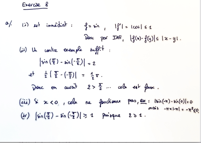
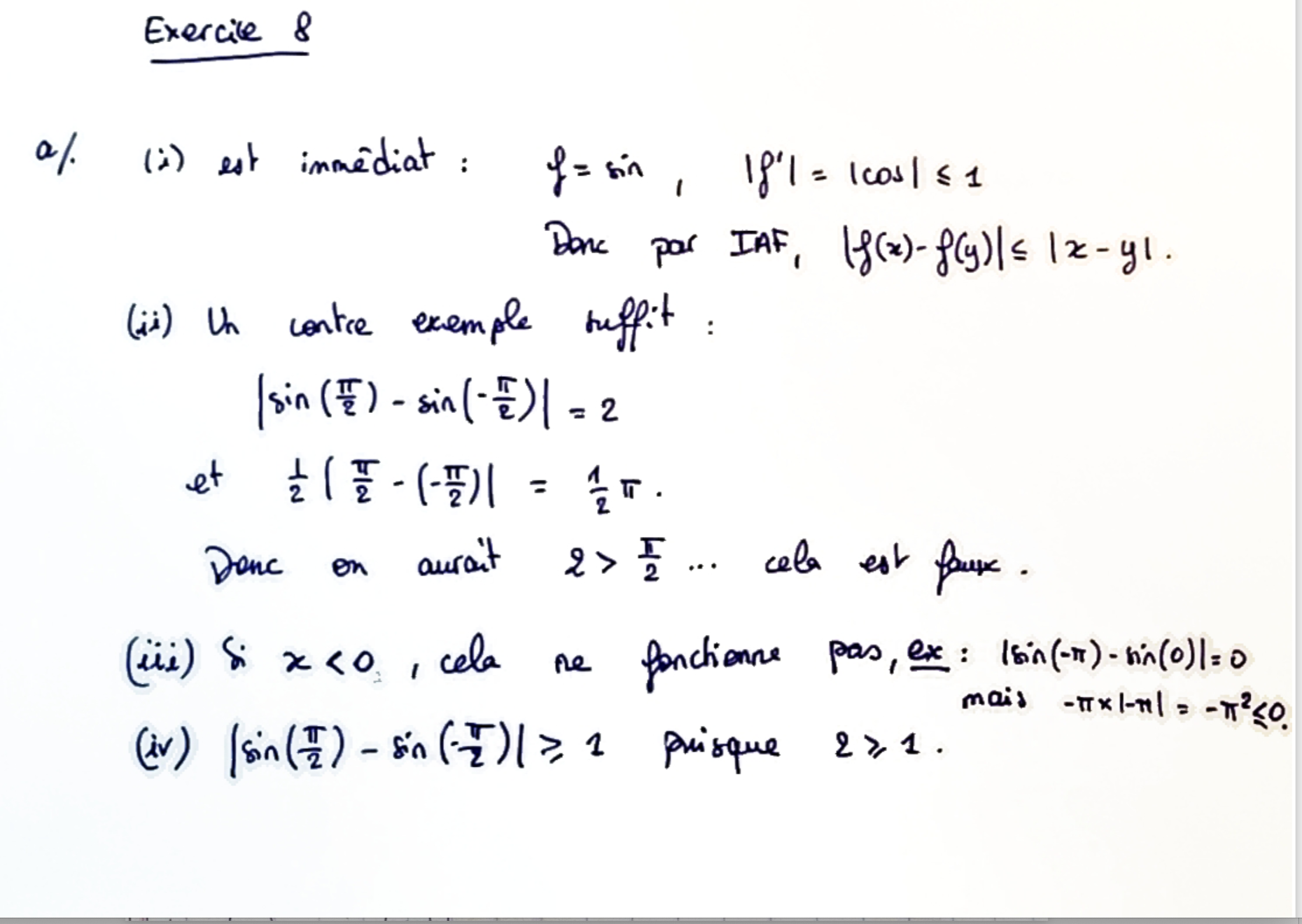
Ex 8 QCM a) A l’ex. 8 a) la seule bonne réponse est la première, pour les autres questions un contre-exemple suffit. Partager : Partager sur X(ouvre dans une nouvelle fenêtre) X Partager sur Facebook(ouvre dans une nouvelle fenêtre) Facebook J’aime chargement… Similaire