-I1-I2-I3-2023 (Ex. 9 énoncé faux….)
Planche-Prepa-Oral-R0-Algeb-lin-2023
Exercice de la banque CCINP pour les oraux blancs de la semaine du 22 au 26 mai :
Semaine 23 : du lundi 27 mars
Attention : dernière semaine de colles avant les écrits.
Thème : calcul différentiel, révision du programme précédent et les rajouts qui suivent. Par ailleurs, on peut aussi poser des questions de révisions sur les endomorphismes d’un espace euclidien.
Calcul diff. on rajoute :
-
-
-
- Exemple de recherches d’extrema sous-contrainte i.e. pour f_X
-
- théorème dans le cas où X est une hypersurface.
-
- études pratiques dans le cas où on peut paramétrer X
-
- Exemple de recherches d’extrema sous-contrainte i.e. pour f_X
-
- Calcul différentiel d’ordre 2 :
-
- fonctions C^2, C^k, théorème de Schwarz (admis)
-
- Calcul de la dérivée seconde de t->f(a+tx)
-
- Définition de la Hessienne d’une fonction f : U -> R, expliquer pourquoi c’est aussi la jacobienne du gradient de f.
-
- Savoir citer le théorème de Taylor-Young à l’ordre 2 (admis)
-
- C.N. de min. local : point critique a tel que Hf(a) soit symétrique positive (savoir dém).
-
- C.S. de min. local : point critique a tel que Hf(a) soit définie positive. (savoir dém.)
-
- Pratique en dim. 2 avec det(Hf(a)) et Tr(Hf(a)).
-
- Exemple où Hf(a) est dégénérée (0 v.p.) en exercice.
-
- Calcul différentiel d’ordre 2 :
-
- E.D.P. d’ordre 1 et 2 :
-
- savoir justement proprement la « primitivation par rapport à une variable » (convexité par rapport à la variable).
-
- Exemples de résolution par changement de variable.
-
- E.D.P. d’ordre 1 et 2 :
-
- Tous les exercices de la Banque CCINP cité en haut de planche.
-
- Toutes les exercices de la planche de 1 à 18 auront été traités, (peut-être plus), la suite lundi.
-
-
Semaine 22 : du lundi 2O mars.
Thème : calcul différentiel d’ordre 1
Pour cette première semaine, l’objectif est essentiellement de savoir dériver et comprendre les objets présents dans les formules.
La connaissance du cours est essentielle.
-
-
-
- Définition de la dérivée D_v f(a) de la fonction f selon le vecteur v au point a et lien avec les dérivées partielles, cas où f est une norme N et a=0 ?
-
- Savoir qu’il existe des fonctions f telles que D_v f(a) existe pour tout v et qui ne sont pourtant pas continue en a (exemple sur la planche ou en cours).
-
- Définition de la différentiabilité : existence d’un D.L. 1, définition du gradient pour les fonctions à valeurs scalaires.
-
- Faire BEAUCOUP de calculs de différentielle (de gradient) avec des D.L. 1 comme ceux de la planche ex 5,6,7.
-
- Déf. des fonctions de classe C^1 : l’application x-> df(x) est continue, mais surtout caractérisation miraculeuse avec les dérivées partielles
-
- Exercices concrets où l’on utilise le point précédent (cf. planche et banque CCINP).
-
- Formule sur la différentielle d’une composée d(f o g)=, deux cas particuliers très utiles si l’espace intermédiaire est R et surtout si l’espace de départ est R (dérivée selon une courbe à savoir par coeur !)
-
- Formule d’intégration le long d’un chemin. Application si df=0 sur un ouvert c.p.a. alors f est constante.
-
- C.N. d’extremum local en un point d’un ouvert : point critique.
-
- Vecteur tangent en un point x à un sous-ensemble Xde R^n : définition, exemples, structure de cône de l’ensemble T_x X de ces vecteurs.
-
- Exemple si X est une sphère (savoir refaire) dans R^n.
-
- Cas général d’un point régulier x d’une hypersurface g=0 : T_x X=ker dg(x).
-
-
Banque CCINP pour cette semaine : ex 33,52, 57, 58.
Planche : les exercices exigibles pour lundi sont les ex 1 à 6. Ceux qui correspondent au programme de la semaine sont les ex. 1 à 12.
Semaine 21 : du lundi 13 mars.
Thème principal : fonctions d’une variable réelle à valeurs vectorielles.
Un cours où on apprend quand même quelques petites choses sur la dérivation.. avant le calcul diff qui entrera dans le vif du sujet.
Questions de cours :
-
- Trois définitions équivalentes de la dérivabilité pour f : I -> E (dém. non demandée)
-
- Dérivée de L o f si f est dérivable de I dans E et L est linéaire de E dans F (dém.)
-
- Dérivée de B(f,g) si f (resp. g) sont dérivables de I dans E (resp. dans F) et B : E x F-> G est bilinéaire
-
- Extension du point précédent aux applications n-linéaires (typiquement déterminant).
-
- T.A.F. généralisé à deux fonctions » f'(c) (g(b)-g(a))=g'(c)(f(b)-f(a)) » démonstration vectorielle
-
- Dérivation de t-> exp(tA) par théorème de dérivation terme à terme à valeurs vectorielles
-
- Inégalité triangulaire pour les intégrales de fonctions vectorielles et application à l’I.A.F. dans l’hypothèse C^1.
-
- Formules de Taylor à savoir parfaitement.
La Planche-F1 a été traitée en classe sauf les deux derniers exercices qui le seront lundi. On pourra aussi bien sûr aussi poser des exercices de révisions de première année sur la dérivation et le caractère C^k/D^k des fonctions à valeurs réelles.
Par exemple l’équivalence D^1 <-> admet un D.L. 1, le contre-exemple pour DL_2 n’entraîne pas D^2 ont été revus…, hypothèses de Taylor-Young etc…. et des exemples d’utilisations des formules de Taylor globales seront bienvenus.
Semaine 20 : du lundi 6 mars.
Thème : probabilité (tout !).
Les colles commenceront par un exercice de la Banque CCINP (num. 95 à 112) ce qui, pour les élèves, fait un exercice de proba à travailler par jour pendant les vacances ! On attend de l’efficacité sur ces exercices, qui ne doivent pas, malgré leur longueur, occuper toute la colle.
Tout le programme précédent est encore exigible, et on rajoute les points suivants :
-
- Moments d’ordre r d’une v.a.d. : si X admet un moment d’ordre r alors X admet un moment d’ordre s pour tout s<r.
-
- Calculs des variances des lois usuelles et notamment géométriques et Poisson et cas de loi binomiale comme sommes de v.a. indépendantes
-
- Covariance, application à la variance d’une somme
-
- Deux inégalités de Cauchy-Schwarz dans le contexte probabiliste, l’une avec la Covariance, l’une avec (X,Y)->E(XY)
-
- Série et fonction génératrice : deux définitions. La série génératrice détermine la loi
-
- Fonction génératrice d’une somme de v.a.d. indépendantes application à la loi binomiale, à la somme de deux v.a. de Poisson indépendantes
-
- Calcul de l’espérance (resp. de E(X^2)) en dérivant la fonction génératrice
-
- Inégalité de Markov et de Tchebychev, application méthode du 1er moment ou 2ème moment pour l’étude de P(X=0).
-
- Loi faible des grands nombres: énoncé et démonstration.
La Planche-P2 a été traitée entièrement sauf les exercices 10 et 11;
La Planche-P3 n’a été que peu traitée (ex 8-9 fait en TD) mais est un bon programme de travail pour les vacances, avec des exercices plus orientés sur les problèmes d’écrits.
Semaine 19 : du lundi 13 février.
Thème : probabilités, variables aléatoires discrètes (v.a.d.) (début).
D’abord un chapitre général sur univers-tribu-probabilités, avec quelques questions de cours importantes :
-
- Définir ce qu’est une tribu et exemples simples sur la planche P1.
-
- Qu’est-ce qu’une probabilité ? Démontrer la propriété de continuité croissante.
-
- Démontrer la sous-additivité dénombrable des probabilités.
-
- Donner des propriétés de l’espace probabilisé décrivant le jeu à pile ou face infini (où l’existence de la proba est bien sûr admise) : quelle tribu, comment montrer que la probabilité des singletons est nulle.
-
- Dans l’exemple précédent donner un exemple de système quasi-complet d’événements (qui n’est pas « complet »).
-
- Evénement « A_n est réalisé infiniment souvent » décrit avec inter et union, premier lemme de Borel-Cantelli (exercice Planche-P1)
Chapitre sur les variables aléatoires discrètes:
-
- Définition d’une v.a.d. : savoir vérifier les conditions de la déf. d’une v.a.d : exemple du temps d’attente de succès dans une suite de tirages de Bernoulli (v.a.d. de loi géométrique).
-
- Caractérisation des v.a. géométriques par le caractère « sans-mémoire »
-
- Convergence en loi de v.a. suivant B(n,lambda/n) vers P(lambda)
-
- Indépendance des v.a.d. : déf. équivalentes (dém. non demandée).
-
- Espérance des v.a. géométriques et de Poisson.
-
- Propriété de l’espérance : formule de transfert, linéarité.
-
- Calcul de l’espérance à l’aide des P¨(X>x).
Toute la planche P1 a été traitée. Planche-P1 Après ces QdC plus « théoriques », poser plutôt un exercice « concret » éventuellement de révision de première année comme les exercices de la fin de la planche P.1 et des exercices très simples sur les v.a.d.
La Planche-P2 sera travaillée en début de semaine.
Semaine 18 : du lundi 6 février
Thème : endomorphismes d’un espace euclidien. Révision du programme précédent avec en plus la réduction des autoadjoints. La notion d’autoadjoint positif et défini positif est revenu au programme. Le nouveau cours est bref mais demande beaucoup de précision !
-
- Pour f autoadjoint, définir la forme bilinéaire symétrique associée à f (à savoir (x,y)-> (f(x)|y)), et la forme quadratique associée x->(f(x)|x). Chacun de ces trois objets détermine les autres : pourquoi ? (Formule de polarisation).
-
- Démontrer qu’un endomorphisme autoadjoint admet au moins une valeur propre (en se ramenant à la dim. 2).
-
- En admettant le résultat précédent, démontrer le théorème spectral pour les autoadjoints.
-
- Ecriture de la forme quadratique (mot H.P.) x-> (f(x)|x) dans une b.o.n. de dz. de f, application à une caractérisation de la plus grande et de la plus petite v.p. de f.
-
- Définition des autoadjoints positifs (resp. matrices symétriques positives) et caractérisation par le spectre.
-
- Déf. des autoadjoints définis positifs, caractérisation par le spectre, lien avec la notion de produit scalaire.
-
- Tous les exercices de la planche ont été traités sauf le 17 : Planche-R4
Pour bien ré-ancrer les habitudes liées à la réduction des endomorphismes, bien utiles ici aussi, on pourra revoir et être interrogés sur :
-
- Les exercices 10, 11, 12 de la Planche-R2
-
- Les exercices 4 à 8 et l’ex. 11 de la Planche-R3
-
- Ne pas négliger les calculs concrets : banque CCINP Ex. 68, et toujours des projections orthogonales (décidément mal comprises) CCINP Ex. 81,82, et des calculs de matrices de projections…
Bonne semaine, pendant ce temps, le cours de proba aura, j’espère, le temps d’avancer suffisamment !
Semaine 17 : du lundi 30 janvier
Thème : endomorphismes d’un espace euclidien : début, attention pas de théorème de réduction des endomorphisme autoadjoint (resp. matrices symétrique) cette semaine.
Questions de cours :
-
- Définition de l’adjoint d’un endomorphisme et prop. de l’application u-> u*
-
- Si F est un s.e.v. stable par u, alors l’orthogonal de F est stable par u*
-
- La matrice de u* dans une b.o.n. est la transposée de celle de u
-
- Déf. des isométries vectorielles et caractérisation par la conservation du produit scalaire et par f*=f^{-1}
-
- Caractérisation matricielle des isométries vectorielles et déf. des matrices orthogonale.
-
- Déterminant d’une matrice orthogonale. Donner une matrice de déterminant 1 non orthogonale.
-
- Une matrice orthogonale symétrique est une matrice de symétrie orthogonale.
-
- Thme de classification des matrices dans O_2(R).
-
- Thme de classification de toutes les isométries vectorielles : énoncé, étapes de la preuve.
On l’aura compris les héros de cette semaine sont l’adjoint et les automorphismes orthogonaux (=isométries vectorielles). Ne pas négliger aussi les normes d’opérateur comme vu sur la planche. Les autoadjoints viendront la semaine prochaine. Sur la Planche-R4 les exercices 1 à 8 ont été faits en classe.
Banque CCINP Ex. 78 : intégralement dans le cours.
Semaine 16 : du lundi 23 janvier
Thème : approximation dans les espaces de fonctions : norme infinie, norme euclidienne… et révisions de première année sur les espaces préhilbertiens.
« Question de cours » possibles :
-
- Citer le théorème d’approximation uniforme des fonctions c.p.m. par des fonctions en escalier et savoir l’appliquer pour démontrer le théorème de Riemann-Lebesgue sur un segment (thme H.P. mais à connaître aussi bien pour le résultat que pour la méthode).
-
- Citer le théorème d’approximation de Weierstrass et montrer qu’on ne peut pas espérer une CVU sur R entier car si une suite de polynômes CVU sur R entier….
-
- Savoir refaire la Q3 et le « lemme de Dirac » du TD : TD-Chap-T4-convolution-Weierstrass
-
- Espaces préhilbertiens : montrer que le produit scalaire (p.s.) est une forme bilinéaire continue.
-
- Exercice : lemme des moments :

- Exercice : lemme des moments :
-
- Savoir montrer:

- Savoir montrer:
-
- Donner des exemples de sev stricts denses dans deux espaces préhilbertiens différents.
-
- Calcul pratique de l’orthogonalisation de Gram-Schmidt : par exemple de (1,X,X^2) pour un p.s. intégrale.
-
- Formule du projeté orthogonal sur F si on a une base orthogonale de F : calculs concrets.
-
- Théorème de meilleure approximation par le projeté orthogonal, dém (Pythagore)
-
- Applications concretes de ce théorème de meilleure approximation pour la minimisation d’une intégrale…. et dans le cadre matriciel cf. Banque CCINP ex. 80, 81 et 82.
-
- Exercice de la Planche-T4: seuls les ex. 4,5,6,7 sont « exigibles ».
Semaine 15: du lundi 16 janvier
Thème : compacité, connexité par arcs et révisions de topologies des e.v.n.
On restera d’abord proche du cours (QdC) et des révisions (avec les exercices de la banque CCINP ci-dessous).
Pour les plus à l’aise, on pourra s’essayer à des exercices y compris reliés à l’algèbre linéaire… (revoir dans ce cas les exercices de la planche T2 sur la topo. matricielle).
Questions de cours possibles :
-
- Montrer le théorème de Bolzano-Weierstrass (B.W.) dans C en admettant le résultat dans R.
-
- Montrer qu’un compact de E est fermé borné dans E.
-
- Montrer qu’un fermé dans un compact est compact.
-
- Donner un exemple de fermé borné non compact (aussi exercice 13 banque CCINP sur ce sujet mais penser au cadre préhilbertien aussi).
-
- Montrer que l’image continue d’un compact est compacte.
-
- Théorème des bornes atteintes pour les fonctions d’un compact dans R.
-
- B.W. en dim. finie : les compact d’un e.v.n. de dim. finie sont les fermés bornés.
-
- Montrer qu’un s.e.v. de dim. finie est toujours fermé dans tout e.v.n.
-
- Parties connexes par arc (c.p.a.) de R?
-
- Image continue d’un c.p.a.
-
- Connexité par arc pour montrer qu’une fonction d’un intervalle I de R dans R continue injective est strictement monotone.
Les exercices sur la compacité de la Planche-T3, ont tous été traités mais certains sont difficiles.
Par contre l’exercice sur les fonctions coercives doit être bien compris et adapté à des situations simples, y compris éventuellement en variable réelle.
Révisions sur les e.v.n. : exercices sur les e.v.n. de la banque CCINP. Ex 13, 34, 35, 36, 37, 38, 44, 45.
Planches : Planche-T3, Planche-T2
Semaine 14 : du lundi 9 janvier
Structure de la colle : une question de cours qui peut être très rapide sur la dénombrabilité et un exercice plus important sur les intégrales à paramètres.
Cours et planche sur la dénombrabilité :
-
- Montrer que tout ensemble infini contient un sous-ensemble dnb,
-
- Montrer que toute partie de N est finie ou dnb, et donc aussi toute partie d’un ensemble dnb est dnb
-
- Montrer que NxN est dnb et pourquoi le produit de deux ensembles dnb est dnb
-
- Pourquoi Q est-il dnb?
-
- Une union dnb d’ensembles dnb est dnb
-
- Un produit fini d’ensemble dnb est dnb (réc. immédiate non demandée) contre-exemple pour un produit infini, construction diagonale de Cantor.
-
- Déf du développement décimal ou dyadique propre de R, application à la non dnb.
Un exercice « inconnu » sur les intégrales à paramètres :
voici les exercices des deux planches qui ont tous été traités Planche-I3 Planche-I3-P0 (sauf l’ex. sur la convolution qui est quasi immédiat).
Semaine 13 : du mardi 3 janvier
Révisions générales d’analyse sur séries numériques/ séries de fonctions/ séries entières, Intégrales généralisées/ Suites d’intégrales/Intégrales à paramètres autrement dit chapitres S1,S2,S3,I1,I2,I3.
On pourra commencer les colles par un exercice d’une des six planches de ces chapitres ou un exercice de la banche CCINP.
Planche-I1Planche-I2Planche-I3
Banque CCINP Ex 1 à 30: 30 exercices pour les vacances : deux par jour dont un au petit-déjeuner…
Les sujets à approfondir après cela sont les plus récents :
-
- séries entières (quasiment toute la planche à été traitée, les élèves devraient donc bénéficier de plus de recul sur le sujet) : privilégier déjà les aspects calculatoires quasi « algébriques » (calculs de D.S.E., E.D., D.E.S) cf. ex. 8 à 15 de la planche S3, et pour les plus avancé.e.s. on pourra aborder les questions d’analyse plus fine (ex. 16 et suivants pl. S3).
-
- intégrales à paramètres : là rester simple car la pratique doit encore s’affermir, seul les 5 premiers exercices de la planche I3 sont exigibles (le 4 et 5 devant être finis pendant les vacances). Ces intégrales à paramètres reviendront sûrement pour les colles de la semaine suivante.
Semaine 12 : du lundi 12 décembre :
Série entières : Tout le cours a été fait mais nous n’avons vraiment travaillé en exercice que des déterminations de rayon de convergence. Donc on pourra commencer les colles, outre les questions de cours, par ces questions de détermination de rayon de convergence.
Dans le cours :
-
- Lemme d’Abel, dém. et (prop.-)-définition du rayon de convergence.
-
- Lemme de d’Alembert pour les séries entières : dém. avec le lemme pour les séries numériques.
-
- Prop. ;

ont même rayon de convergence (au programme officiel pour alpha=1, démontrée, pour pas plus cher pour alpha qcq donc je pense qu’on peut s’en servir pour alpha quelconque).
- Prop. ;
-
- Rayon de convergence d’une somme et produit de Cauchy.
-
- Continuité de la fonction somme dans le disque ouvert de convergence.
-
- Pour ce qui la variable est réelle :
-
- Théorème de continuité radiale d’Abel : énoncé seulement, mais savoir l’appliquer sur des exemples (série harmonique alternée…)
-
- Dérivation terme à terme automatique pour les sommes de séries entières
-
- unicité des coefficients du D.S.E., série de Taylor, rigidité des fonctions D.S.E.
-
- Pour ce qui la variable est réelle :
-
- DSE des fonctions usuelles : preuve de la formule du binôme (1+x)^a pour a réel avec la méthode de l’E.D.
-
- Banque CCINP cf haut de la planche.
Planche : les ex 1 à 5 ont été traités en classes. Pour les étudiants, on traitera au moins jusqu’au 10 lundi. Planche-S3
Pour les 5/2 (voire les 3/2) en avance, qui auraient fait tous les DM etc.. la planche S3 ci-jointe a une page 3 🙂 que je vous imprimerai lundi.
Semaine 11 : du lundi 5 décembre :
Suites d’intégrales : convergence dominée et intégration terme à terme.
D’abord révision du programme précédent, notamment toujours soigner les justifications d’intégrabilité ou de convergence de l’intégrale.
Pour les colleurs : une nouveauté cette année, le théorème d’intégration terme à terme dans le cas des intégrales de fonctions POSITIVES, avec hypothèses simplifiées (Beppo-Levi), qui simplifie donc la rédaction.
« Questions de cours » possibles :
-
- Exercice : Montrer que si I est BORNE et (f_n) est une suite de fonctions L^1 sur I qui CVU sur I vers une fonction f c.p.m. alors f est L^1 et la suite des intégrales des (f_n) CV vers celle de f (généralisation du théorème connu sur les segments au cas borné).
-
- Donner un exemple où le résultat précédent n’est PAS vrai avec I un intervalle non borné. Expliquer le problème.
-
- Application du T.C.D. avec des « bornes variables »:

- Application du T.C.D. avec des « bornes variables »:
-
- Etude des intégrales de Wallis : détermination d’un équivalent
-
- Méthode l’I.P.P fait sortir le terme prépondérant pour un équivalent de :

- Méthode l’I.P.P fait sortir le terme prépondérant pour un équivalent de :
-
- Le même équivalent par la méthode de changement de variable.
-
- Intégration terme à terme d’une CVU sur un segment :
-
-
-
- application aux séries entières : montrer que :

- application aux séries entières : montrer que :
-
- applications aux séries trigonométriques (très important car H.P. mais dans tellement de sujets d’écrits de maths et dans le cours de physique)

- applications aux séries trigonométriques (très important car H.P. mais dans tellement de sujets d’écrits de maths et dans le cours de physique)
-
-
-
- Intégration terme à terme d’une CVU sur un segment :
-
- Théorème d’intégration terme à terme de Lebesgue en deux théorèmes : cas positif et cas signe quelconque. Exemple du second cas :
-
- Ce qu’on fait quand le théorème ne s’applique pas. Exemple :

- Ce qu’on fait quand le théorème ne s’applique pas. Exemple :
-
- Planche I2 : les exercices 1 à 4 ainsi que le 6 ont été faits en classe cette semaine. D’autres seront corrigés lundi. Planche-I2
Semaine 10 : du lundi 28 novembre :
Intégrales (des fonctions continues par morceaux) sur un intervalle quelconque :
Notion d’intégrale convergente/divergente
Notion d’intégrale absolument convergente et notion associée de fonction intégrable.
On commencera la colle par une étude d’intégrabilité de fonction à l’aide des théorèmes de comparaison : o, O, équivalents, majorations de l’intégrande.
Pour les étudiants : majoration toujours de la valeur absolue de l’intégrande !
Exemple d’intégrale semi-convergente : cas de sin(t)/t^a avec a dans ]0,1], expliquer.
Théorème d’intégration des relations de comparaison, et méthode d’I.P.P. pour trouver des équivalents.
Révisions intensive des méthodes de CALCUL d’intégrales, tableau de primitive à bien connnaître, méthodes pour les fonctions rationnelles, ou trigonométriques …
Pour les colleurs : pas de théorème de Lebesgue cette semaine .
Planche : Planche-I1 : seulement les ex1 et 2 ont été traités en classe pour l’instant, mais ils donnent bien le ton de style d’exercice par lesquels les colles pourront commencer.
Bonne semaine à tous.
rb
Semaine 9 : du lundi 21 novembre :
Suites et séries de fonctions :
Convergence simple, uniforme, uniforme sur tout segment, normale et théorème de régularités des limites C^0,C^1, C^p (avec valeur des dérivées..) , intégration sur un segment, interversion des limites, déclinés en version suites et séries.
Connaissance précise des théorèmes et application efficace des méthodes !
-
- On pourra demander un énoncé précis de théorème en début de colle.
-
- Démonstration du théorème de continuité d’une limite uniforme d’une suite de fonction continue.
-
- Démonstration du théorème d’intégration d’une limite uniforme sur un segment.
-
- Le théorème d’interversion des limites a été admis.
-
- Exemple de la fonction zeta réelle : caractère C infini, limite à l’infini
-
- Exemple de la suite de fonctions x-> n sin(x/n) méthode pour la CVU sur les segments et pourquoi on n’ a pas CVU sur R
-
- Méthode d’encadrement par des intégrales pour un équivalent quand x->0 de la somme des exp(-x sqrt(n)).
Exercice de la Planche-S2 : les ex 1 à 6 a) ont été traités en classe, donnent un bon échantillon des méthodes de base.
Semaine 8 : du lundi 14 novembre :
Topologie : en plus du programme précédent :
-
- ouverts et fermés relatifs : définition d’un ouvert de A, d’un fermé de A, caractérisations (démo non exigibles).
-
- déf. de la continuité en un point et caractérisation avec les voisinages avec démonstration.
-
- caractérisation globale de la continuité : f est continue de A dans F ssi la préimage d’un ouvert de F est un ouvert de A (resp. d’un fermé) : démo. non exigible, par contre : savoir bien la mettre en oeuvre pour montrer que tel ensemble est ouvert ou fermé.
-
- Savoir justifier qu’une application donnée est continue : théorème d’opération, continuité des formes coordonnées, et donc des fonctions polynomiales ou rationnelles.
-
- Une fonction à valeur dans K^n est continue ssi ses composantes le sont (dém).
-
- Justifier la continuité de l’application A -> A¨^{-1} sur GL¨_n(K).
-
- Définir ce qu’est un homéomorphisme et pourquoi l’image d’un ouvert par un homéo est un ouvert.
-
- Montrer que x-> d(x,A) est 1 -lipschitzienne.
-
- Caractérisation de la continuité des applications linéaires : 5 conditions, avec dém.
-
- Définition de la norme d’opérateur (trois formules équivalentes).
-
- Calcul pratique de cette norme sur des exemples (cf. ex CCINP 37).
La planche T2 a gagné un verso : Planche-T2 On pourra poser comme exercice « connu » un exercice de topologie matricielle ex. 7 à 10 ou l’ex. 16. Les autres seront corrigés en début de semaine.
Banque CCINP : Ex 35, 36, et une des trois questions de l’ex. 38.
Semaine 7 : du lundi 7 novembre :
Début de la topologie : normes, suites d’un e.v.n. (séries en dim. finie), mais aussi ouverts, fermés, intérieur, adhérence.
On pourra commencer la colle par une question de cours dans cette liste :
-
- Montrer que la norme infinie sur l’espace des fonctions bornées est bien une norme (on sera très précis pour les arguments sur les sup.)
-
- définir ce qu’est une norme d’algèbre, en donner des exemples dans l’algèbre des fonctions bornées, et dans l’algèbre des matrices carrées.
-
- Théorème pour les produits de limites de suites dans une algèbre normée.
-
- Justifier que dans un evn de dim. finie, la convergence d’une suite se vérifie « coordonnée par coordonnée ».
-
- Justifier que dans un evn de dim. finie, une série absolument convergente est convergente.
-
- Justification de l’existence de l’exp. matricielle.
-
- Montrer qu’une boule ouverte est ouverte, une boule fermée est fermée.
-
- Montrer que l’intérieur d’une boule fermée est la boule ouverte
-
- Montrer que l’adhérence d’une boule ouverte est la boule fermée
-
- Montrer qu’un s.e.v. strict est d’intérieur vide.
-
- Caractérisation séquentielle des points adhérence.
-
- Lien complémentaire de l’adhérence/intérieur du complémentaire..
Voilà ça fait pas mal de cours pour ces vacances !!
Pour les planches : Planche-T1 tout a été fait sauf les ex. 8 et 10.
Planche-T2 : là encore des exercices seront faits pendant les vacances je comte sur vous étudiants et étudiantes. Lien vers les solutions.
Semaine 6 : du lundi 17 octobre :
Dernière semaine sur la réduction et l’algèbre linéaire, cette fois, on a du recul ! En plus des programmes précédents ;
-
- Trigonalisation : démonstration par récurrence du théorème qui dit qu’un endomorphisme ayant polynôme annulateur scindé est tz.
-
- Caractérisations des nilpotents en termes de v.p. dans C et autre (des équivalences très simples !)
-
- Les élèves doivent savoir conduire la trigonalisation concrète d’une matrice 2x 2, et d’une matrice 3 x 3 et même la réduction sous forme de Jordan dans ces cas particuliers (deux cas en dim. 3…)
-
- Théorème de décomposition sur les s.e.v. caractéristiques : donne une tz précisée.
Sur la planche R3 : PlancheR3 les ex 1,2 et 4 à 10 ont été traités en classes et peuvent être posés en « question de cours ». L’ex. 3 est une synthèses des choses dites en cours et dans les exercices 1, 2 , 10… donc est aussi « connu ».
On peut encore poser des exercices de la banque CCINP sur la réductions (ceux marqués les semaines précédentes).
Enfin, pour les colleurs, si vous en avez assez de l’algèbre linéaire, vous pouvez poser un exercice sur les normes (vérifier que ceci est ou n’est pas une norme) : une question de cours importante sur les manipulations de sup. : montrer que la norme infinie sur l’espace des fonctions bornées est bien une norme.
Semaine 5: du lundi 10 octobre :
Cette semaine, tout sur la diagonalisation, les polynômes caractéristiques, Cayley-Hamilton et bien sûr tout le programme précédent .. Pas de trigonalisation encore cette semaine, merci.
Nous avons fait beaucoup d’exercices : tous ceux de la Planche-R2
ont été travaillés et corrigés en classe sauf l’ex. 4 et 15 et peuvent être reposés en colle.
Pour les « questions de cours » : penser aussi aux exercices de la banque CCINP marqués en début de planche R2 et questions suivantes :
-
- Calcul du polynôme caractéristique d’une matrice compagnon.
-
- Justifier que la multiplicité géométrique d’une v.p. est inférieure ou égale à sa multiplicité algébrique.
Pour les étudiants : il est inadmissible que les questions de cours/exercices de planche ne soient pas sus en colle.
Pour les examinateurs : merci de sanctionner très nettement ces cas là au moins par une note en dessous de la moyenne.
Semaine 4: du lundi 3 octobre :
Début de l’étude de la diagonalisation.
-
- Révisions sur les formules de changement de base, pour les vecteurs et les applications linéaires.
-
- valeurs propres, vecteurs propres : recherche à l’aide de l’équation aux valeurs propres sur des exemples en dim. finie ou infinie
-
- caractérisation : lambda v.p. d’une matrice A ssi det(A-lambda I)=0, application aux v.p. des matrices triangulaires
-
- Démonstration(s) du fait que des s.e.v. propres associés à des v.p. distinctes sont en somme directe
-
- Si lambda est v.p. d’un endomorphisme L et si P est un polynôme alors P(lambda) est v.p. de P(L). Conséquence si P est annulateur de L
-
- Les v.p. de L sont exactement les racines du polynôme minimal de L.
-
- Théorème de décomposition des noyaux : démonstration pour un produit de deux polynômes. On sera spécialement attentif à la bonne compréhension des objets manipulés (P(L)(x) et pas P(L(x)) et (PQ)(L)=P(L)o Q(L) etc…)
-
- Savoir donner le maximum de caractérisation d’une matrice diagonalisable et la C.S. « n v.p. distinctes en dim. n « .
Pour les exercices : on a traité les exercices 1 à 6 et 9 et 10 de la planche PlancheR1 . Le reste sera traité en tout début de semaine. Ne pas oublier les exercices de la Banque CCINP en haut de planche.
Je n’ai pas encore prononcé le mot « polynôme caractéristique » ce n’est pas le héros de cette semaine même si on l’a rencontré au détour du chemin (cf. plus haut avec les matrices triangulaires).
Semaine 3 : du lundi 26 septembre
L’essentiel : toujours des révisions d’algèbre linéaire de première année et un peu d’arithmétique des polynômes et de polynômes appliqués aux matrices.
Beaucoup de ‘questions de cours’ possibles :
-
- Toute la Planche-R0 a été faite en classe. On pourra demander de retraiter un exercice de cette planche en question de cours.
-
- On pourra aussi vérifier la connaissance des théorèmes de première année : par exemple, les théorèmes sur le rang (notion dont je me suis aperçu qu’elle était mal connue) !
-
-
-
- caractérisation du rang avec les matrices extraites,
-
- le fait que toute matrice de rang r soit équivalente à une matrice ‘J_r’,
-
- ou encore qu’une matrice et sa transposée ont le même rang.
-
-
-
- On pourra aussi vérifier la connaissance des théorèmes de première année : par exemple, les théorèmes sur le rang (notion dont je me suis aperçu qu’elle était mal connue) !
Les étudiants devront donner au moins une idée de démonstration de ces résultats.
-
- Le cours de la semaine : Arithmétique/Polynôme et Polynômes appliqués à des matrices.
Question sur cours :-
- savoir définir un idéal et savoir pourquoi les idéaux de K[X] sont principaux,
-
- savoir la prop-définition du PGCD et PPCM avec les idéaux et pourquoi cette déf entraîne immédiatement que tout multiple commun est un multiple du PPCM et tout diviseur commun est un diviseur du PGCD
-
- Savoir la caractérisation des éléments inversibles dans Z/nZ.
-
- Propriété définition du polynôme minimal d’une matrice, d’un endomorphisme.
-
- Connaitre le polynôme minimal d’une matrice diagonale.
-
- Savoir pourquoi l’inverse d’une matrice A est un polynôme en A.
-
- Savoir pourquoi P(A) inversible dans M_n(K) ssi P et mu_A sont premiers entre eux.
-
- Le cours de la semaine : Arithmétique/Polynôme et Polynômes appliqués à des matrices.
On pourra aussi poser un exercice de révision sur les polynômes (divisibilité,polynôme irréductibles). Dans la planche suivante seuls les exercices 1 à 3 ont été faits en classe à ce stade mais les exercices 4 à 7 sont tout à fait dans l’esprit du programme de colle et seront corrigés lundi : Planche-A1
Semaine 2 du lundi 19 septembre : séries et révisions d’algèbres linéaire.
Encore un peu de séries : toute la planche a été travaillée en classe sauf les exercices 19 et 20 donc les étudiants ont beaucoup plus d’expérience. Ne pas hésiter aussi à tester un exercice avec une famille sommable. PlancheS1
Révisions et compléments d’algèbre linéaire : un peu de cours sur sommes directes de plusieurs s.e.v, matrices par blocs, déterminants par blocs. Le cours complet est ici : Semaine2-R0
Et nous avons fait les 8 premiers exercices de la planche Planche-R0 Pour les étudiants, bien revoir les déterminants même si nous ne corrigerons les exercices sur les déterminants qu’en début de semaine. N’oubliez pas aussi les exercices de la banque CCINP marqués en haut de la planche R0.
———————————————————————————————————————
Semaine 1 du lundi 12 septembre : séries numériques.
Cette semaine nous avons traité en classe les exercices 1 à 8 de la planche S1 ci-dessous ainsi que l’exercice 11 a). Ces exercices, ainsi que les exercices de la banque CCINP marqués en haut de la planche, peuvent être posés en premier exercice de la colle pour voir si les méthodes ont bien été retenues.
On testera en tous cas systématiquement que les élèves sont bien à l’aise avec les manipulations d’équivalents et D.L. aussi bien pour les séries à termes positifs (variantes d’ex. 2, 3,4) que de D.L. encore pour les séries de signe variable (variantes de l’ex. 11).
Planche S1 : PlancheS1
L’ensemble du cours a été traité, on peut aussi poser en question de cours (alternative à un des exercices de la planche) :
-
- Définition de la divergence grossière, et savoir démontrer que si la série de terme général (u_n) converge alors (u_n) tend vers zéro.
-
- Test de d’Alembert avec démonstration.
-
- Sur la comparaison série/intégrale, pour les colleurs le programme officiel a un peu changé il s’agit maintenant plus d’un savoir faire que d’un résultat, savoir justifier le D.A. de H_n à la précision o(1).
-
- Citer précisément le théorème de sommation des relations de comparaison et démontrer un cas.
-
- Citer le Théorème spécial pour certaines séries alternées avec comme conclusion aussi le signe du reste et la majoration du reste.
-
- Savoir mettre en oeuvre le lien suites/séries pour gagner un terme supplémentaire dans le D.A. de H_n. (précision o(1/n)).
PAS de familles sommables cette semaine.
Semaine 4: du lundi 3 octobre :
Début de l’étude de la diagonalisation.
-
- Révisions sur les formules de changement de base, pour les vecteurs et les applications linéaires.
-
- valeurs propres, vecteurs propres : recherche à l’aide de l’équation aux valeurs propres sur des exemples en dim. finie ou infinie
-
- caractérisation : lambda v.p. d’une matrice A ssi det(A-lambda I)=0, application aux v.p. des matrices triangulaires
-
- Démonstration(s) du fait que des s.e.v. propres associés à des v.p. distinctes sont en somme directe
-
- Si lambda est v.p. d’un endomorphisme L et si P est un polynôme alors P(lambda) est v.p. de P(L). Conséquence si P est annulateur de L
-
- Les v.p. de L sont exactement les racines du polynôme minimal de L.
-
- Théorème de décomposition des noyaux : démonstration pour un produit de deux polynômes. On sera spécialement attentif à la bonne compréhension des objets manipulés (P(L)(x) et pas P(L(x)) et (PQ)(L)=P(L)o Q(L) etc…)
-
- Savoir donner le maximum de caractérisation d’une matrice diagonalisable et la C.S. « n v.p. distinctes en dim. n « .
Pour les exercices : on a traité les exercices 1 à 6 et 9 et 10 de la planche PlancheR1 . Le reste sera traité en tout début de semaine. Ne pas oublier les exercices de la Banque CCINP en haut de planche.
Je n’ai pas encore prononcé le mot « polynôme caractéristique » ce n’est pas le héros de cette semaine même si on l’a rencontré au détour du chemin (cf. plus haut avec les matrices triangulaires).
Semaine 3 : du lundi 26 septembre
L’essentiel : toujours des révisions d’algèbre linéaire de première année et un peu d’arithmétique des polynômes et de polynômes appliqués aux matrices.
Beaucoup de ‘questions de cours’ possibles :
-
- Toute la Planche-R0 a été faite en classe. On pourra demander de retraiter un exercice de cette planche en question de cours.
-
- On pourra aussi vérifier la connaissance des théorèmes de première année : par exemple, les théorèmes sur le rang (notion dont je me suis aperçu qu’elle était mal connue) !
-
-
-
- caractérisation du rang avec les matrices extraites,
-
- le fait que toute matrice de rang r soit équivalente à une matrice ‘J_r’,
-
- ou encore qu’une matrice et sa transposée ont le même rang.
-
-
-
- On pourra aussi vérifier la connaissance des théorèmes de première année : par exemple, les théorèmes sur le rang (notion dont je me suis aperçu qu’elle était mal connue) !
Les étudiants devront donner au moins une idée de démonstration de ces résultats.
-
- Le cours de la semaine : Arithmétique/Polynôme et Polynômes appliqués à des matrices.
Question sur cours :-
- savoir définir un idéal et savoir pourquoi les idéaux de K[X] sont principaux,
-
- savoir la prop-définition du PGCD et PPCM avec les idéaux et pourquoi cette déf entraîne immédiatement que tout multiple commun est un multiple du PPCM et tout diviseur commun est un diviseur du PGCD
-
- Savoir la caractérisation des éléments inversibles dans Z/nZ.
-
- Propriété définition du polynôme minimal d’une matrice, d’un endomorphisme.
-
- Connaitre le polynôme minimal d’une matrice diagonale.
-
- Savoir pourquoi l’inverse d’une matrice A est un polynôme en A.
-
- Savoir pourquoi P(A) inversible dans M_n(K) ssi P et mu_A sont premiers entre eux.
-
- Le cours de la semaine : Arithmétique/Polynôme et Polynômes appliqués à des matrices.
On pourra aussi poser un exercice de révision sur les polynômes (divisibilité,polynôme irréductibles). Dans la planche suivante seuls les exercices 1 à 3 ont été faits en classe à ce stade mais les exercices 4 à 7 sont tout à fait dans l’esprit du programme de colle et seront corrigés lundi : Planche-A1
Semaine 2 du lundi 19 septembre : séries et révisions d’algèbres linéaire.
Encore un peu de séries : toute la planche a été travaillée en classe sauf les exercices 19 et 20 donc les étudiants ont beaucoup plus d’expérience. Ne pas hésiter aussi à tester un exercice avec une famille sommable. PlancheS1
Révisions et compléments d’algèbre linéaire : un peu de cours sur sommes directes de plusieurs s.e.v, matrices par blocs, déterminants par blocs. Le cours complet est ici : Semaine2-R0
Et nous avons fait les 8 premiers exercices de la planche Planche-R0 Pour les étudiants, bien revoir les déterminants même si nous ne corrigerons les exercices sur les déterminants qu’en début de semaine. N’oubliez pas aussi les exercices de la banque CCINP marqués en haut de la planche R0.
———————————————————————————————————————
Semaine 1 du lundi 12 septembre : séries numériques.
Cette semaine nous avons traité en classe les exercices 1 à 8 de la planche S1 ci-dessous ainsi que l’exercice 11 a). Ces exercices, ainsi que les exercices de la banque CCINP marqués en haut de la planche, peuvent être posés en premier exercice de la colle pour voir si les méthodes ont bien été retenues.
On testera en tous cas systématiquement que les élèves sont bien à l’aise avec les manipulations d’équivalents et D.L. aussi bien pour les séries à termes positifs (variantes d’ex. 2, 3,4) que de D.L. encore pour les séries de signe variable (variantes de l’ex. 11).
Planche S1 : PlancheS1
L’ensemble du cours a été traité, on peut aussi poser en question de cours (alternative à un des exercices de la planche) :
-
- Définition de la divergence grossière, et savoir démontrer que si la série de terme général (u_n) converge alors (u_n) tend vers zéro.
-
- Test de d’Alembert avec démonstration.
-
- Sur la comparaison série/intégrale, pour les colleurs le programme officiel a un peu changé il s’agit maintenant plus d’un savoir faire que d’un résultat, savoir justifier le D.A. de H_n à la précision o(1).
-
- Citer précisément le théorème de sommation des relations de comparaison et démontrer un cas.
-
- Citer le Théorème spécial pour certaines séries alternées avec comme conclusion aussi le signe du reste et la majoration du reste.
-
- Savoir mettre en oeuvre le lien suites/séries pour gagner un terme supplémentaire dans le D.A. de H_n. (précision o(1/n)).
PAS de familles sommables cette semaine.
Semaine 8 : du lundi 14 novembre :
Topologie : en plus du programme précédent :
-
- ouverts et fermés relatifs : définition d’un ouvert de A, d’un fermé de A, caractérisations (démo non exigibles).
-
- déf. de la continuité en un point et caractérisation avec les voisinages avec démonstration.
-
- caractérisation globale de la continuité : f est continue de A dans F ssi la préimage d’un ouvert de F est un ouvert de A (resp. d’un fermé) : démo. non exigible, par contre : savoir bien la mettre en oeuvre pour montrer que tel ensemble est ouvert ou fermé.
-
- Savoir justifier qu’une application donnée est continue : théorème d’opération, continuité des formes coordonnées, et donc des fonctions polynomiales ou rationnelles.
-
- Une fonction à valeur dans K^n est continue ssi ses composantes le sont (dém).
-
- Justifier la continuité de l’application A -> A¨^{-1} sur GL¨_n(K).
-
- Définir ce qu’est un homéomorphisme et pourquoi l’image d’un ouvert par un homéo est un ouvert.
-
- Montrer que x-> d(x,A) est 1 -lipschitzienne.
-
- Caractérisation de la continuité des applications linéaires : 5 conditions, avec dém.
-
- Définition de la norme d’opérateur (trois formules équivalentes).
-
- Calcul pratique de cette norme sur des exemples (cf. ex CCINP 37).
La planche T2 a gagné un verso : Planche-T2 On pourra poser comme exercice « connu » un exercice de topologie matricielle ex. 7 à 10 ou l’ex. 16. Les autres seront corrigés en début de semaine.
Banque CCINP : Ex 35, 36, et une des trois questions de l’ex. 38.
Semaine 7 : du lundi 7 novembre :
Début de la topologie : normes, suites d’un e.v.n. (séries en dim. finie), mais aussi ouverts, fermés, intérieur, adhérence.
On pourra commencer la colle par une question de cours dans cette liste :
-
- Montrer que la norme infinie sur l’espace des fonctions bornées est bien une norme (on sera très précis pour les arguments sur les sup.)
-
- définir ce qu’est une norme d’algèbre, en donner des exemples dans l’algèbre des fonctions bornées, et dans l’algèbre des matrices carrées.
-
- Théorème pour les produits de limites de suites dans une algèbre normée.
-
- Justifier que dans un evn de dim. finie, la convergence d’une suite se vérifie « coordonnée par coordonnée ».
-
- Justifier que dans un evn de dim. finie, une série absolument convergente est convergente.
-
- Justification de l’existence de l’exp. matricielle.
-
- Montrer qu’une boule ouverte est ouverte, une boule fermée est fermée.
-
- Montrer que l’intérieur d’une boule fermée est la boule ouverte
-
- Montrer que l’adhérence d’une boule ouverte est la boule fermée
-
- Montrer qu’un s.e.v. strict est d’intérieur vide.
-
- Caractérisation séquentielle des points adhérence.
-
- Lien complémentaire de l’adhérence/intérieur du complémentaire..
Voilà ça fait pas mal de cours pour ces vacances !!
Pour les planches : Planche-T1 tout a été fait sauf les ex. 8 et 10.
Planche-T2 : là encore des exercices seront faits pendant les vacances je comte sur vous étudiants et étudiantes. Lien vers les solutions.
Semaine 6 : du lundi 17 octobre :
Dernière semaine sur la réduction et l’algèbre linéaire, cette fois, on a du recul ! En plus des programmes précédents ;
-
- Trigonalisation : démonstration par récurrence du théorème qui dit qu’un endomorphisme ayant polynôme annulateur scindé est tz.
-
- Caractérisations des nilpotents en termes de v.p. dans C et autre (des équivalences très simples !)
-
- Les élèves doivent savoir conduire la trigonalisation concrète d’une matrice 2x 2, et d’une matrice 3 x 3 et même la réduction sous forme de Jordan dans ces cas particuliers (deux cas en dim. 3…)
-
- Théorème de décomposition sur les s.e.v. caractéristiques : donne une tz précisée.
Sur la planche R3 : PlancheR3 les ex 1,2 et 4 à 10 ont été traités en classes et peuvent être posés en « question de cours ». L’ex. 3 est une synthèses des choses dites en cours et dans les exercices 1, 2 , 10… donc est aussi « connu ».
On peut encore poser des exercices de la banque CCINP sur la réductions (ceux marqués les semaines précédentes).
Enfin, pour les colleurs, si vous en avez assez de l’algèbre linéaire, vous pouvez poser un exercice sur les normes (vérifier que ceci est ou n’est pas une norme) : une question de cours importante sur les manipulations de sup. : montrer que la norme infinie sur l’espace des fonctions bornées est bien une norme.
Semaine 5: du lundi 10 octobre :
Cette semaine, tout sur la diagonalisation, les polynômes caractéristiques, Cayley-Hamilton et bien sûr tout le programme précédent .. Pas de trigonalisation encore cette semaine, merci.
Nous avons fait beaucoup d’exercices : tous ceux de la Planche-R2
ont été travaillés et corrigés en classe sauf l’ex. 4 et 15 et peuvent être reposés en colle.
Pour les « questions de cours » : penser aussi aux exercices de la banque CCINP marqués en début de planche R2 et questions suivantes :
-
- Calcul du polynôme caractéristique d’une matrice compagnon.
-
- Justifier que la multiplicité géométrique d’une v.p. est inférieure ou égale à sa multiplicité algébrique.
Pour les étudiants : il est inadmissible que les questions de cours/exercices de planche ne soient pas sus en colle.
Pour les examinateurs : merci de sanctionner très nettement ces cas là au moins par une note en dessous de la moyenne.
Semaine 4: du lundi 3 octobre :
Début de l’étude de la diagonalisation.
-
- Révisions sur les formules de changement de base, pour les vecteurs et les applications linéaires.
-
- valeurs propres, vecteurs propres : recherche à l’aide de l’équation aux valeurs propres sur des exemples en dim. finie ou infinie
-
- caractérisation : lambda v.p. d’une matrice A ssi det(A-lambda I)=0, application aux v.p. des matrices triangulaires
-
- Démonstration(s) du fait que des s.e.v. propres associés à des v.p. distinctes sont en somme directe
-
- Si lambda est v.p. d’un endomorphisme L et si P est un polynôme alors P(lambda) est v.p. de P(L). Conséquence si P est annulateur de L
-
- Les v.p. de L sont exactement les racines du polynôme minimal de L.
-
- Théorème de décomposition des noyaux : démonstration pour un produit de deux polynômes. On sera spécialement attentif à la bonne compréhension des objets manipulés (P(L)(x) et pas P(L(x)) et (PQ)(L)=P(L)o Q(L) etc…)
-
- Savoir donner le maximum de caractérisation d’une matrice diagonalisable et la C.S. « n v.p. distinctes en dim. n « .
Pour les exercices : on a traité les exercices 1 à 6 et 9 et 10 de la planche PlancheR1 . Le reste sera traité en tout début de semaine. Ne pas oublier les exercices de la Banque CCINP en haut de planche.
Je n’ai pas encore prononcé le mot « polynôme caractéristique » ce n’est pas le héros de cette semaine même si on l’a rencontré au détour du chemin (cf. plus haut avec les matrices triangulaires).
Semaine 3 : du lundi 26 septembre
L’essentiel : toujours des révisions d’algèbre linéaire de première année et un peu d’arithmétique des polynômes et de polynômes appliqués aux matrices.
Beaucoup de ‘questions de cours’ possibles :
-
- Toute la Planche-R0 a été faite en classe. On pourra demander de retraiter un exercice de cette planche en question de cours.
-
- On pourra aussi vérifier la connaissance des théorèmes de première année : par exemple, les théorèmes sur le rang (notion dont je me suis aperçu qu’elle était mal connue) !
-
-
-
- caractérisation du rang avec les matrices extraites,
-
- le fait que toute matrice de rang r soit équivalente à une matrice ‘J_r’,
-
- ou encore qu’une matrice et sa transposée ont le même rang.
-
-
-
- On pourra aussi vérifier la connaissance des théorèmes de première année : par exemple, les théorèmes sur le rang (notion dont je me suis aperçu qu’elle était mal connue) !
Les étudiants devront donner au moins une idée de démonstration de ces résultats.
-
- Le cours de la semaine : Arithmétique/Polynôme et Polynômes appliqués à des matrices.
Question sur cours :-
- savoir définir un idéal et savoir pourquoi les idéaux de K[X] sont principaux,
-
- savoir la prop-définition du PGCD et PPCM avec les idéaux et pourquoi cette déf entraîne immédiatement que tout multiple commun est un multiple du PPCM et tout diviseur commun est un diviseur du PGCD
-
- Savoir la caractérisation des éléments inversibles dans Z/nZ.
-
- Propriété définition du polynôme minimal d’une matrice, d’un endomorphisme.
-
- Connaitre le polynôme minimal d’une matrice diagonale.
-
- Savoir pourquoi l’inverse d’une matrice A est un polynôme en A.
-
- Savoir pourquoi P(A) inversible dans M_n(K) ssi P et mu_A sont premiers entre eux.
-
- Le cours de la semaine : Arithmétique/Polynôme et Polynômes appliqués à des matrices.
On pourra aussi poser un exercice de révision sur les polynômes (divisibilité,polynôme irréductibles). Dans la planche suivante seuls les exercices 1 à 3 ont été faits en classe à ce stade mais les exercices 4 à 7 sont tout à fait dans l’esprit du programme de colle et seront corrigés lundi : Planche-A1
Semaine 2 du lundi 19 septembre : séries et révisions d’algèbres linéaire.
Encore un peu de séries : toute la planche a été travaillée en classe sauf les exercices 19 et 20 donc les étudiants ont beaucoup plus d’expérience. Ne pas hésiter aussi à tester un exercice avec une famille sommable. PlancheS1
Révisions et compléments d’algèbre linéaire : un peu de cours sur sommes directes de plusieurs s.e.v, matrices par blocs, déterminants par blocs. Le cours complet est ici : Semaine2-R0
Et nous avons fait les 8 premiers exercices de la planche Planche-R0 Pour les étudiants, bien revoir les déterminants même si nous ne corrigerons les exercices sur les déterminants qu’en début de semaine. N’oubliez pas aussi les exercices de la banque CCINP marqués en haut de la planche R0.
———————————————————————————————————————
Semaine 1 du lundi 12 septembre : séries numériques.
Cette semaine nous avons traité en classe les exercices 1 à 8 de la planche S1 ci-dessous ainsi que l’exercice 11 a). Ces exercices, ainsi que les exercices de la banque CCINP marqués en haut de la planche, peuvent être posés en premier exercice de la colle pour voir si les méthodes ont bien été retenues.
On testera en tous cas systématiquement que les élèves sont bien à l’aise avec les manipulations d’équivalents et D.L. aussi bien pour les séries à termes positifs (variantes d’ex. 2, 3,4) que de D.L. encore pour les séries de signe variable (variantes de l’ex. 11).
Planche S1 : PlancheS1
L’ensemble du cours a été traité, on peut aussi poser en question de cours (alternative à un des exercices de la planche) :
-
- Définition de la divergence grossière, et savoir démontrer que si la série de terme général (u_n) converge alors (u_n) tend vers zéro.
-
- Test de d’Alembert avec démonstration.
-
- Sur la comparaison série/intégrale, pour les colleurs le programme officiel a un peu changé il s’agit maintenant plus d’un savoir faire que d’un résultat, savoir justifier le D.A. de H_n à la précision o(1).
-
- Citer précisément le théorème de sommation des relations de comparaison et démontrer un cas.
-
- Citer le Théorème spécial pour certaines séries alternées avec comme conclusion aussi le signe du reste et la majoration du reste.
-
- Savoir mettre en oeuvre le lien suites/séries pour gagner un terme supplémentaire dans le D.A. de H_n. (précision o(1/n)).
PAS de familles sommables cette semaine.
Semaine 4: du lundi 3 octobre :
Début de l’étude de la diagonalisation.
-
- Révisions sur les formules de changement de base, pour les vecteurs et les applications linéaires.
-
- valeurs propres, vecteurs propres : recherche à l’aide de l’équation aux valeurs propres sur des exemples en dim. finie ou infinie
-
- caractérisation : lambda v.p. d’une matrice A ssi det(A-lambda I)=0, application aux v.p. des matrices triangulaires
-
- Démonstration(s) du fait que des s.e.v. propres associés à des v.p. distinctes sont en somme directe
-
- Si lambda est v.p. d’un endomorphisme L et si P est un polynôme alors P(lambda) est v.p. de P(L). Conséquence si P est annulateur de L
-
- Les v.p. de L sont exactement les racines du polynôme minimal de L.
-
- Théorème de décomposition des noyaux : démonstration pour un produit de deux polynômes. On sera spécialement attentif à la bonne compréhension des objets manipulés (P(L)(x) et pas P(L(x)) et (PQ)(L)=P(L)o Q(L) etc…)
-
- Savoir donner le maximum de caractérisation d’une matrice diagonalisable et la C.S. « n v.p. distinctes en dim. n « .
Pour les exercices : on a traité les exercices 1 à 6 et 9 et 10 de la planche PlancheR1 . Le reste sera traité en tout début de semaine. Ne pas oublier les exercices de la Banque CCINP en haut de planche.
Je n’ai pas encore prononcé le mot « polynôme caractéristique » ce n’est pas le héros de cette semaine même si on l’a rencontré au détour du chemin (cf. plus haut avec les matrices triangulaires).
Semaine 3 : du lundi 26 septembre
L’essentiel : toujours des révisions d’algèbre linéaire de première année et un peu d’arithmétique des polynômes et de polynômes appliqués aux matrices.
Beaucoup de ‘questions de cours’ possibles :
-
- Toute la Planche-R0 a été faite en classe. On pourra demander de retraiter un exercice de cette planche en question de cours.
-
- On pourra aussi vérifier la connaissance des théorèmes de première année : par exemple, les théorèmes sur le rang (notion dont je me suis aperçu qu’elle était mal connue) !
-
-
-
- caractérisation du rang avec les matrices extraites,
-
- le fait que toute matrice de rang r soit équivalente à une matrice ‘J_r’,
-
- ou encore qu’une matrice et sa transposée ont le même rang.
-
-
-
- On pourra aussi vérifier la connaissance des théorèmes de première année : par exemple, les théorèmes sur le rang (notion dont je me suis aperçu qu’elle était mal connue) !
Les étudiants devront donner au moins une idée de démonstration de ces résultats.
-
- Le cours de la semaine : Arithmétique/Polynôme et Polynômes appliqués à des matrices.
Question sur cours :-
- savoir définir un idéal et savoir pourquoi les idéaux de K[X] sont principaux,
-
- savoir la prop-définition du PGCD et PPCM avec les idéaux et pourquoi cette déf entraîne immédiatement que tout multiple commun est un multiple du PPCM et tout diviseur commun est un diviseur du PGCD
-
- Savoir la caractérisation des éléments inversibles dans Z/nZ.
-
- Propriété définition du polynôme minimal d’une matrice, d’un endomorphisme.
-
- Connaitre le polynôme minimal d’une matrice diagonale.
-
- Savoir pourquoi l’inverse d’une matrice A est un polynôme en A.
-
- Savoir pourquoi P(A) inversible dans M_n(K) ssi P et mu_A sont premiers entre eux.
-
- Le cours de la semaine : Arithmétique/Polynôme et Polynômes appliqués à des matrices.
On pourra aussi poser un exercice de révision sur les polynômes (divisibilité,polynôme irréductibles). Dans la planche suivante seuls les exercices 1 à 3 ont été faits en classe à ce stade mais les exercices 4 à 7 sont tout à fait dans l’esprit du programme de colle et seront corrigés lundi : Planche-A1
Semaine 2 du lundi 19 septembre : séries et révisions d’algèbres linéaire.
Encore un peu de séries : toute la planche a été travaillée en classe sauf les exercices 19 et 20 donc les étudiants ont beaucoup plus d’expérience. Ne pas hésiter aussi à tester un exercice avec une famille sommable. PlancheS1
Révisions et compléments d’algèbre linéaire : un peu de cours sur sommes directes de plusieurs s.e.v, matrices par blocs, déterminants par blocs. Le cours complet est ici : Semaine2-R0
Et nous avons fait les 8 premiers exercices de la planche Planche-R0 Pour les étudiants, bien revoir les déterminants même si nous ne corrigerons les exercices sur les déterminants qu’en début de semaine. N’oubliez pas aussi les exercices de la banque CCINP marqués en haut de la planche R0.
———————————————————————————————————————
Semaine 1 du lundi 12 septembre : séries numériques.
Cette semaine nous avons traité en classe les exercices 1 à 8 de la planche S1 ci-dessous ainsi que l’exercice 11 a). Ces exercices, ainsi que les exercices de la banque CCINP marqués en haut de la planche, peuvent être posés en premier exercice de la colle pour voir si les méthodes ont bien été retenues.
On testera en tous cas systématiquement que les élèves sont bien à l’aise avec les manipulations d’équivalents et D.L. aussi bien pour les séries à termes positifs (variantes d’ex. 2, 3,4) que de D.L. encore pour les séries de signe variable (variantes de l’ex. 11).
Planche S1 : PlancheS1
L’ensemble du cours a été traité, on peut aussi poser en question de cours (alternative à un des exercices de la planche) :
-
- Définition de la divergence grossière, et savoir démontrer que si la série de terme général (u_n) converge alors (u_n) tend vers zéro.
-
- Test de d’Alembert avec démonstration.
-
- Sur la comparaison série/intégrale, pour les colleurs le programme officiel a un peu changé il s’agit maintenant plus d’un savoir faire que d’un résultat, savoir justifier le D.A. de H_n à la précision o(1).
-
- Citer précisément le théorème de sommation des relations de comparaison et démontrer un cas.
-
- Citer le Théorème spécial pour certaines séries alternées avec comme conclusion aussi le signe du reste et la majoration du reste.
-
- Savoir mettre en oeuvre le lien suites/séries pour gagner un terme supplémentaire dans le D.A. de H_n. (précision o(1/n)).
PAS de familles sommables cette semaine.
