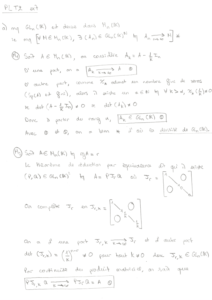
Voici la solution d’Arthur pour cet exercice.
Attention pour les 3/2 et pour les colles de la semaine de la rentrée, une partie de la question b) de l’ex 7 et le b) de l’ex 9 ne sont pas faisables pour l’instant car nous n’avons pas encore fait le cours nécessaire (sur la continuité).
Donc pour les colles de la semaine de la rentrée toute la planche T2 actuelle sauf ex 7b) et 9b). Voici donc le 7 a) par Arthur, noter qu’à la fin de la méthode 2 il invoque la continuité du produit matriciel dont nous n’avons pas encore parlé sous cette forme, mais nous avons parlé du théorème sur la limite d’un produit de suites donc tout va bien.
