Comme dit ce matin, l’énoncé initial était un peu ambitieux : disons l’équivalent ne semble pas se déduire simplement de l’encadrement de ln(2) par A_{2n} et A_{2n+1}.
Donc une version soft de l’ex. 2 plus raisonnable est la suivante :
En revanche, si on est très motivé(e), on peut trouver un tel équivalent à l’aide d’une des deux méthodes de l’exercice fait sur l’équivalent de e-S_n où S_n est la somme des 1/k! (j’ai expliqué ce matin justement la troisième méthode pour e-S_n avec les suites adjacentes là elle marche…).
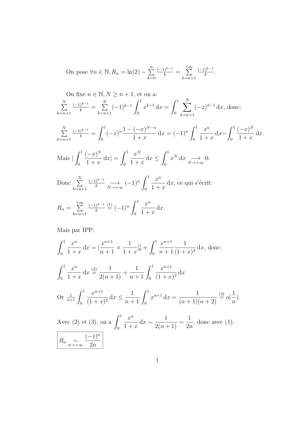
Lucas a rédigé une de ces deux méthodes avec une écriture intégrale du reste :

Désolé, à la première ligne, il faut lire n dans N*, et la somme commence à k = 1 … Mais ça ne change pas la suite.