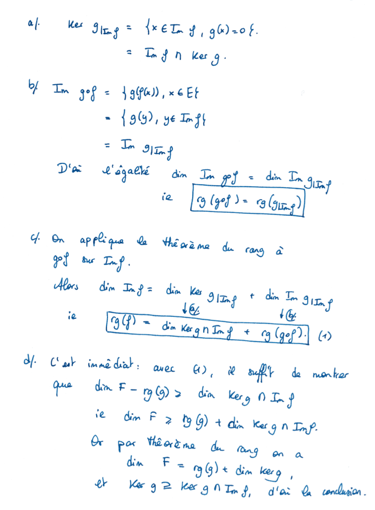
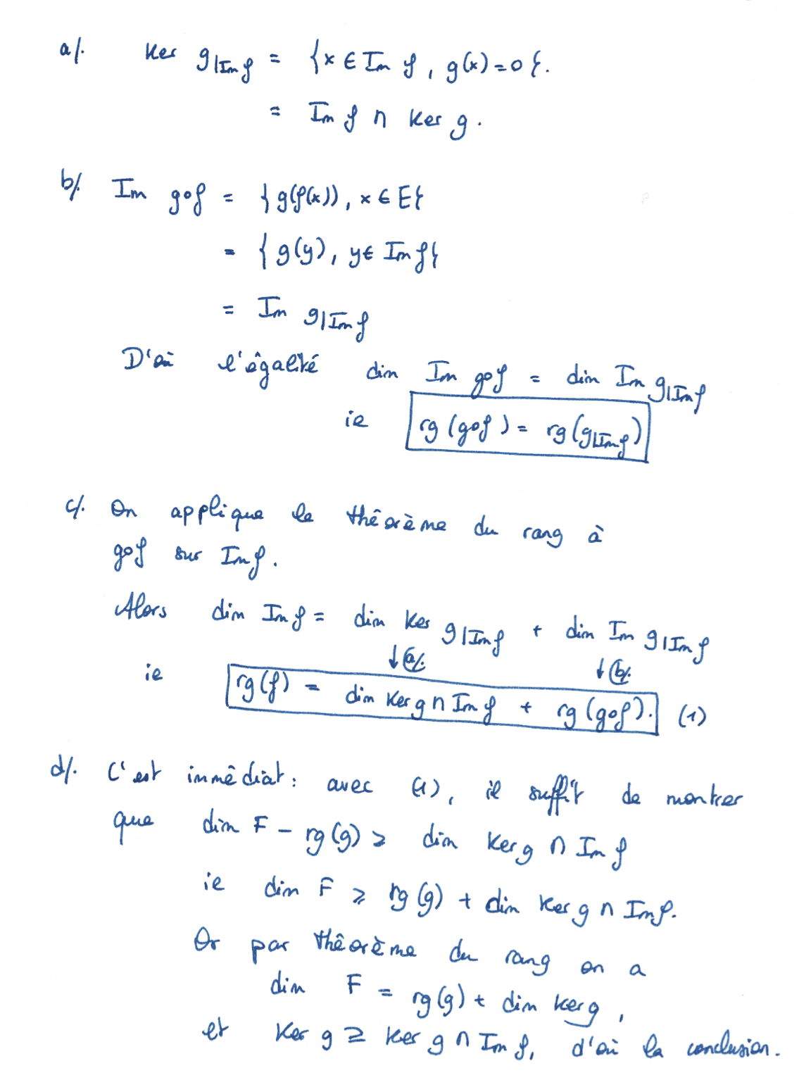
Pl. 42 Ex. 3 Une bonne solution de Iokanaan pour cet exercice. Objectif raisonnable à court terme : savoir-faire le c) sans le a) et le b). Objectif à moyen terme : savoir faire le d) sans les questions précédentes. La suite des solutions demain ! Partager : Partager sur X(ouvre dans une nouvelle fenêtre) X Partager sur Facebook(ouvre dans une nouvelle fenêtre) Facebook J’aime chargement… Similaire