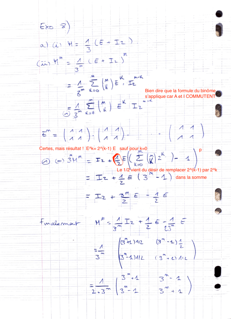
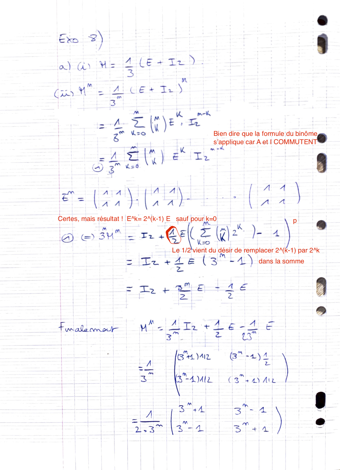
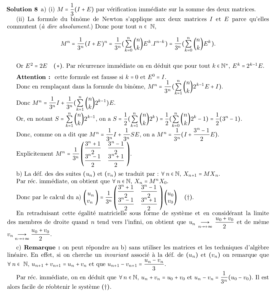
A la fin de l’article sur l’ex. 4. je parle de l’intérêt de la formule du binôme (A+B)^n pour deux matrice A et B qui COMMUTENT… (avec A=I).
Dans cet exercice, Gabin la met en action avec (I+E)^n où E est la matrice remplie de 1.
Ensuite il suffit d’avoir une formule pour les E^k pas difficile E^k= 3^{k-1} E mais 🧐 elle ne MARCHE PAS pour k=0.
C’est pour cela qu’il ne faut pas oublier de mettre ce terme à part dans la somme.
Il n’y aura pas d’autres solutions sur le site avant Lundi, mais vous pouvez continuer à m’envoyer vos solutions bien sûr !

Voici une version tapée, avec une coquille corrigée par Izia (merci Izia!)
