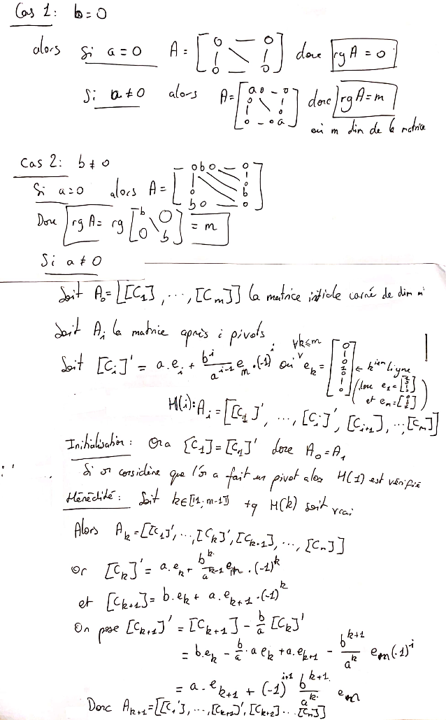
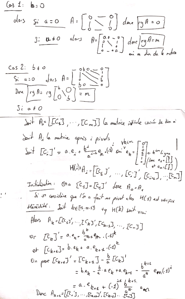
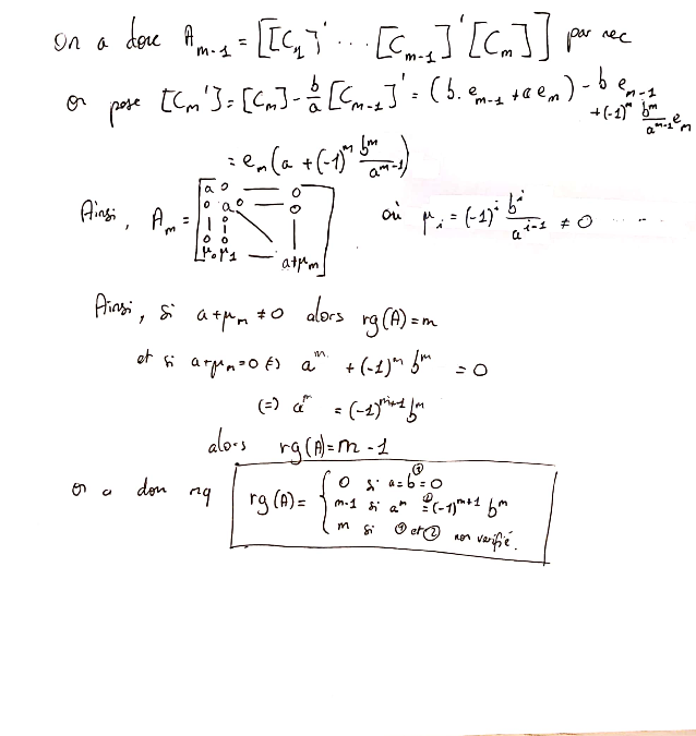
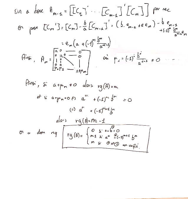
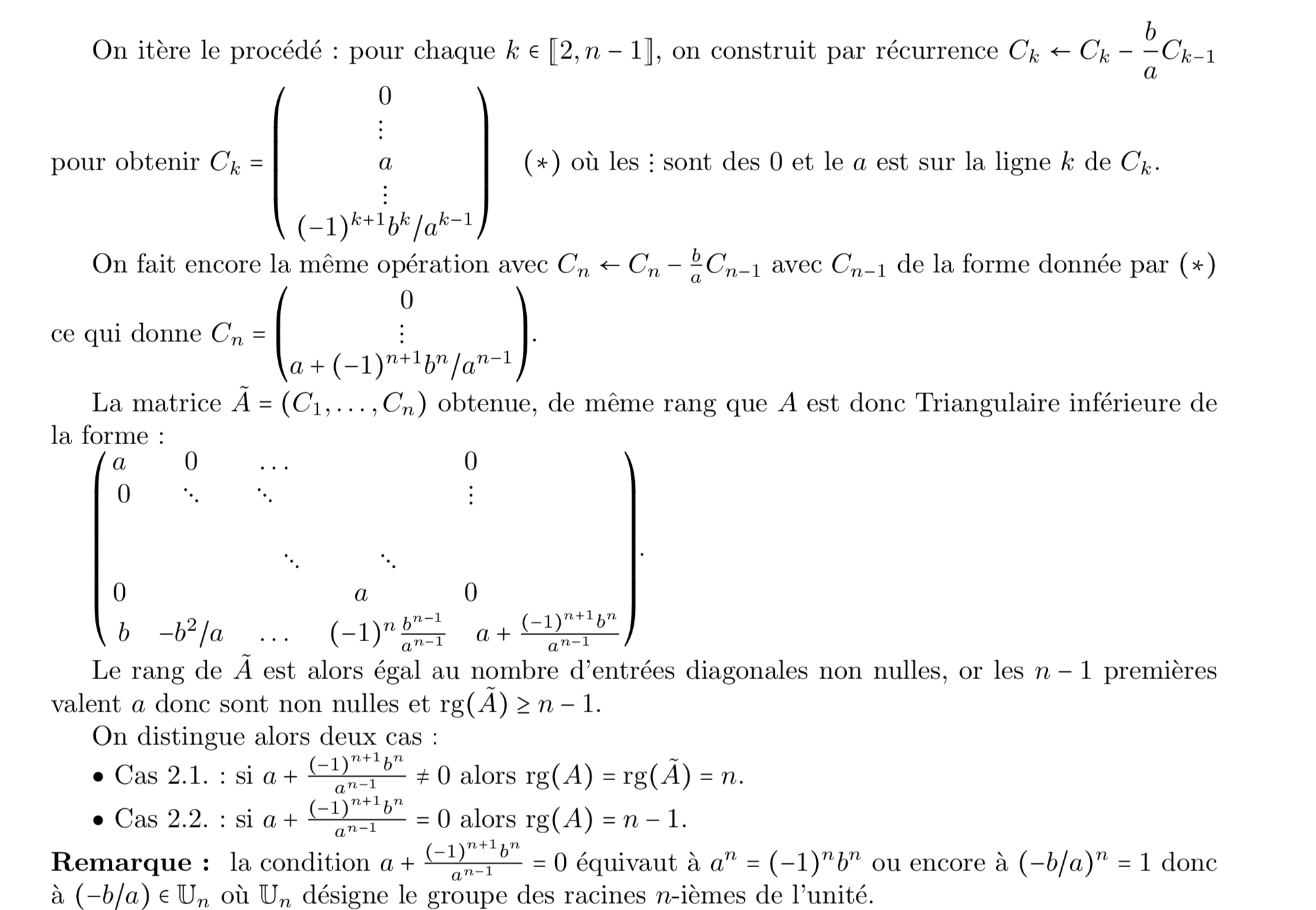
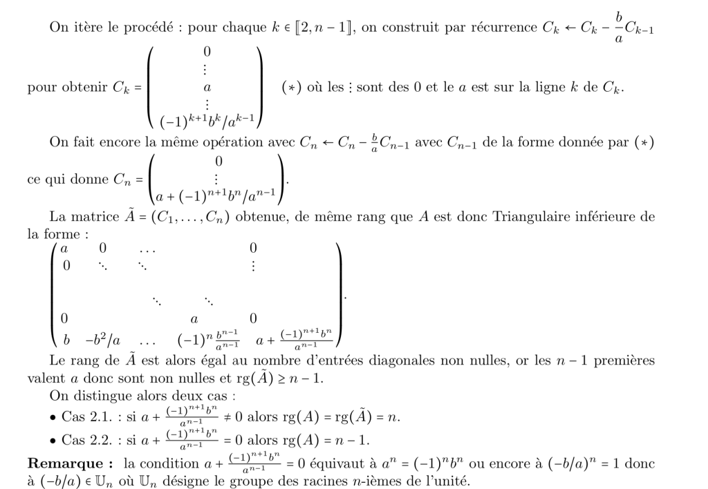
Un exercice où Jean s’est beaucoup battu avec ténacité contre les indices, voici sa solution suivie de la même idée tapée pour que vous y voyiez peut-être plus clair, avec une petite correction sur la puissance du (-1) à la fin par rapport à Jean :




Méthode 2 (Cyprien) : pas complètement aboutie chez ce dernier mais bon point de départ que je développe ici (pour changer un peu on divise par b au lieu de a ce qui change un peu l’ordre des cas mais rien de plus).
