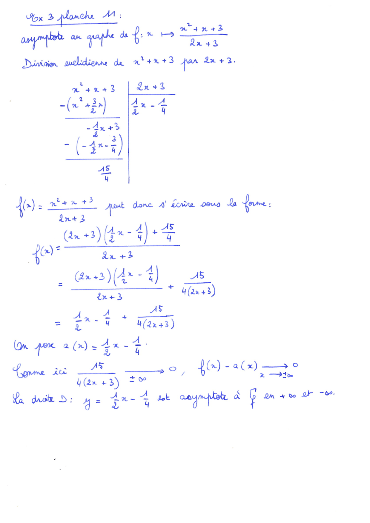
Ex 3 pl 11 Bonjour, voici déjà l’ex. 3. Pour l’ex. 4, factoriser aussi le polynôme du second degré pour arriver à une écriture comme produit de facteurs de degré 1 (on dit une écriture « scindée ») Partager : Partager sur X(ouvre dans une nouvelle fenêtre) X Partager sur Facebook(ouvre dans une nouvelle fenêtre) Facebook J’aime chargement… Similaire