Nous avions laissé cet exercice en suspens… en attendant d’être plus familier ou familière avec les matrices et surtout notre nouvelle amie la base canonique des E_{i,j} dans M_n(K). Mais maintenant cela doit aller mieux non?
Ce à quoi il faut bien faire attention c’est que m_A est un endomorphisme de l’espace M_2(K) (lire cette phrase lentement , à voix haute). Autrement dit m_A est un élément de L(M_2(K)).
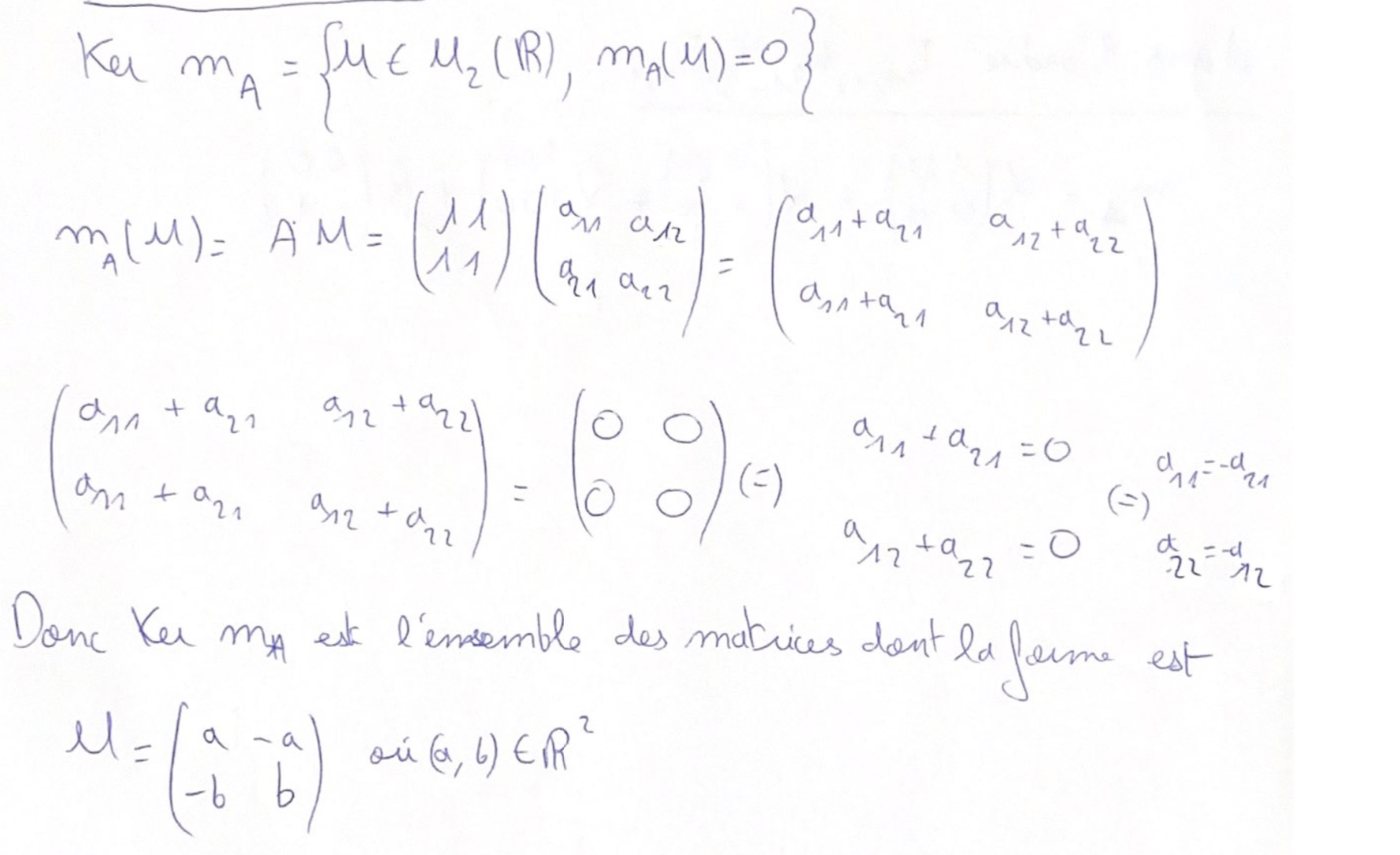
Son noyau est un s.e.v de M_2(K) que Samy a bien trouvé :

Mais ensuite il s’est un peu perdu sur ce qu’était l’image de m_A, et la matrice de m_A dans la base canonique de M_2(K) : déjà quelle sera la taille de cette matrice ?