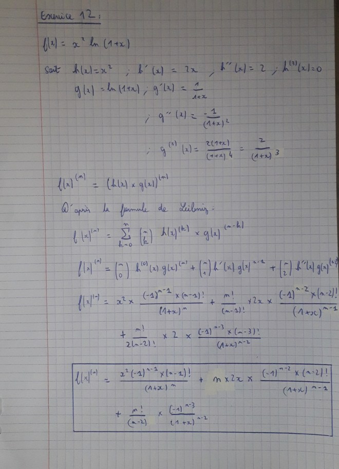
Ex 12 pl 8 … pas complet pourquoi ? Bonjour beaucoup de bonnes solutions pour cet exercice, bravo à toutes et tous… pour commencer une solution bonne mais attention petit piège, il y a quelque chose d’oublié : Partager : Partager sur X(ouvre dans une nouvelle fenêtre) X Partager sur Facebook(ouvre dans une nouvelle fenêtre) Facebook J’aime chargement… Similaire