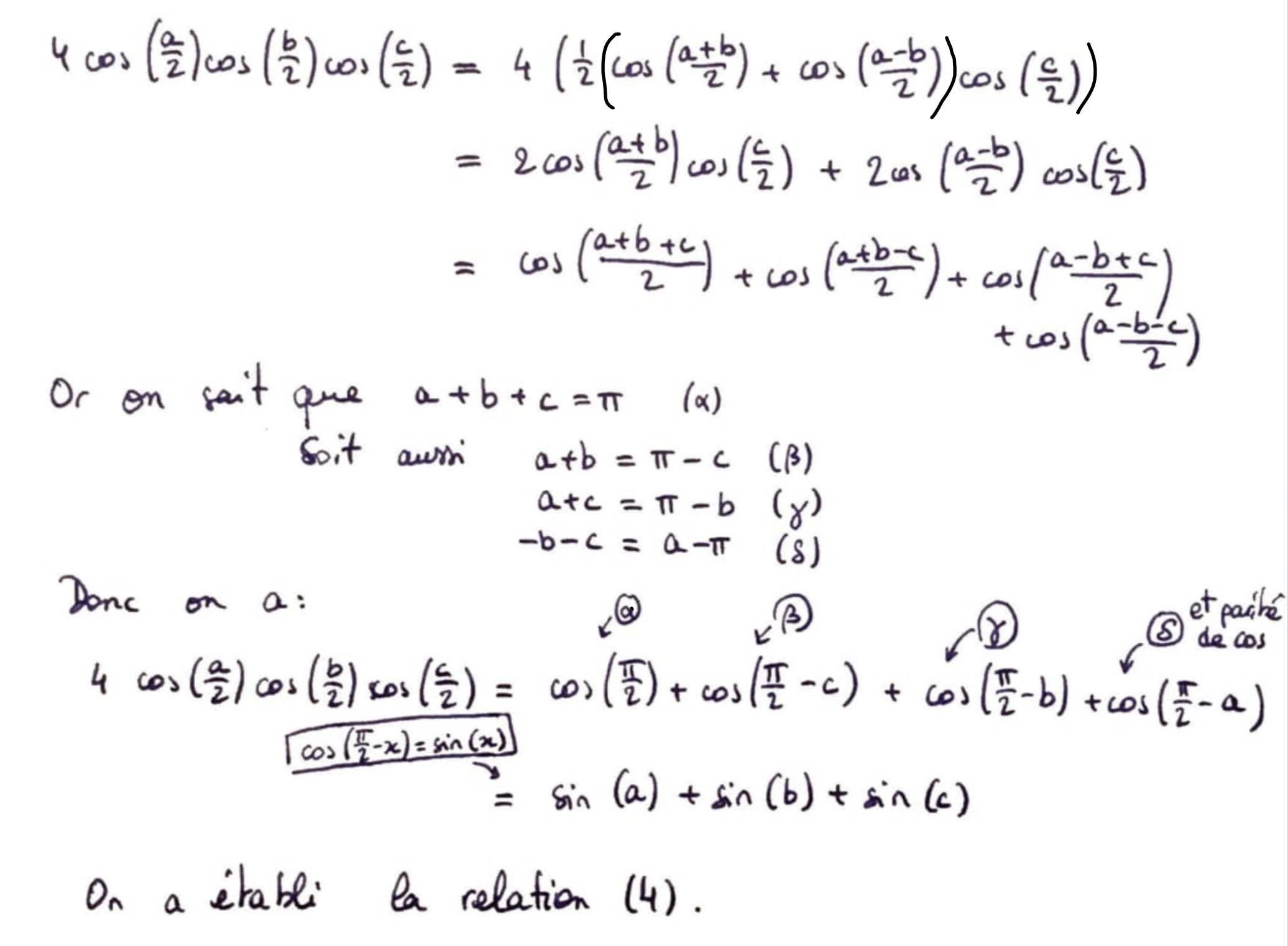
Ex 10 pl 2, première formule du défi trigo du triangle Une jolie solution de Iokanaan pour la première formule, en allant de droite à gauche : Partager : Partager sur X(ouvre dans une nouvelle fenêtre) X Partager sur Facebook(ouvre dans une nouvelle fenêtre) Facebook J’aime chargement… Similaire