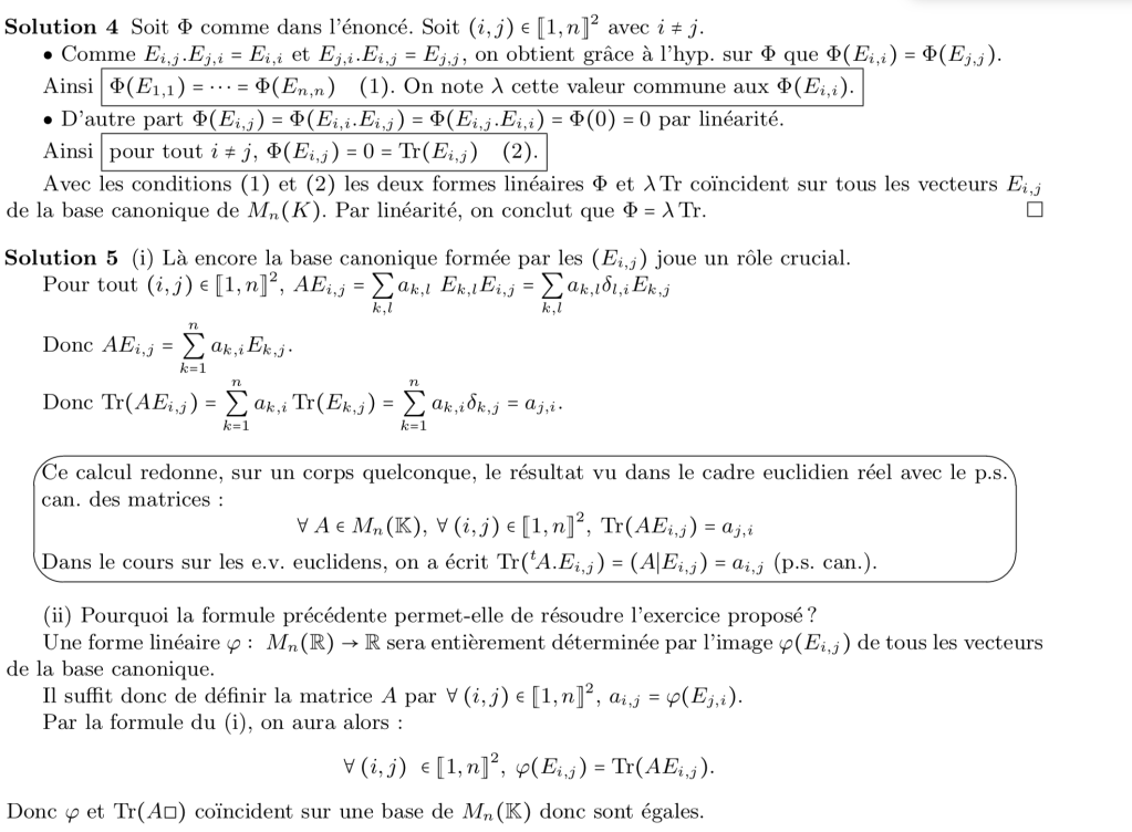
Comme nous n’avons finalement pas corrigé cet exercice 4 en classe, je vous en livre un corrigé.
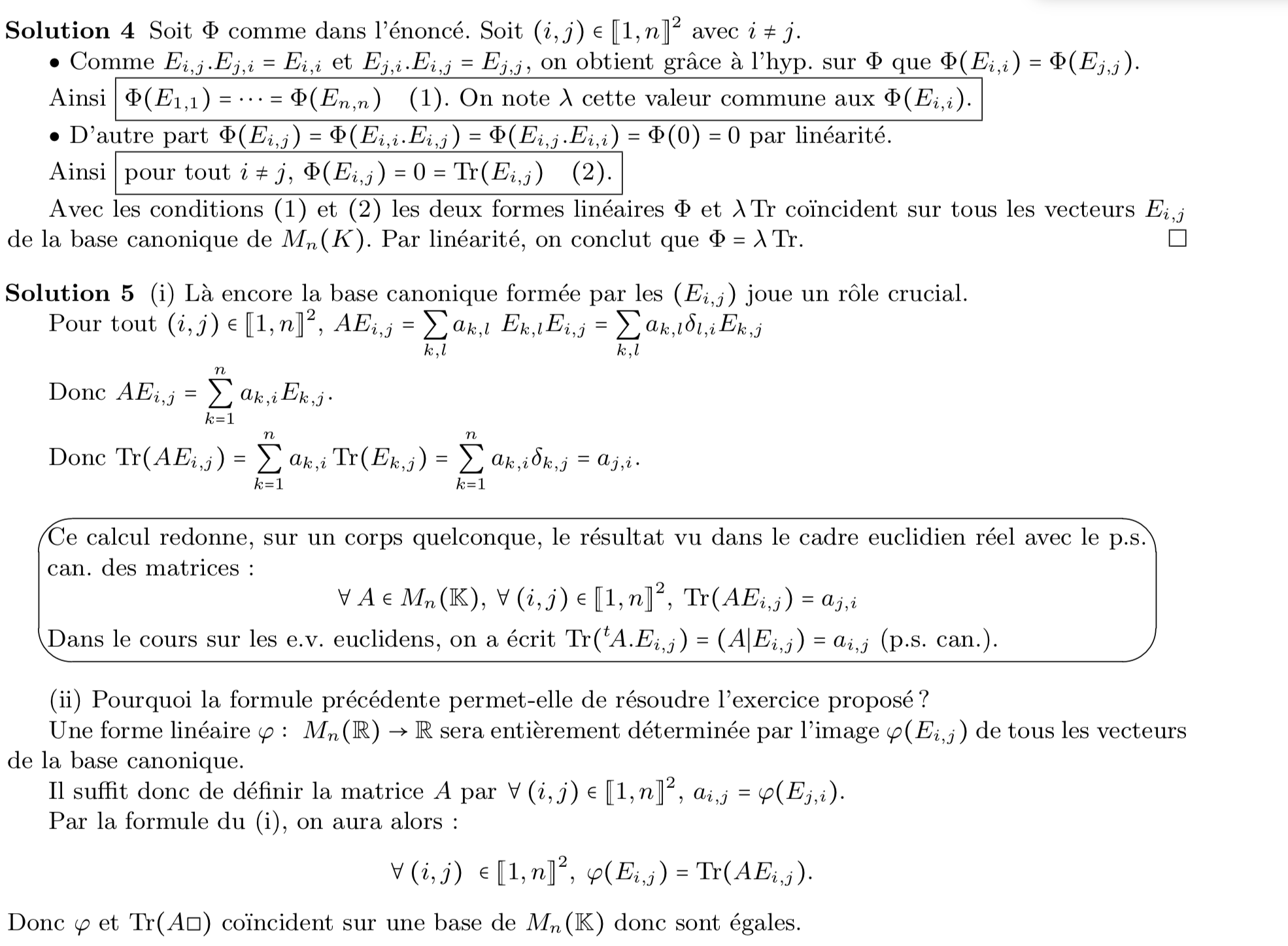
J’ai parlé de l’ex. 5 avec le lemme de Riesz appliqué aux matrices, mais je vous en redonne ici une version tapée.
Peut-être y aura-t-il une candidate ou un candidat pour rédiger l’ex. 6 ? Il y a eu un concours blanc (2014-2015) avec ce genre de choses (avec un sujet des petites mines pas très efficace qui montre moins de manière plus longue..)
