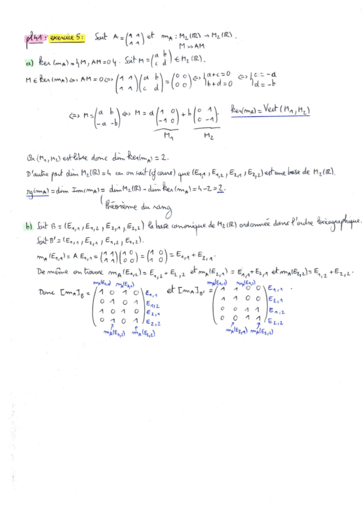
Bonjour, j’avais publié une solution du début du a) de cet exercice par Samy.
Voici une bonne solution complète par Manon. Noter bien qu’avec cet exercice, vous êtes armés pour faire la version plus abstraite Ex. 5 pl. 44.
Avec cette solution, la pl. 41 est complètement résolue, sauf erreur de ma part.
